Obliczenia statyczne

Transkrypt

Obliczenia statyczne
Remont dachu, zmiana sposobu użytkowania części poddasza na
pomieszczenie gospodarcze, budowa klatki schodowej
Strona
1/26
Obliczenia statyczne
1.
Strop żelbetowy
Zestawienie obciążeń rozłożonych [kN/m2]:
Lp.
Opis obciążenia
Obc.char.
1. Warstwa cementowa grub. 2 cm
0,42
[21,0kN/m3·0,02m]
2. Płyta żelbetowa grub.10 cm
2,50
3. Obciążenie zmienne (wszelkie pokoje biurowe,
2,00
gabinety lekarskie, naukowe, sale lekcyjne
szkolne, szatnie i łaźnie zakładów przemysłowych,
pływalnie oraz poddasza użytkowane jako
magazyny lub kondygnacje techniczne.)
[2,0kN/m2]
4. Obciążenie zastępcze od ścianek działowych (o
0,75
ciężarze razem z wyprawą od 0,5 kN/m2 od 1,5
kN/m2) [0,750kN/m2]
5,67
:
f
1,30
kd
--
Obc.obl.
0,55
1,10
1,40
-0,50
2,75
2,80
1,20
--
0,90
1,23
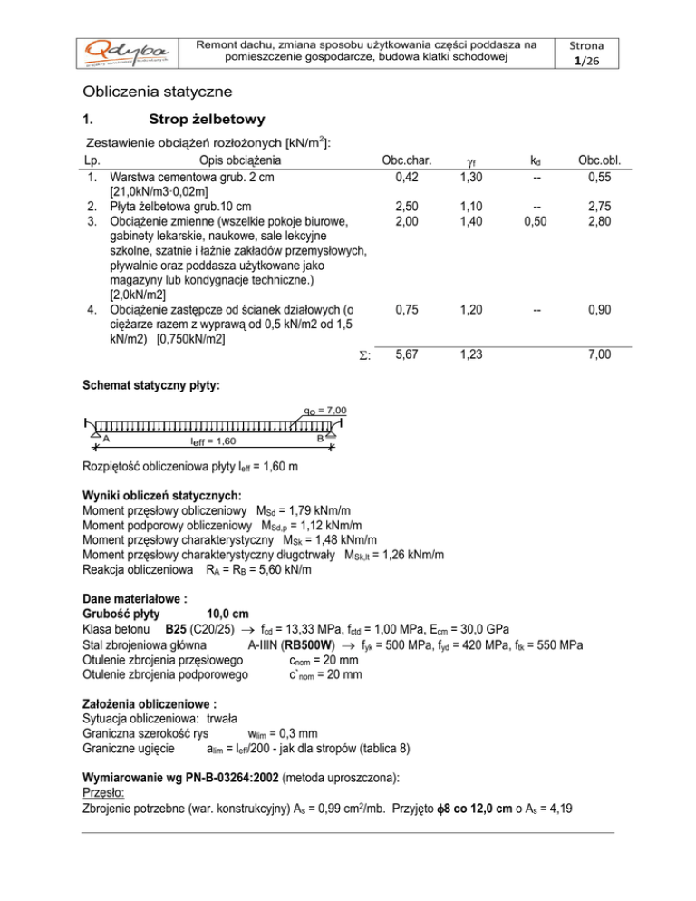
Schemat statyczny płyty:
qo = 7,00
A
leff = 1,60
B
Rozpiętość obliczeniowa płyty leff = 1,60 m
Wyniki obliczeń statycznych:
Moment przęsłowy obliczeniowy MSd = 1,79 kNm/m
Moment podporowy obliczeniowy MSd,p = 1,12 kNm/m
Moment przęsłowy charakterystyczny MSk = 1,48 kNm/m
Moment przęsłowy charakterystyczny długotrwały MSk,lt = 1,26 kNm/m
Reakcja obliczeniowa RA = RB = 5,60 kN/m
Dane materiałowe :
Grubość płyty
10,0 cm
Klasa betonu B25 (C20/25)  fcd = 13,33 MPa, fctd = 1,00 MPa, Ecm = 30,0 GPa
Stal zbrojeniowa główna
A-IIIN (RB500W)  fyk = 500 MPa, fyd = 420 MPa, ftk = 550 MPa
Otulenie zbrojenia przęsłowego
cnom = 20 mm
Otulenie zbrojenia podporowego
c`nom = 20 mm
Założenia obliczeniowe :
Sytuacja obliczeniowa: trwała
Graniczna szerokość rys
wlim = 0,3 mm
Graniczne ugięcie
alim = leff/200 - jak dla stropów (tablica 8)
Wymiarowanie wg PN-B-03264:2002 (metoda uproszczona):
Przęsło:
Zbrojenie potrzebne (war. konstrukcyjny) As = 0,99 cm2/mb. Przyjęto 8 co 12,0 cm o As = 4,19
7,00
Remont dachu, zmiana sposobu użytkowania części poddasza na
pomieszczenie gospodarcze, budowa klatki schodowej
Strona
2/26
cm2/mb ( = 0,55%)
Warunek nośności na zginanie: MSd = 1,79 kNm/mb < MRd = 12,21 kNm/mb (14,6%)
Szerokość rys prostopadłych: wk = 0,000 mm < wlim = 0,3 mm (0,0%)
Maksymalne ugięcie od MSk,lt: a(MSk,lt) = 0,46 mm < alim = 8,00 mm (5,7%)
Podpora:
Zbrojenie potrzebne (war. konstrukcyjny) As = 0,99 cm2/mb. Przyjęto 8 co 25,0 cm o As = 2,01
cm2/mb ( = 0,26%)
Warunek nośności na zginanie: MSd,p = 1,12 kNm/mb < MRd,p = 6,15 kNm/mb (18,2%)
Warunek nośności na ścinanie: VSd = 5,60 kN/mb < VRd1 = 53,11 kN/mb (10,5%)
2.
Belki stalowe
2.1.
Belka o rozpiętości L=8,70m
SCHEMAT BELKI
A
B
8,90
Parametry belki:
- współczynnik obciążenia dla ciężaru własnego belki f = 1,10
OBCIĄŻENIA CHARAKTERYSTYCZNE BELKI
A
4,38
4,38
Przypadek P1: Przypadek 1 (f = 1,30)
Schemat statyczny (ciężar belki uwzględniony automatycznie):
B
gk=0,59 kN/mb
8,90
3,00
3,00
Przypadek P2: Zmienne-dlugotrwałe (f = 1,40)
Schemat statyczny:
A
B
8,90
Przypadek P3: zmienne (f = 1,20)
Schemat statyczny:
Strona
3/26
1,33
1,33
Remont dachu, zmiana sposobu użytkowania części poddasza na
pomieszczenie gospodarcze, budowa klatki schodowej
A
B
8,90
WYKRESY SIŁ WEWNĘTRZNYCH
Obwiednia sił wewnętrznych
Momenty zginające [kNm]:
53,32
28,23
B
53,32
28,23
A
118,63
Siły poprzeczne [kN]:
53,32
A
B
-53,32
ZAŁOŻENIA OBLICZENIOWE DO WYMIAROWANIA
Wykorzystanie rezerwy plastycznej przekroju: tak;
Parametry analizy zwichrzenia:
- obciążenie przyłożone na pasie górnym belki;
- obciążenie działa w dół;
- ciągłe stężenie pasa górnego, pas dolny swobodny;
WYMIAROWANIE WG PN-90/B-03200
y
x
x
y
Przekrój: HE 240 A
Av = 17,3 cm2, m = 60,3 kg/m
Jx = 7760 cm4, Jy = 2770 cm4, J = 328500 cm6, J = 41,7 cm4, Wx = 675 cm3
Stal: St3
Nośności obliczeniowe przekroju:
- zginanie: klasa przekroju 1 (p = 1,051)
MR = 152,54 kNm
Remont dachu, zmiana sposobu użytkowania części poddasza na
pomieszczenie gospodarcze, budowa klatki schodowej
- ścinanie: klasa przekroju 1
Strona
4/26
VR = 215,11 kN
Nośność na zginanie
Przekrój z = 4,45 m (K4: 1,0·P1+1,0·P2+0,90·P3)
Współczynnik zwichrzenia L = 1,000
Moment maksymalny Mmax = 118,63 kNm
Mmax / (L·MR) = 0,778 < 1
(52)
Nośność na ścinanie
Przekrój z = 0,00 m (K4: 1,0·P1+1,0·P2+0,90·P3)
Maksymalna siła poprzeczna Vmax = 53,32 kN
Vmax / VR = 0,248 < 1
(53)
Nośność na zginanie ze ścinaniem
Vmax = 53,32 kN < Vo = 0,6·VR = 129,06 kN  warunek niemiarodajny
Stan graniczny użytkowania
Przekrój z = 4,45 m (K2: 1,0·P1+1,0·P2)
Ugięcie maksymalne fk,max = 40,94 mm
Ugięcie graniczne fgr = lo / 200 = 44,50 mm
fk,max = 40,94 mm < fgr = 44,50 mm (92,0%)
2.2.
Belka o rozpiętości L=8,40m
SCHEMAT BELKI
A
B
5,67
Parametry belki:
- współczynnik obciążenia dla ciężaru własnego belki f = 1,10
OBCIĄŻENIA CHARAKTERYSTYCZNE BELKI
A
4,38
4,38
Przypadek P1: Przypadek 1 (f = 1,30)
Schemat statyczny (ciężar belki uwzględniony automatycznie):
gk=0,35 kN/mb
5,67
Przypadek P2: Zmienne-dlugotrwałe (f = 1,40)
Schemat statyczny:
B
Strona
5/26
3,00
3,00
Remont dachu, zmiana sposobu użytkowania części poddasza na
pomieszczenie gospodarcze, budowa klatki schodowej
A
B
5,67
1,33
1,33
Przypadek P3: zmienne (f = 1,20)
Schemat statyczny:
A
B
5,67
WYKRESY SIŁ WEWNĘTRZNYCH
Obwiednia sił wewnętrznych
Momenty zginające [kNm]:
B
47,07
33,21
17,23
33,21
17,23
A
Siły poprzeczne [kN]:
33,21
A
B
-33,21
ZAŁOŻENIA OBLICZENIOWE DO WYMIAROWANIA
Wykorzystanie rezerwy plastycznej przekroju: tak;
Parametry analizy zwichrzenia:
- obciążenie przyłożone na pasie górnym belki;
- obciążenie działa w dół;
- ciągłe stężenie pasa górnego, pas dolny swobodny;
WYMIAROWANIE WG PN-90/B-03200
Remont dachu, zmiana sposobu użytkowania części poddasza na
pomieszczenie gospodarcze, budowa klatki schodowej
Strona
6/26
y
x
x
y
Przekrój: HE 180 A
Av = 10,3 cm2, m = 35,5 kg/m
Jx = 2510 cm4, Jy = 925 cm4, J = 60210 cm6, J = 14,9 cm4, Wx = 294 cm3
Stal: St3
Nośności obliczeniowe przekroju:
- zginanie: klasa przekroju 1 (p = 1,051)
MR = 66,44 kNm
- ścinanie: klasa przekroju 1
VR = 127,94 kN
Nośność na zginanie
Przekrój z = 2,83 m (K4: 1,0·P1+1,0·P2+0,90·P3)
Współczynnik zwichrzenia L = 1,000
Moment maksymalny Mmax = 47,07 kNm
Mmax / (L·MR) = 0,709 < 1
(52)
Nośność na ścinanie
Przekrój z = 0,00 m (K4: 1,0·P1+1,0·P2+0,90·P3)
Maksymalna siła poprzeczna Vmax = 33,21 kN
Vmax / VR = 0,260 < 1
(53)
Nośność na zginanie ze ścinaniem
Vmax = 33,21 kN < Vo = 0,6·VR = 76,77 kN  warunek niemiarodajny
Stan graniczny użytkowania
Przekrój z = 2,83 m (K2: 1,0·P1+1,0·P2)
Ugięcie maksymalne fk,max = 20,21 mm
Ugięcie graniczne fgr = lo / 200 = 28,35 mm
fk,max = 20,21 mm < fgr = 28,35 mm (71,3%)
2.3.
Belka o rozpiętości L=5,00m
SCHEMAT BELKI
A
B
5,00
Parametry belki:
- współczynnik obciążenia dla ciężaru własnego belki f = 1,10
OBCIĄŻENIA CHARAKTERYSTYCZNE BELKI
Przypadek P1: Przypadek 1 (f = 1,30)
Schemat statyczny (ciężar belki uwzględniony automatycznie):
A
Strona
7/26
4,38
4,38
Remont dachu, zmiana sposobu użytkowania części poddasza na
pomieszczenie gospodarcze, budowa klatki schodowej
B
gk=0,30 kN/mb
5,00
3,00
3,00
Przypadek P2: Zmienne-dlugotrwałe (f = 1,40)
Schemat statyczny:
A
B
5,00
1,33
1,33
Przypadek P3: zmienne (f = 1,20)
Schemat statyczny:
A
B
5,00
WYKRESY SIŁ WEWNĘTRZNYCH
Obwiednia sił wewnętrznych
Momenty zginające [kNm]:
B
36,43
29,15
15,06
29,15
15,06
A
Siły poprzeczne [kN]:
29,15
A
B
-29,15
ZAŁOŻENIA OBLICZENIOWE DO WYMIAROWANIA
Remont dachu, zmiana sposobu użytkowania części poddasza na
pomieszczenie gospodarcze, budowa klatki schodowej
Strona
8/26
Wykorzystanie rezerwy plastycznej przekroju: tak;
Parametry analizy zwichrzenia:
- obciążenie przyłożone na pasie górnym belki;
- obciążenie działa w dół;
- ciągłe stężenie pasa górnego, pas dolny swobodny;
WYMIAROWANIE WG PN-90/B-03200
y
x
x
y
Przekrój: HE 160 A
Av = 9,12 cm2, m = 30,4 kg/m
Jx = 1670 cm4, Jy = 616 cm4, J = 31410 cm6, J = 12,3 cm4, Wx = 220 cm3
Stal: St3
Nośności obliczeniowe przekroju:
- zginanie: klasa przekroju 1 (p = 1,059)
MR = 50,09 kNm
- ścinanie: klasa przekroju 1
VR = 113,73 kN
Nośność na zginanie
Przekrój z = 2,50 m (K4: 1,0·P1+1,0·P2+0,90·P3)
Współczynnik zwichrzenia L = 1,000
Moment maksymalny Mmax = 36,43 kNm
Mmax / (L·MR) = 0,727 < 1
(52)
Nośność na ścinanie
Przekrój z = 5,00 m (K4: 1,0·P1+1,0·P2+0,90·P3)
Maksymalna siła poprzeczna Vmax = -29,15 kN
Vmax / VR = 0,256 < 1
(53)
Nośność na zginanie ze ścinaniem
Vmax = (-)29,15 kN < Vo = 0,6·VR = 68,24 kN  warunek niemiarodajny
Stan graniczny użytkowania
Przekrój z = 2,50 m (K2: 1,0·P1+1,0·P2)
Ugięcie maksymalne fk,max = 18,25 mm
Ugięcie graniczne fgr = lo / 200 = 25,00 mm
fk,max = 18,25 mm < fgr = 25,00 mm (73,0%)
2.4.
Belka o rozpiętości L=6,40m
SCHEMAT BELKI
A
B
2,40
Parametry belki:
- współczynnik obciążenia dla ciężaru własnego belki f = 1,10
C
4,00
Remont dachu, zmiana sposobu użytkowania części poddasza na
pomieszczenie gospodarcze, budowa klatki schodowej
Strona
9/26
OBCIĄŻENIA CHARAKTERYSTYCZNE BELKI
4,38
4,38
Przypadek P1: Przypadek 1 (f = 1,30)
Schemat statyczny (ciężar belki uwzględniony automatycznie):
A
B
2,40
C
gk=0,20 kN/mb
4,00
3,00
3,00
Przypadek P2: Zmienne-dlugotrwałe (f = 1,40)
Schemat statyczny:
A
B
2,40
C
4,00
1,33
1,33
Przypadek P3: zmienne (f = 1,20)
Schemat statyczny:
A
B
2,40
C
4,00
WYKRESY SIŁ WEWNĘTRZNYCH
Obwiednia sił wewnętrznych
Momenty zginające [kNm]:
-17,55
Siły poprzeczne [kN]:
C
15,15
18,70
9,57
B
48,64
24,90
1,85
6,54
3,35
A
Remont dachu, zmiana sposobu użytkowania części poddasza na
pomieszczenie gospodarcze, budowa klatki schodowej
Strona
10/26
27,48
6,54
A
B
-21,17
ZAŁOŻENIA OBLICZENIOWE DO WYMIAROWANIA
Wykorzystanie rezerwy plastycznej przekroju: tak;
Parametry analizy zwichrzenia:
- obciążenie przyłożone na pasie górnym belki;
- obciążenie działa w dół;
- ciągłe stężenie pasa górnego, pas dolny swobodny;
WYMIAROWANIE WG PN-90/B-03200
y
x
x
y
Przekrój: HE 120 A
Av = 5,70 cm2, m = 19,9 kg/m
Jx = 606 cm4, Jy = 231 cm4, J = 6472 cm6, J = 6,02 cm4, Wx = 106 cm3
Stal: St3
Nośności obliczeniowe przekroju:
- zginanie: klasa przekroju 1 (p = 1,063)
MR = 24,23 kNm
- ścinanie: klasa przekroju 1
VR = 71,08 kN
Belka
Nośność na zginanie
Przekrój z = 2,40 m (K4: 1,0·P1+1,0·P2+0,90·P3)
Współczynnik zwichrzenia L = 0,954
Moment maksymalny Mmax = -17,55 kNm
Mmax / (L·MR) = 0,759 < 1
(52)
Nośność na ścinanie
Przekrój z = 2,40 m (K4: 1,0·P1+1,0·P2+0,90·P3)
Maksymalna siła poprzeczna Vmax = 27,48 kN
Vmax / VR = 0,387 < 1
(53)
Nośność na zginanie ze ścinaniem
Vmax = (-)21,17 kN < Vo = 0,6·VR = 42,65 kN  warunek niemiarodajny
Stan graniczny użytkowania
Przekrój z = 4,60 m (K2: 1,0·P1+1,0·P2)
Ugięcie maksymalne fk,max = 11,21 mm
Ugięcie graniczne fgr = lo / 200 = 20,00 mm
fk,max = 11,21 mm < fgr = 20,00 mm (56,1%)
C
-18,70
Remont dachu, zmiana sposobu użytkowania części poddasza na
pomieszczenie gospodarcze, budowa klatki schodowej
2.5.
Strona
11/26
Belka przy schodach
SCHEMAT BELKI
A
B
4,25
Parametry belki:
- współczynnik obciążenia dla ciężaru własnego belki f = 1,10
OBCIĄŻENIA OBLICZENIOWE BELKI
26,00
26,00
24,00
26,00
Przypadek P1: Przypadek 1 (f = 1,35)
Schemat statyczny (ciężar belki uwzględniony automatycznie):
A
B
go=0,55 kN/mb
4,25
WYKRESY SIŁ WEWNĘTRZNYCH
Przypadek P1: Przypadek 1
Momenty zginające [kNm]:
57,51
2
3
65,44
ZAŁOŻENIA OBLICZENIOWE DO WYMIAROWANIA
Wykorzystanie rezerwy plastycznej przekroju: tak;
Parametry analizy zwichrzenia:
- obciążenie przyłożone na pasie górnym belki;
- obciążenie działa w dół;
- brak stężeń bocznych na długości przęseł belki;
WYMIAROWANIE WG PN-90/B-03200
y
x
x
y
Przekrój: HE 180 B
Av = 15,3 cm2, m = 51,2 kg/m
4
B
46,84
1
A
Remont dachu, zmiana sposobu użytkowania części poddasza na
pomieszczenie gospodarcze, budowa klatki schodowej
Strona
12/26
Jx = 3830 cm4, Jy = 1360 cm4, J = 93750 cm6, J = 42,3 cm4, W x = 426 cm3
Stal:
St3
Nośności obliczeniowe przekroju:
- zginanie: klasa przekroju 1 (p = 1,066)
MR = 97,61 kNm
- ścinanie: klasa przekroju 1
VR = 190,79 kN
Nośność na zginanie
Przekrój z = 1,99 m
Współczynnik zwichrzenia L = 0,921
Moment maksymalny Mmax = 65,44 kNm
Mmax / (L·MR) = 0,728 < 1
(52)
Nośność na ścinanie
Przekrój z = 0,00 m
Maksymalna siła poprzeczna Vmax = 57,51 kN
Vmax / VR = 0,301 < 1
(53)
Nośność na zginanie ze ścinaniem
Vmax = 57,51 kN < Vo = 0,6·VR = 114,47 kN  warunek niemiarodajny
Stan graniczny użytkowania
Przekrój z = 2,08 m
Ugięcie maksymalne fk,max = 10,83 mm
Ugięcie graniczne fgr = lo / 350 = 12,14 mm
fk,max = 10,83 mm < fgr = 12,14 mm (89,2%)
2.6.
Belka pod oparcie schodów
SCHEMAT BELKI
A
B
4,95
Parametry belki:
- współczynnik obciążenia dla ciężaru własnego belki f = 1,10
OBCIĄŻENIA OBLICZENIOWE BELKI
A
32,7557,31
32,75
Przypadek P1: Przypadek 1 (f = 1,30)
Schemat statyczny (ciężar belki uwzględniony automatycznie):
go=0,77 kN/mb
4,95
B
Remont dachu, zmiana sposobu użytkowania części poddasza na
pomieszczenie gospodarcze, budowa klatki schodowej
Strona
13/26
WYKRESY SIŁ WEWNĘTRZNYCH
Przypadek P1: Przypadek 1
Momenty zginające [kNm]:
1
126,35
B
55,82
92,09
A
ZAŁOŻENIA OBLICZENIOWE DO WYMIAROWANIA
Wykorzystanie rezerwy plastycznej przekroju: tak;
Parametry analizy zwichrzenia:
- obciążenie przyłożone na pasie górnym belki;
- obciążenie działa w dół;
- brak stężeń bocznych na długości przęseł belki;
WYMIAROWANIE WG PN-90/B-03200
y
x
x
y
Przekrój: HE 220 B
Av = 20,9 cm2, m = 71,5 kg/m
Jx = 8090 cm4, Jy = 2840 cm4, J = 295400 cm6, J = 76,8 cm4, W x = 736 cm3
Stal: St3
Nośności obliczeniowe przekroju:
- zginanie: klasa przekroju 1 (p = 1,063)
MR = 168,13 kNm
- ścinanie: klasa przekroju 1
VR = 260,62 kN
Nośność na zginanie
Przekrój z = 2,65 m
Współczynnik zwichrzenia L = 0,917
Moment maksymalny Mmax = 126,35 kNm
Mmax / (L·MR) = 0,819 < 1
(52)
Nośność na ścinanie
Przekrój z = 0,00 m
Maksymalna siła poprzeczna Vmax = 92,09 kN
Vmax / VR = 0,353 < 1
(53)
Nośność na zginanie ze ścinaniem
Vmax = 92,09 kN < Vo = 0,6·VR = 156,37 kN  warunek niemiarodajny
Stan graniczny użytkowania
Przekrój z = 2,43 m
Ugięcie maksymalne fk,max = 13,61 mm
Ugięcie graniczne fgr = lo / 350 = 14,14 mm
fk,max = 13,61 mm < fgr = 14,14 mm (96,3%)
3.
Schody żelbetowe
Remont dachu, zmiana sposobu użytkowania części poddasza na
pomieszczenie gospodarcze, budowa klatki schodowej
Strona
14/26
Bieg schodowy 1
SZKIC SCHODÓW
300
150
17
/30
17
18
186,5
x
11
20
30
13
30
18
20
430
20
GEOMETRIA SCHODÓW
Wymiary schodów :
Długość biegu ln = 3,00 m
Różnica poziomów spoczników
h = 1,86 m
Liczba stopni w biegu n = 11 szt.
Grubość płyty t = 18,0 cm
Długość górnego spocznika
ls,g = 1,50 m
Wymiary poprzeczne:
Szerokość biegu
1,20 m
- Schody dwubiegowe
Dusza schodów
0,0 cm
Oparcia : (szerokość / wysokość)
Podwalina podpierająca bieg schodowy
b = 20,0 cm, h= 30,0 cm
Wieniec ściany podpierającej spocznik górny b = 20,0 cm, h = 20,0 cm
Oparcie belek:
Długość podpory lewej tL = 20,0 cm
Długość podpory prawej
tP = 20,0 cm
DANE MATERIAŁOWE
Klasa betonu B20 (C16/20)  fcd = 10,67 MPa, fctd = 0,87 MPa, Ecm = 29,0 GPa
Stal zbrojeniowa A-IIIN (RB500W)  fyk = 500 MPa, fyd = 420 MPa, ftk = 550 MPa
Średnica prętów
 = 12 mm
Otulina zbrojenia
cnom = 20 mm
ZESTAWIENIE OBCIĄŻEŃ
Obciążenia zmienne [kN/m2]:
Opis obciążenia
Obciążenie zmienne (biura, szkoły, zakłady naukowe,
Obc.char.
4,00
f
1,30
kd
0,35
Obc.obl.
5,20
Remont dachu, zmiana sposobu użytkowania części poddasza na
pomieszczenie gospodarcze, budowa klatki schodowej
Strona
15/26
banki, przychodnie lekarskie) [4,0kN/m2]
Obciążenia stałe na biegu schodowym [kN/m2]:
Lp.
Opis obciążenia
1. Okładzina górna biegu grub.2 cm 0,38·(1+17,0/30,0)
2. Płyta żelbetowa biegu grub.18 cm + schody 17/30
3. Okładzina dolna biegu grub.1,5 cm
Obc.char.
:
Obciążenia stałe na spoczniku [kN/m2]:
Lp.
Opis obciążenia
1. Okładzina górna spocznika grub.2 cm
2. Płyta żelbetowa spocznika grub.12 cm
3. Okładzina dolna spocznika grub.1,5 cm
0,66
7,29
0,33
8,27
Obc.char.
:
0,42
3,00
0,28
3,71
Przyjęty schemat statyczny:
po = 5,20 kN/m2
go,b = 9,20 kN/m2
B
1,82
go,s = 3,59 kN/m2
A
4,45
ZAŁOŻENIA OBLICZENIOWE:
Sytuacja obliczeniowa: trwała
Graniczna szerokość rys
wlim = 0,3 mm
Graniczne ugięcie
alim = jak dla belek i płyt (tablica 8)
WYNIKI:
Wyniki obliczeń statycznych:
Przęsło A-B: maksymalny moment obliczeniowy
Reakcja obliczeniowa RSd,A = 31,42 kN/mb
Reakcja obliczeniowa RSd,B = 28,34 kN/mb
Obwiednia momentów zginających:
MSd = 34,29 kNm/mb
f
1,20
1,10
1,20
1,11
Obc.obl.
f
1,20
1,10
1,20
1,12
Obc.obl.
0,79
8,02
0,39
9,20
0,50
3,30
0,34
4,15
Remont dachu, zmiana sposobu użytkowania części poddasza na
pomieszczenie gospodarcze, budowa klatki schodowej
Strona
16/26
28,34
B
1,82
27,07
34,29
31,42
A
3,18
1,27
Sprawdzenie wg PN-B-03264:2002 :
a
a
Zginanie: (przekrój a-a)
Moment przęsłowy obliczeniowy
MSd = 34,29 kNm/mb
Zbrojenie potrzebne As = 5,72 cm2/mb. Przyjęto 12 co 10,0 cm o As = 11,31 cm2/mb ( =
0,73%)
(rozstaw prętów przyjęty przez użytkownika)
Warunek nośności na zginanie: MSd = 34,29 kNm/mb < MRd = 62,57 kNm/mb (54,8%)
Ścinanie:
Siła poprzeczna obliczeniowa VSd = 30,13 kN/mb
Warunek nośności na ścinanie: VSd = 30,13 kN/mb < VRd1 = 107,78 kN/mb (28,0%)
SGU:
Moment przęsłowy charakterystyczny długotrwały MSk,lt = 23,03 kNm/mb
Szerokość rys prostopadłych: wk = 0,106 mm < wlim = 0,3 mm (35,2%)
Maksymalne ugięcie od MSk,lt: a(MSk,lt) = 19,09 mm < alim = 22,25 mm (85,8%)
Bieg schodowy 2
SZKIC SCHODÓW
Remont dachu, zmiana sposobu użytkowania części poddasza na
pomieszczenie gospodarcze, budowa klatki schodowej
20
300
Strona
17/26
150
11
x
17
/30
186,5
17
30
18
20
18
20
450
20
GEOMETRIA SCHODÓW
Wymiary schodów :
Długość dolnego spocznika
ls,d = 1,50 m
Długość biegu ln = 3,00 m
Różnica poziomów spoczników
h = 1,86 m
Liczba stopni w biegu n = 11 szt.
Grubość płyty t = 18,0 cm
Wymiary poprzeczne:
Szerokość biegu
1,20 m
- Schody dwubiegowe
Dusza schodów
0,0 cm
Oparcia : (szerokość / wysokość)
Wieniec ściany podpierającej spocznik dolny
b = 20,0 cm, h = 20,0 cm
Wieniec ściany podpierającej górny bieg schodowy
b = 20,0 cm, h = 18,0 cm
Oparcie belek:
Długość podpory lewej tL = 20,0 cm
Długość podpory prawej
tP = 20,0 cm
DANE MATERIAŁOWE
Klasa betonu B20 (C16/20)  fcd = 10,67 MPa, fctd = 0,87 MPa, Ecm = 29,0 GPa
Stal zbrojeniowa A-IIIN (RB500W)  fyk = 500 MPa, fyd = 420 MPa, ftk = 550 MPa
Średnica prętów
 = 12 mm
Otulina zbrojenia
cnom = 20 mm
ZESTAWIENIE OBCIĄŻEŃ
Obciążenia zmienne [kN/m2]:
Opis obciążenia
Obciążenie zmienne (biura, szkoły, zakłady naukowe,
banki, przychodnie lekarskie) [4,0kN/m2]
Obciążenia stałe na spoczniku [kN/m2]:
Lp.
Opis obciążenia
1. Okładzina górna spocznika grub.2 cm
Obc.char.
4,00
f
1,30
kd
0,35
Obc.obl.
5,20
Obc.char.
f
1,20
Obc.obl.
0,42
0,50
Remont dachu, zmiana sposobu użytkowania części poddasza na
pomieszczenie gospodarcze, budowa klatki schodowej
2. Płyta żelbetowa spocznika grub.18 cm
3. Okładzina dolna spocznika grub.1,5 cm
:
Obciążenia stałe na biegu schodowym [kN/m2]:
Lp.
Opis obciążenia
1. Okładzina górna biegu grub.2 cm 0,38·(1+17,0/30,0)
2. Płyta żelbetowa biegu grub.18 cm + schody 17/30
3. Okładzina dolna biegu grub.1,5 cm
:
4,50
0,28
5,21
1,10
1,20
1,11
4,95
0,34
5,80
Obc.char.
f
1,20
1,10
1,20
1,11
Obc.obl.
0,66
7,29
0,33
8,27
Przyjęty schemat statyczny:
po = 5,20 kN/m2
1,73
go,s = 5,79 kN/m2
B
go,b = 9,20 kN/m2
A
4,68
ZAŁOŻENIA OBLICZENIOWE:
Sytuacja obliczeniowa: trwała
Graniczna szerokość rys
wlim = 0,3 mm
Graniczne ugięcie
alim = jak dla belek i płyt (tablica 8)
WYNIKI:
Wyniki obliczeń statycznych:
Przęsło A-B: maksymalny moment obliczeniowy
Reakcja obliczeniowa RSd,A = 29,15 kN/mb
Reakcja obliczeniowa RSd,B = 32,75 kN/mb
Obwiednia momentów zginających:
Strona
18/26
MSd = 37,24 kNm/mb
0,79
8,02
0,39
9,20
Remont dachu, zmiana sposobu użytkowania części poddasza na
pomieszczenie gospodarcze, budowa klatki schodowej
Strona
19/26
1,73
32,75
B
37,24
29,15
A
32,72
3,07
1,61
Sprawdzenie wg PN-B-03264:2002 :
a
a
Zginanie: (przekrój a-a)
Moment przęsłowy obliczeniowy
MSd = 37,24 kNm/mb
2
Zbrojenie potrzebne As = 6,26 cm /mb. Przyjęto 12 co 10,0 cm o As = 11,31 cm2/mb ( =
0,73%)
(rozstaw prętów przyjęty przez użytkownika)
Warunek nośności na zginanie: MSd = 37,24 kNm/mb < MRd = 62,57 kNm/mb (59,5%)
Ścinanie:
Siła poprzeczna obliczeniowa VSd = 31,45 kN/mb
Warunek nośności na ścinanie: VSd = 31,45 kN/mb < VRd1 = 107,78 kN/mb (29,2%)
SGU:
Moment przęsłowy charakterystyczny długotrwały MSk,lt = 25,02 kNm/mb
Szerokość rys prostopadłych: wk = 0,117 mm < wlim = 0,3 mm (38,9%)
Maksymalne ugięcie od MSk,lt: a(MSk,lt) = 23,06 mm < alim = 23,40 mm (98,5%)
Remont dachu, zmiana sposobu użytkowania części poddasza na
pomieszczenie gospodarcze, budowa klatki schodowej
4.
Sprawdzenie istniejących elementów
4.1.
Elementy więźby dachowej
DANE
300,0
63
6,
4
Szkic układu poprzecznego
45,0°
16
17,5 15
274,0
290,0
835,0
900,0
16
15 17,5
300,0
Szkic układu podłużnego - płatwi pośredniej
A
B
115,0
115,0
510,0
Geometria ustroju:
Kąt nachylenia połaci dachowej  = 45,0o
Rozpiętość wiązara l = 9,00 m
Strona
20/26
Remont dachu, zmiana sposobu użytkowania części poddasza na
pomieszczenie gospodarcze, budowa klatki schodowej
Strona
21/26
Rozstaw podpór w świetle murłat ls = 8,35 m
Rozstaw osiowy płatwi lgx = 2,90 m
Rozstaw krokwi a = 0,90 m
Odległość między usztywnieniami bocznymi krokwi = 0,30 m
Płatew pośrednia o długości osiowej między słupami l = 5,10 m
- lewy koniec płatwi oparty na słupie z mieczami, odległość podparcia mieczami amL = 1,15 m
- prawy koniec płatwi oparty na słupie z mieczami, odległość podparcia mieczami a mP = 1,15 m
Wysokość całkowita słupów pod płatew pośrednią hs = 3,00 m
Rozstaw podparć poziomych murłaty lmo = 2,50 m
Wysięg wspornika murłaty lmw = 1,00 m
Dane materiałowe:
- krokiew 12/14cm (zacios 3 cm) z drewna C30
- płatew 15/18 cm z drewna C30
- słup 16/16 cm z drewna C30
- murłata 15/18 cm z drewna C30
Obciążenia (wartości charakterystyczne i obliczeniowe):
- pokrycie dachu :
gk = 0,850 kN/m2,
go = 1,020 kN/m2
- uwzględniono ciężar własny wiązara
- obciążenie śniegiem (wg PN-80/B-02010/Az1/Z1-1: połać bardziej obciążona, strefa 3, A=350 m
n.p.m., nachylenie połaci 45,0 st.):
- na połaci lewej
skl = 0,900 kN/m2,
sol = 1,350 kN/m2
2
- na połaci prawej
skp = 0,600 kN/m ,
sop = 0,900 kN/m2
- obciążenie śniegiem traktuje się jako obciążenie średniotrwałe
- obciążenie wiatrem (wg PN-B-02011:1977/Az1:2009/Z1-3: strefa III, teren B, wys. budynku z =8,5 m):
- na połaci nawietrznej
pkl = 0,189 kN/m2,
pol = 0,284 kN/m2
- na stronie zawietrznej
pkp = -0,159 kN/m2,
pop = -0,239 kN/m2
- ocieplenie dolnego odcinka krokwi
gkk = 0,150 kN/m2,
gok = 0,180 kN/m2
Założenia obliczeniowe:
- klasa użytkowania konstrukcji: 2
- dach w obiekcie starym, remontowanym (zwiększenie ugięć granicznych o 50%)
- w obliczeniach statycznych krokwi nie uwzględniono wpływu podatności płatwi
- współczynniki długości wyboczeniowej słupa:
w płaszczyźnie ustroju podłużnego ustalony automatycznie
w płaszczyźnie wiązara y = 1,00
WYNIKI
Obwiednia momentów zginających w układzie poprzecznym:
Remont dachu, zmiana sposobu użytkowania części poddasza na
pomieszczenie gospodarcze, budowa klatki schodowej
Strona
22/26
M [kNm]
0,06
0,06
-2,38
-2,38
2,10
2,10
-0,10
-0,10
Obwiednia momentów w układzie podłużnym - płatwi pośredniej:
Mz [kNm]
My [kNm]
Ry,Rz [kN]
Rx [kN]
1,54
1,96
3,38
1,54
3,00
9,15
47,64
5,10
17,57
B
47,64
17,57
A
WYMIAROWANIE wg PN-B-03150:2000
drewno lite iglaste wg PN-EN 338:2004, klasa wytrzymałości C30
 fm,k = 30 MPa, ft,0,k = 18 MPa, fc,0,k = 23 MPa, fv,k = 3 MPa, E0,mean = 12 GPa, k = 380 kg/m3
Krokiew 12/14 cm (zacios na podporach 3 cm)
Smukłość
y = 98,0 < 150
z = 8,7 < 150
Maksymalne siły i naprężenia w przęśle
decyduje kombinacja: K3 stałe-max+śnieg+0,90·wiatr
My = 2,10 kNm, N = 6,02 kN
fm,y,d = 13,85 MPa,
fc,0,d = 10,62 MPa
m,y,d = 5,36 MPa,
c,0,d = 0,36 MPa
kc,y = 0,318
Remont dachu, zmiana sposobu użytkowania części poddasza na
pomieszczenie gospodarcze, budowa klatki schodowej
c,0,d/(kc,y·fc,0,d) + m,y,d/fm,y,d = 0,493 < 1
(c,0,d/fc,0,d)2 + m,y,d/fm,y,d = 0,272 < 1
Maksymalne siły i naprężenia na podporze (płatwi)
decyduje kombinacja: K3 stałe-max+śnieg+0,90·wiatr
My = -2,38 kNm,
N = 2,90 kN
fm,y,d = 13,85 MPa,
fc,0,d = 10,62 MPa
m,y,d = 9,84 MPa,
c,0,d = 0,22 MPa
2
(c,0,d/fc,0,d) + m,y,d/fm,y,d = 0,711 < 1
Maksymalne ugięcie krokwi (pomiędzy murłatą a płatwią)
decyduje kombinacja: K2 stałe-max+śnieg
ufin = 9,25 mm < unet,fin = 1,5·l / 200 = 1,5·3960/ 200 = 29,70 mm (31,2%)
Maksymalne ugięcie wspornika krokwi
decyduje kombinacja: K2 stałe-max+śnieg
ufin = 2,81 mm < unet,fin = 1,5·2·l / 200 = 1,5· 2·354/ 200 = 5,30 mm (52,9%)
Płatew 15/18 cm
Smukłość
y = 17,3 < 150
z = 20,8 < 150
Obciążenia obliczeniowe
qz,max = 9,34 kN/m
qy,max = 0,60 kN/m
Maksymalne siły i naprężenia w płatwi
decyduje kombinacja: K3 stałe-max+śnieg+0,90·wiatr-parcie
My = 9,15 kNm, Mz = 1,76 kNm
fm,y,d = 13,85 MPa,
fm,z,d = 13,85 MPa
m,y,d = 11,30 MPa,
m,z,d = 2,61 MPa
m,y,d/fm,y,d + km·m,z,d/fm,z,d = 0,948 < 1
km·m,y,d/fm,y,d + m,z,d/fm,z,d = 0,760 < 1
Maksymalne ugięcie
decyduje kombinacja: K2 stałe-max+śnieg
ufin = 9,26 mm < unet,fin = 1,5·l / 200 = 21,00 mm (44,1%)
Słup 16/16 cm
Smukłość (słup A)
y = 97,5 < 150
z = 65,0 < 150
Maksymalne siły i naprężenia (słup A)
decyduje kombinacja: K3 stałe-max+śnieg+0,90·wiatr-parcie
My = 0,00 kNm, N = 47,64 kN
fc,0,d = 10,62 MPa
m,y,d = 0,00 MPa,
c,0,d = 1,86 MPa
kc,y = 0,321, kc,z = 0,639
c,0,d/(kc,y·fc,0,d) + m,y,d/fm,y,d = 0,546 < 1
c,0,d/(kc,z·fc,0,d) + m,y,d/fm,y,d = 0,274 < 1
Murłata 15/18 cm
Część murłaty leżąca na ścianie
Obciążenia obliczeniowe
qz,max = 5,40 kN/m
qy,max = 1,28 kN/m
Strona
23/26
Remont dachu, zmiana sposobu użytkowania części poddasza na
pomieszczenie gospodarcze, budowa klatki schodowej
Strona
24/26
Maksymalne siły i naprężenia
decyduje kombinacja: K4 stałe-max+wiatr
Mz = 0,85 kNm
fm,z,d = 20,77 MPa
m,z,d = 1,27 MPa
m,z,d/fm,z,d = 0,061 < 1
5.
Strop Akermana
Najbardziej wytężone przęsło.
Zestawienie obciążeń rozłożonych [kN/m2]:
Lp.
Opis obciążenia
1. Styropian grub. 23 cm [0,45kN/m3·0,23m]
2. Strop Akermana 20 cm + nadbeton 3 cm
Obc.char.
0,10
2,98
3,08
:
f
1,30
1,10
1,11
kd
---
Schemat statyczny stropu
qo = 3,41
A
leff = 8,30
B
Rozpiętość obliczeniowa stropu leff = 8,30 m
Wyniki obliczeń statycznych:
Dla 1 mb stropu:
Moment przęsłowy obliczeniowy MSd = 29,38 kNm/m
Moment przęsłowy charakterystyczny MSk = 26,56 kNm/m
Moment przęsłowy charakterystyczny długotrwały MSk,lt = 26,56 kNm/m
Reakcja obliczeniowa RA = RB = 14,16 kN/m
Dla 1 żebra:
Moment przęsłowy obliczeniowy MSd = 9,11 kNm
Moment przęsłowy charakterystyczny MSk = 8,23 kNm
Moment przęsłowy charakterystyczny długotrwały MSk,lt = 8,23 kNm
Reakcja obliczeniowa RA = RB = 4,39 kN
Założenia obliczeniowe :
Sytuacja obliczeniowa: trwała
Graniczna szerokość rys
wlim = 0,3 mm
Graniczne ugięcie
alim = leff/250 - jak dla stropów (tablica 8)
Wymiarowanie wg PN-B-03264:2002 :
Przęsło:
Zginanie: (metoda uproszczona)
Zbrojenie potrzebne As = 1,81 cm2. Przyjęto 118 co 31 cm o As = 2,54 cm2 ( = 1,31%)
Warunek nośności na zginanie: MSd = 9,11 kNm < MRd = 12,46 kNm (73,1%)
Ścinanie:
Zbrojenie konstrukcyjne strzemionami 6 co max. 130 mm na całej długości stropu
Warunek nośności na ścinanie: VSd = 4,39 kN < VRd1 = 8,75 kN (50,1%)
Obc.obl.
0,13
3,28
3,41
Remont dachu, zmiana sposobu użytkowania części poddasza na
pomieszczenie gospodarcze, budowa klatki schodowej
6.
Strona
25/26
Fundamenty
DANE:
Opis fundamentu :
Typ: ława prostokątna
Wymiary:
B = 0,55 m
H = 0,40 m
Bs = 0,50 m
eB = 0,00 m
Posadowienie fundamentu:
D = 1,25 m
Dmin = 1,25 m
brak wody gruntowej w zasypce
Opis podłoża:
z [m]
-1,25
0,00
z
Gliny
2,50
N nazwa gruntu
r
1 Gliny
h [m]
2,50
nawodn o(n)
iona
[t/m3]
nie
2,15
Naprężenie dopuszczalne dla podłoża
f,min
f,max
u(r) [o]
0,90
1,10
15,77
cu(r)
[kPa]
27,08
M0
[kPa]
33544
dop [kPa] = 205,0 kPa
Kombinacje obciążeń obliczeniowych:
N typ obc.
r
1 całkowite
N [kN/m]
TB [kN/m]
MB [kNm/m]
e [kPa]
e [kPa/m]
100,00
0,00
0,00
0,00
0,00
Materiały :
Zasypka:
ciężar objętościowy: 20,00 kN/m3
współczynniki obciążenia: f,min = 0,90; f,max = 1,20
Założenia obliczeniowe :
Współczynniki korekcyjne oporu granicznego podłoża:
- dla nośności pionowej m = 0,81
- dla stateczności fundamentu na przesunięcie m = 0,72
- dla stateczności na obrót m = 0,72
Współczynnik tarcia gruntu o podstawę fundamentu: f = 0,50
Współczynniki redukcji spójności:
M [kPa]
44714
Remont dachu, zmiana sposobu użytkowania części poddasza na
pomieszczenie gospodarcze, budowa klatki schodowej
Strona
26/26
- przy sprawdzaniu przesunięcia: 0,50
- przy korekcie nachylenia wypadkowej obciążenia: 1,00
Czas trwania robót: powyżej 1 roku (=1,00)
Stosunek wartości obc. obliczeniowych N do wartości obc. charakterystycznych Nk N/Nk = 1,20
WYNIKI-SPRAWDZENIE:
WARUNKI STANÓW GRANICZNYCH PODŁOŻA - wg PN-81/B-03020
Nośność pionowa podłoża:
Decyduje: kombinacja nr 1
Decyduje nośność w poziomie: posadowienia fundamentu
Obliczeniowy opór graniczny podłoża QfN = 227,3 kN
Nr = 106,8 kN < m·QfN = 184,1 kN
(58,0%)
Nośność (stateczność) podłoża z uwagi na przesunięcie poziome:
Decyduje: kombinacja nr 1
Decyduje nośność w poziomie: posadowienia fundamentu
Obliczeniowy opór graniczny podłoża QfT = 37,2 kN
Tr = 0,0 kN < m·QfT = 26,8 kN (0,0%)
Obciążenie jednostkowe podłoża:
Decyduje: kombinacja nr 1
Naprężenie maksymalne max = 194,2 kPa
max = 194,2 kPa < dop = 205,0 kPa (94,7%)
Stateczność fundamentu na obrót:
Decyduje: kombinacja nr 1
Decyduje moment wywracający MoB,2 = 0,00 kNm/mb, moment utrzymujący MuB,2 = 29,02
kNm/mb
Mo = 0,00 kNm/mb < m·Mu = 20,9 kNm/mb
(0,0%)
Osiadanie:
Decyduje: kombinacja nr 1
Osiadanie pierwotne s'= 0,34 cm, wtórne s''= 0,05 cm, całkowite s = 0,39 cm
s = 0,39 cm < sdop = 7,00 cm (5,6%)
za obliczenia: