Plan lekcji

Transkrypt

Plan lekcji
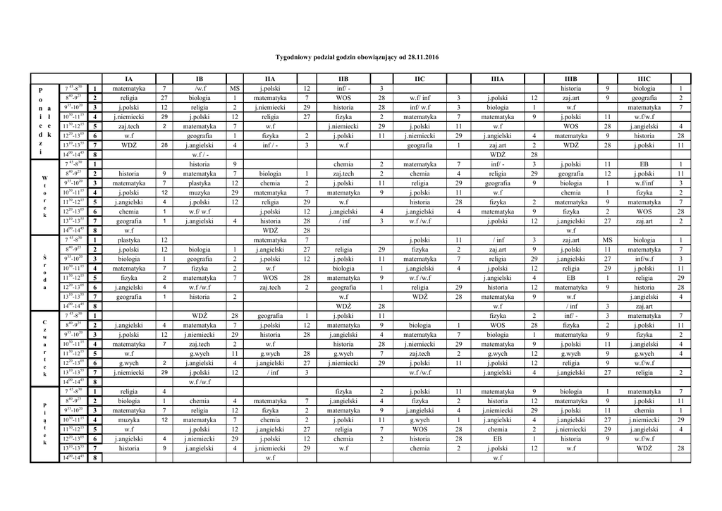
Tygodniowy podział godzin obowiązujący od 28.11.2016
7 45-830
P
o
n
i
e
d
z
i
840-925
a
ł
e
k
935-1020
1030-1115
1130-1215
1220-1305
1310-1355
1400-1445
7 45-830
W
t
o
r
e
k
840-925
935-1020
1030-1115
1130-1215
1220-1305
1310-1355
1400-1445
7 45-830
840-925
Ś
r
o
d
a
935-1020
1030-1115
1130-1215
1220-1305
1310-1355
1400-1445
7 45-830
C
z
w
a
r
t
e
k
840-925
935-1020
1030-1115
1130-1215
1220-1305
1310-1355
1400-1445
7 45-830
P
i
ą
t
e
k
840-925
935-1020
1030-1115
1130-1215
1220-1305
1310-1355
1400-1445
1
2
3
4
5
6
7
8
1
2
3
4
5
6
7
8
1
2
3
4
5
6
7
8
1
2
3
4
5
6
7
8
1
2
3
4
5
6
7
8
IA
matematyka
religia
j.polski
j.niemiecki
zaj.tech
w.f
WDŻ
historia
matematyka
j.polski
j.angielski
chemia
geografia
w.f
plastyka
j.polski
biologia
matematyka
fizyka
j.angielski
geografia
7
27
12
29
2
28
9
7
12
4
1
1
12
12
1
7
2
4
1
j.angielski
j.polski
matematyka
w.f
g.wych
j.niemiecki
4
12
religia
biologia
matematyka
muzyka
w.f
j.angielski
historia
4
1
7
7
2
29
12
4
9
IB
/w.f
biologia
religia
j.polski
matematyka
geografia
j.angielski
w.f / historia
matematyka
plastyka
muzyka
j.polski
w.f/ w.f
j.angielski
MS
1
2
12
7
1
4
9
7
12
29
12
4
IIA
j.polski
matematyka
j.niemiecki
religia
w.f
fizyka
inf / -
12
7
29
27
2
3
biologia
chemia
matematyka
religia
j.polski
historia
WDŻ
matematyka
j.angielski
j.polski
w.f
WOS
zaj.tech
1
2
7
29
12
28
28
7
27
12
biologia
geografia
fizyka
matematyka
w.f /w.f
historia
1
2
2
7
WDŻ
matematyka
j.niemiecki
zaj.tech
g.wych
j.angielski
j.polski
w.f /w.f
28
7
29
2
11
4
12
geografia
j.polski
historia
w.f
g.wych
j.angielski
/ inf
1
12
28
chemia
religia
matematyka
j.polski
j.niemiecki
j.angielski
4
12
7
12
29
4
matematyka
fizyka
chemia
j.angielski
j.polski
j.niemiecki
w.f
7
2
2
27
12
29
28
2
2
28
27
3
IIB
inf/ WOS
historia
fizyka
j.niemiecki
j.polski
w.f
IIC
3
28
28
2
29
11
chemia
zaj.tech
j.polski
matematyka
w.f
j.angielski
/ inf
2
2
11
9
religia
j.polski
biologia
matematyka
geografia
w.f
WDŻ
j.polski
matematyka
j.angielski
historia
g.wych
j.niemiecki
29
11
1
9
1
fizyka
j.angielski
matematyka
j.polski
religia
chemia
w.f
4
3
28
11
9
4
28
7
29
2
4
9
11
7
2
IIIA
w.f/ inf
inf/ w.f
matematyka
j.polski
j.niemiecki
geografia
3
3
7
11
29
1
matematyka
chemia
religia
j.polski
historia
j.angielski
w.f /w.f
7
4
29
11
28
4
j.polski
fizyka
matematyka
j.angielski
w.f /w.f
religia
WDŻ
11
2
7
4
29
28
biologia
matematyka
j.niemiecki
zaj.tech
j.polski
w.f /w.f
1
7
29
2
11
j.polski
fizyka
j.angielski
g.wych
WOS
historia
chemia
11
2
4
1
28
28
2
IIIB
historia
zaj.art
w.f
j.polski
WOS
matematyka
WDŻ
j.polski
biologia
matematyka
w.f
j.angielski
zaj.art
WDŻ
inf/ religia
geografia
w.f
fizyka
matematyka
j.polski
12
1
9
/ inf
zaj.art
religia
j.polski
j.angielski
historia
matematyka
w.f
fizyka
WOS
biologia
matematyka
g.wych
j.polski
j.angielski
3
9
29
12
4
12
9
2
28
1
9
12
12
4
j.polski
geografia
biologia
chemia
matematyka
fizyka
j.angielski
w.f
zaj.art
j.polski
j.angielski
religia
EB
matematyka
w.f
/ inf
inf/ fizyka
matematyka
j.polski
g.wych
religia
j.angielski
matematyka
historia
j.niemiecki
j.angielski
chemia
EB
j.polski
w.f
9
12
29
4
2
1
12
biologia
matematyka
j.polski
j.angielski
j.niemiecki
historia
w.f
4
2
28
3
29
9
2
9
12
11
28
9
28
IIIC
biologia
geografia
matematyka
w.f/w.f
j.angielski
historia
j.polski
4
28
11
11
12
1
1
9
2
27
EB
j.polski
w.f/inf
fizyka
matematyka
WOS
zaj.art
1
11
3
2
7
28
2
MS
11
27
29
1
9
biologia
matematyka
inf/w.f
j.polski
religia
historia
j.angielski
zaj.art
matematyka
j.polski
fizyka
j.angielski
g.wych
w.f/w.f
religia
1
7
3
11
29
28
4
matematyka
j.polski
chemia
j.niemiecki
j.angielski
w.f/w.f
WDŻ
7
11
1
29
4
9
9
3
3
2
9
11
9
9
27
1
9
11
27
29
9
1
2
7
7
11
2
4
4
2
28