AKTYW A TRW AŁE

Transkrypt

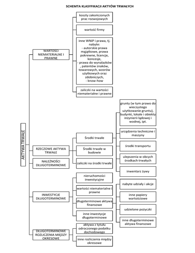
AKTYW A TRW AŁE
SCHEMTA KLASYFIKACJI AKTYÓW TRWAŁYCH
koszty zakończonych
prac rozwojowych
wartość firmy
WARTOŚCI
NIEMATERIALNE I
PRAWNE
inne WNiP i prawa, tj.
nabyte:
- autorskie prawa
mąjątkowe, prawa
pokrewne, licencje,
koncesje,
- prawa do wynalazków
, patentów znaków,
towarowych, wzorów
użytkowych oraz
zdobniczych,
- know-how
zaliczki na wartości
niematerialne i prawne
AKTYWA TRWAŁE
grunty (w tym prawo do
wieczystego
użytkowanie gruntu),
budynki, lokale i obiekty
inżynierii lądowej i
wodnej, ipt.
Środki trwałe
RZECZOWE AKTYWA
TRWAŁE
NALEŻNOŚCI
DŁUGOTERMINOWE
Środki trwałe w
budowie
zaliczki na środki trwałe
urządzenia techniczne i
maszyny
środki transportu
ulepszenia w obcych
środkach trwałych
inwentarz żywy
nieruchomości
inwestycyjne
nabyte udziały i akcje
INWESTYCJE
DŁUGOTERMINOWE
wartości niematerialne i
prawne
długoterminowe aktywa
finansowe
inne papiery
wartościowe
udzielone pożyczki
inne inwestycje
długoterminowe
DŁUGOTERMINOWE
ROZLICZENIA MIĘDZY
OKRESOWE
aktywa z tytułu
odroczonego podatku
dochodowego
inne rozliczenia między
okresowe
inne długoterminowe
aktywa finansowe
SCHEMAT KLASYFIKACJI AKTYWÓW OBROTOWYCH
materiały
półprodukty i produkty w
toku (produkcja
niezakończona)
ZAPASY (RZECZOWE
AKTYWA OBROTOWE)
produkty gotowe (wyroby
gotowe, zakończone
usługi i roboty)
towary
zaliczki na dostawy
AKTYWA OBROTOWE
od odbiorców (z tyt.
dostaw i usług)
publicznoprawne (z tyt.
podatków, ceł,
ubezpoieczeń i innych
świadczeń)
NALEŻNOŚCI
KRÓTKOTERMINOWE
dochodzone na drodze
sądowej
od pracowników
pozostałe (inne)
udziały lub akcje
inne papiery wartościowe
INWESTYCJE
KRÓTKOTERMINOWE
KRÓTKOTERMINOWE
ROZLICZENIA
MIĘDZYOKRESOWE
krótkoterminowe aktywa
finansowe
udzielone pożyczki
Inne inwestycje
krótkoterminowe
inne krótkoterminowe
aktywa finansowe
środkie pieniężne w kasie i
na rachunku bankowym
środki pienięzne i inne
aktywa pieniężne
inne środkie pieniężne
inne aktywa pieniężne
UPROSZCZONYC SCHEMAT KLASYFIKACJI KAPITAŁÓW (FUNDUSZY) WŁASNYCH
KAPITAŁY FUNDUSZE WŁASNE
KAPITAŁ (FUNDUSZE) PODSTAWOWE
POZOSTAŁE KAPITALY (FUNDUSZE)
ZYSK (STRATA Z LAT UBIEGŁYCH)
ZYSK (STRATA) NETTO
- zysk netto (wielkość dodatnia)
- strata netto (wartość ujemna)
ODPISY Z ZYSKU NETTO W CIĄGU ROKU
OBROTOWEGO (WIELKOŚĆ UJEMNA)
SCHEMAT KLASYFIKACJI ZOBOWIĄZAŃ I REZERW NA ZOBOWIĄZANIA
ZOBOWIĄZANIA I REZERWY NA
ZOBOWIĄZANIA
Kredyty i pożyczki
wobec dostawców
(z tytułu dostaw i usług)
REZERWY NA
ZOBOWIĄZANIA
zaliczki otrzymane na
dostawę
ZOBOWIĄZANIA
wekslowe
ROZLICZENIA
MIĘDZYOKRESOWE
publicznoprawne (z tytułu
podatków, ceł, ubezpieczeń i
innych świadczeń)
wobec pracowników
inne (pozostałe)