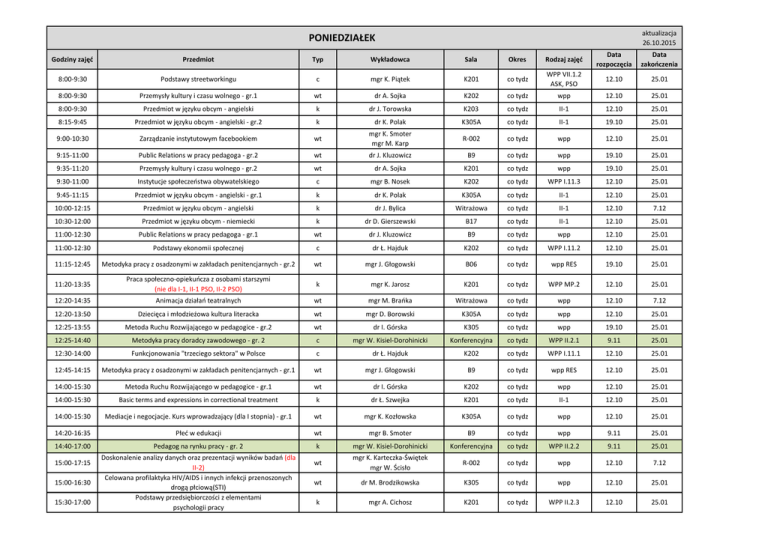
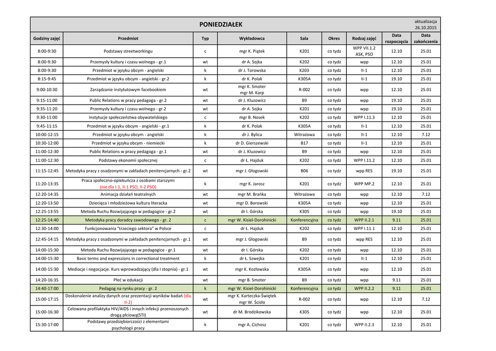
PONIEDZIAŁEK

Transkrypt

PONIEDZIAŁEK
aktualizacja
26.10.2015
PONIEDZIAŁEK
Godziny zajęć
Przedmiot
Typ
Wykładowca
Sala
Okres
Rodzaj zajęć
Data
rozpoczęcia
Data
zakończenia
8:00-9:30
Podstawy streetworkingu
c
mgr K. Piątek
K201
co tydz
WPP VII.1.2
ASK, PSO
12.10
25.01
8:00-9:30
Przemysły kultury i czasu wolnego - gr.1
wt
dr A. Sojka
K202
co tydz
wpp
12.10
25.01
8:00-9:30
Przedmiot w języku obcym - angielski
k
dr J. Torowska
K203
co tydz
II-1
12.10
25.01
8:15-9:45
Przedmiot w języku obcym - angielski - gr.2
k
dr K. Polak
K305A
co tydz
II-1
19.10
25.01
R-002
co tydz
wpp
12.10
25.01
9:00-10:30
Zarządzanie instytutowym facebookiem
wt
mgr K. Smoter
mgr M. Karp
9:15-11:00
Public Relations w pracy pedagoga - gr.2
wt
dr J. Kluzowicz
B9
co tydz
wpp
19.10
25.01
9:35-11:20
Przemysły kultury i czasu wolnego - gr.2
wt
dr A. Sojka
K201
co tydz
wpp
19.10
25.01
9:30-11:00
Instytucje społeczeństwa obywatelskiego
c
mgr B. Nosek
K202
co tydz
WPP I.11.3
12.10
25.01
9:45-11:15
Przedmiot w języku obcym - angielski - gr.1
k
dr K. Polak
K305A
co tydz
II-1
12.10
25.01
10:00-12:15
Przedmiot w języku obcym - angielski
k
dr J. Bylica
Witrażowa
co tydz
II-1
12.10
7.12
10:30-12:00
Przedmiot w języku obcym - niemiecki
k
dr D. Gierszewski
B17
co tydz
II-1
12.10
25.01
11:00-12:30
Public Relations w pracy pedagoga - gr.1
wt
dr J. Kluzowicz
B9
co tydz
wpp
12.10
25.01
11:00-12:30
Podstawy ekonomii społecznej
c
dr Ł. Hajduk
K202
co tydz
WPP I.11.2
12.10
25.01
11:15-12:45
Metodyka pracy z osadzonymi w zakładach penitencjarnych - gr.2
wt
mgr J. Głogowski
B06
co tydz
wpp RES
19.10
25.01
11:20-13:35
Praca społeczno-opiekuńcza z osobami starszymi
(nie dla I-1, II-1 PSO, II-2 PSO)
k
mgr K. Jarosz
K201
co tydz
WPP MP.2
12.10
25.01
12:20-14:35
Animacja działań teatralnych
wt
mgr M. Brańka
Witrażowa
co tydz
wpp
12.10
7.12
12:20-13:50
Dziecięca i młodzieżowa kultura literacka
wt
mgr D. Borowski
K305A
co tydz
wpp
12.10
25.01
12:25-13:55
Metoda Ruchu Rozwijającego w pedagogice - gr.2
wt
dr I. Górska
K305
co tydz
wpp
19.10
25.01
12:25-14:40
Metodyka pracy doradcy zawodowego - gr. 2
c
mgr W. Kisiel-Dorohinicki
Konferencyjna
co tydz
WPP II.2.1
9.11
25.01
12:30-14:00
Funkcjonowania "trzeciego sektora" w Polsce
c
dr Ł. Hajduk
K202
co tydz
WPP I.11.1
12.10
25.01
12:45-14:15
Metodyka pracy z osadzonymi w zakładach penitencjarnych - gr.1
wt
mgr J. Głogowski
B9
co tydz
wpp RES
12.10
25.01
14:00-15:30
Metoda Ruchu Rozwijającego w pedagogice - gr.1
wt
dr I. Górska
K202
co tydz
wpp
12.10
25.01
14:00-15:30
Basic terms and expressions in correctional treatment
k
dr Ł. Szwejka
K201
co tydz
II-1
12.10
25.01
14:00-15:30
Mediacje i negocjacje. Kurs wprowadzający (dla I stopnia) - gr.1
wt
mgr K. Kozłowska
K305A
co tydz
wpp
12.10
25.01
14:20-16:35
Płeć w edukacji
wt
mgr B. Smoter
B9
co tydz
wpp
9.11
25.01
Pedagog na rynku pracy - gr. 2
k
mgr W. Kisiel-Dorohinicki
Konferencyjna
co tydz
WPP II.2.2
9.11
25.01
wt
mgr K. Karteczka-Świętek
mgr W. Ścisło
R-002
co tydz
wpp
12.10
7.12
wt
dr M. Brodzikowska
K305
co tydz
wpp
12.10
25.01
k
mgr A. Cichosz
K201
co tydz
WPP II.2.3
12.10
25.01
14:40-17:00
15:00-17:15
15:00-16:30
15:30-17:00
Doskonalenie analizy danych oraz prezentacji wyników badań (dla
II-2)
Celowana profilaktyka HIV/AIDS i innych infekcji przenoszonych
drogą płciową(STI)
Podstawy przedsiębiorczości z elementami
psychologii pracy
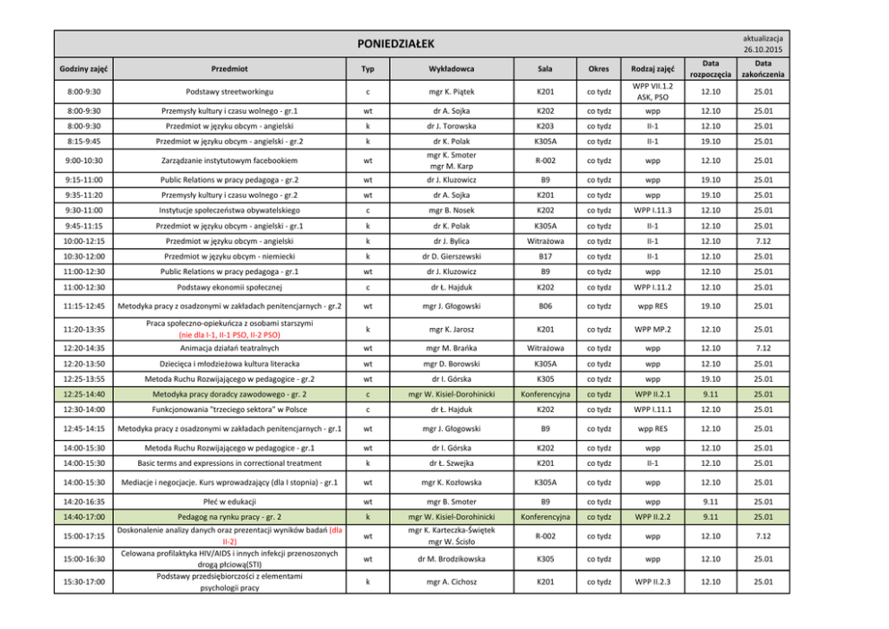
16:00-18:15
Asystentura rodziny – między teorią a praktyką
wt
mgr J. Basta
K203
co tydz
16:00-17:30
Metodyka pracy w placówkach wsparcia dziennego
wt
mgr Ł. Zaręba
K202
16:30-18:00
Przeciwdziałanie wykluczeniu społecznemu grup de
faworyzowanych
c
dr M. Brodzikowska
16:30-18:45
Wykorzystanie tańca i ruchu naturalnego w wychowaniu
wt
16:40-18:55
Społeczne tworzenie seksualności - implikacje pedagogiczne
17:00-18:30
Metodyka pracy doradcy zawodowego - gr. 1
17:10-18:40
17:30-19:45
Wprowadzenie do gerontologii społecznej
(nie dla I-1, II-1 PSO, II-2 PSO)
Analiza powszechnie dostępnych danych z badań edukacyjnych i
społecznych (dla II-2)
wpp
12.10
21.12
co tydz
wpp
12.10
25.01
K305
co tydz
WPP VII.1.1
ASK, PSO
12.10
25.01
dr K. Czyżewska
Witrażowa
co tydz
wpp
12.10
7.12
wt
mgr B. Smoter
B9
co tydz
wpp
9.11
25.01
c
mgr W. Kisiel-Dorohinicki
K201
co tydz
WPP II.2.1
12.10
25.01
k
mgr J. Grochala
K305A
co tydz
WPP MP.1
12.10
25.01
wt
mgr K. Karteczka-Świętek
mgr W. Ścisło
R-002
co tydz
wpp
12.10
7.12
18:30-20:00
Pedagog na rynku pracy - gr. 1
k
mgr W. Kisiel-Dorohinicki
K201
co tydz
WPP II.2.2
12.10
25.01
18:50-20:20
Sport, olimpizm i rekreacja w procesie resocjalizacji
wt
mgr B. Chrzanowski
K305A
co tydz
wpp
12.10
25.01
Mediacje i negocjacje. Kurs wprowadzający (dla I stopnia) - gr.2
wt
Drama w kształceniu pedagogicznym
wt
Koło teatralne
wt
Trening asertywności (dla I-2 i I-3)
wt
Trening twórczości (dla II stopnia)
wt
Trening umiejętności (dla I-2 i I-3)
wt
mgr K. Kozłowska
Zajęcia skumulowane. Terminy spotkań:
21, 22 listopada sala K202;
12, 13 grudnia sala Warsztatowa;
Zajęcia odbywają się w godzinach 9:00-14:15.
Spotkanie podsumowujące ustalone zostanie w trakcie zajęć.
mgr S. Świder
Spotkanie organizacyjne odbędzie się 9 października
o godzinie 16:00 w sali Witrażowej przy ul. Batorego
mgr K. Markiewicz
zajęcia w trybie
weekendowym
Spotkania organizacyjne odbędą się 19
października w sali R056 w godzinach:
10:00-10:30 (tr. asertywności)
10:30-11:00 (tr. twórczości)
11:00-11:30 (tr. umiejętności)
Uwaga! W przypadku wyczerpania puli miejsc na warsztatach dla studentów zobowiązanych uzyskać określoną liczbę punktów ECTS w danym
roku/semestrze, proszę ten fakt zgłaszać pisemnie w sekretariacie na początku semestru. W takim wypadku, zgodnie z rzeczywistym
zapotrzebowaniem, będą uruchamiane kolejne grupy warsztatowe.