średnia ważona – regulamin oceniania w klasach 4 – 6

Transkrypt

średnia ważona – regulamin oceniania w klasach 4 – 6
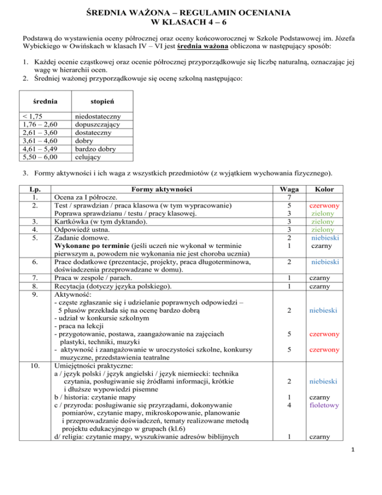
ŚREDNIA WAŻONA – REGULAMIN OCENIANIA
W KLASACH 4 – 6
Podstawą do wystawienia oceny półrocznej oraz oceny końcoworocznej w Szkole Podstawowej im. Józefa
Wybickiego w Owińskach w klasach IV – VI jest średnia ważona obliczona w następujący sposób:
1. Każdej ocenie cząstkowej oraz ocenie półrocznej przyporządkowuje się liczbę naturalną, oznaczając jej
wagę w hierarchii ocen.
2. Średniej ważonej przyporządkowuje się ocenę szkolną następująco:
średnia
< 1,75
1,76 – 2,60
2,61 – 3,60
3,61 – 4,60
4,61 – 5,49
5,50 – 6,00
stopień
niedostateczny
dopuszczający
dostateczny
dobry
bardzo dobry
celujący
3. Formy aktywności i ich waga z wszystkich przedmiotów (z wyjątkiem wychowania fizycznego).
Lp.
1.
2.
3.
4.
5.
6.
7.
8.
9.
10.
Formy aktywności
Ocena za I półrocze.
Test / sprawdzian / praca klasowa (w tym wypracowanie)
Poprawa sprawdzianu / testu / pracy klasowej.
Kartkówka (w tym dyktando).
Odpowiedź ustna.
Zadanie domowe.
Wykonane po terminie (jeśli uczeń nie wykonał w terminie
pierwszym a, powodem nie wykonania nie jest choroba ucznia)
Prace dodatkowe (prezentacje, projekty, praca długoterminowa,
doświadczenia przeprowadzane w domu).
Praca w zespole / parach.
Recytacja (dotyczy języka polskiego).
Aktywność:
- częste zgłaszanie się i udzielanie poprawnych odpowiedzi –
5 plusów przekłada się na ocenę bardzo dobrą
- udział w konkursie szkolnym
- praca na lekcji
- przygotowanie, postawa, zaangażowanie na zajęciach
plastyki, techniki, muzyki
- aktywność i zaangażowanie w uroczystości szkolne, konkursy
muzyczne, przedstawienia teatralne
Umiejętności praktyczne:
a / język polski / język angielski / język niemiecki: technika
czytania, posługiwanie się źródłami informacji, krótkie
i dłuższe wypowiedzi pisemne
b / historia: czytanie mapy
c / przyroda: posługiwanie się przyrządami, dokonywanie
pomiarów, czytanie mapy, mikroskopowanie, planowanie
i przeprowadzanie doświadczeń, tematy realizowane metodą
projektu edukacyjnego w grupach (kl.6)
d/ religia: czytanie mapy, wyszukiwanie adresów biblijnych
Waga
7
5
3
3
3
2
1
Kolor
czerwony
zielony
zielony
zielony
niebieski
czarny
2
niebieski
1
1
czarny
czarny
2
niebieski
5
czerwony
5
czerwony
2
niebieski
1
4
czarny
fioletowy
1
czarny
1
11.
12.
e/ plastyka:
- prace plastyczne (staranność, oryginalność, różnorodność
wyrazu artystycznego);
- prace przedstawione po terminie
f/ technika:
- prace techniczne (staranność, oryginalność wykonania,
posługiwanie się narzędziami);
- prace przedstawione po terminie
g / muzyka: śpiewanie piosenek, gra na flecie
Zeszyt przedmiotowy / zeszyt ćwiczeń
(ocena 1 raz w półroczu).
Osiągnięcia w konkursach przedmiotowych:
a / na poziomie gminnym, rejonowym i wyżej
b / na poziomie szkolnym (laureaci)
4
fioletowy
2
niebieski
4
fioletowy
2
4
1
niebieski
fioletowy
czarny
5
3
czerwony
zielony
Waga
Kolor
3
zielony
3
zielony
Formy aktywności i ich waga z przedmiotu wychowanie fizyczne:
Lp.
1.
2.
3.
4.
5.
6.
Formy aktywności
Postawa, aktywność na lekcji – zaangażowanie, sumienność
i staranność, stosunek do współćwiczących – 5 plusów przekłada się
na ocenę bardzo dobrą, 5 minusów na ocenę niedostateczną
Postępy w usprawnianiu – poziom sprawności motorycznej (siła
szybkość, zwinność, wytrzymałość) określony na podstawie
przeprowadzonych testów diagnozujących. Wyniki testów nie
podlegają ocenie stopniem, lecz działania praktyczne właściwe dla
danego testu sprawności fizycznej oraz postępy w rozwoju fizycznym
Poziom wiadomości – odpowiedzi ustne z zakresu zasad zdrowego
stylu życia, samooceny poziomu sprawności fizycznej, przepisów
Poziom umiejętności ruchowych ucznia z tych działów, które były
przedmiotem nauczania w danym semestrze (np. gimnastyka, gry
zespołowe, lekkoatletyka itp.)
Udział w szkolnych i pozaszkolnych zawodach sportowych
Miejsca medalowe na szczeblu gminnym, powiatowym
działalność pozalekcyjna o charakterze sportowym
Przygotowanie do lekcji, frekwencja – na koniec każdego miesiąca
uczeń otrzymuje ocenę cząstkową za przygotowanie do lekcji. Jeśli
jest zawsze przygotowany, otrzymuje ocenę bardzo dobrą, 1 raz
nieprzygotowany – ocenę dobrą, 2 razy – dostateczną itd.
1
czarny
2
niebieski
4
5
4
fioletowy
czerwony
fioletowy
2
niebieski
4. Częstotliwość oceniania w semestrze:
Kryteria oceniania
Częstotliwość sprawdzania / oceniania
- odpowiedź ustna: krótka, dłuższa
- kartkówki
- sprawdziany
- prace klasowe
- prace domowe
- aktywność na zajęciach
- praca w grupie
- udział w konkursach
- prace dodatkowe
- recytacja
- dyktando
- testy diagnostyczne
przynajmniej dwa razy w semestrze (z trzech ostatnich lekcji)
wg potrzeb – z trzech ostatnich lekcji
po każdym rozdziale
po omówionej lekturze
wybrane do oceny
plusy i minusy (5xplus – ocena bdb)
każdorazowo
każdorazowe uczestnictwo
za wykonaną pracę i jej zaprezentowanie
każda
po każdej omówionej regule
każdy test
2
5. Za każdą pracę plastyczną i techniczną uczeń otrzymuje dwie oceny – pierwszą za aktywność
wyrażoną przygotowaniem, postawą, zaangażowaniem; drugą za staranność wyrażoną
oryginalnością wykonania, posługiwanie się narzędziami.
6. Na podstawie ocen uzyskanych przez ucznia w I półroczu nauczyciel wystawia ocenę półroczną.
Ocenę końcoworoczną wystawia się na podstawie ocen uzyskanych przez ucznia w II półroczu oraz
średniej ważonej za pierwszy semestr liczoną wagą 7.
Średnią ważoną obliczamy w zaokrągleniu do dwóch miejsc po przecinku.
7. Prace klasowe / testy / sprawdziany są obowiązkowe.
8. Wymagania na ocenę: celującą, bardzo dobrą, dobrą, dostateczną, dopuszczającą – zawarte
w Wewnątrzszkolnych Zasadach Oceniania (WZO) oraz Przedmiotowym Systemie Oceniania (PSO).
9. Nieprzygotowanie do lekcji może być zgłaszane (przed lekcją) – bez negatywnych konsekwencji – do 2
razy w półroczu.
10. Poprawa sprawdzianów i prac klasowych odbywa się tylko raz w przypadku otrzymania:
 oceny niedostatecznej i dopuszczającej – do 50% prac zrealizowanych w półroczu;
 oceny dostatecznej w przypadku wysokiej średniej oceny z przedmiotu – do 50% prac
zrealizowanych w półroczu.
11. Uczeń nieobecny na pracach pisemnych pisze w terminie uzgodnionym z nauczycielem.
12. Zasady „fair play” obowiązujące na lekcji: nie ściągamy i nie podpowiadamy, jesteśmy uczciwi,
życzliwi, tolerancyjni, wyrozumiali, służymy radą i pomocą innym.
13. Obowiązkiem ucznia jest prowadzenie zeszytu przedmiotowego (zeszytu ćwiczeń) i uzupełnianie
notatek (do 3 dni nieobecności – na bieżąco, powyżej 3 dni – w ciągu tygodnia).
14. Zadania terminowe (z wyznaczonym terminem wykonania) po upływie wyznaczonego terminu
nie podlegają ocenie i poprawie.
15. Uczeń ma możliwość poprawienia ocenę z pracy klasowej w wyznaczonym przez nauczyciela terminie
(z obniżoną wagą).
16. Oceny z kartkówek nie podlegają poprawie.
17. Testy diagnostyczne – wynik uzyskany przez ucznia wyrażony jest w procentach i wpisuje
się go do dziennika, ale nie ma on wpływu na ocenę półroczną / roczną.
18. Do oceny półrocznej/ rocznej liczymy wszystkie uzyskane przez ucznia oceny.
19. Oceny cząstkowe nie posiadają znaków dodatkowych, typu + / –.
20. Do dziennika wpisujemy oceny odpowiednim kolorem z podziałem na poszczególne wagi.
21. Średnią ważoną obliczamy w ten sposób, że mnożymy każdą ocenę przez jej wagę, sumujemy
wszystkie iloczyny i dzielimy przez sumę wszystkich wag, jeśli jakaś waga została użyta kilka razy
to tyle samo razy trzeba ją dodać do sumy.
wzór: średnia ważona =
oc – ocena cząstkowa
w – waga danej oceny cząstkowej
22. Na ocenę półroczną i końcoworoczną uczeń pracuje systematycznie, nie ma możliwości zmiany
oceny w wyniku jednorazowego przygotowania się z określonej części materiału.
3