Podstawowe rozklady zmiennych losowych

Transkrypt

Podstawowe rozklady zmiennych losowych
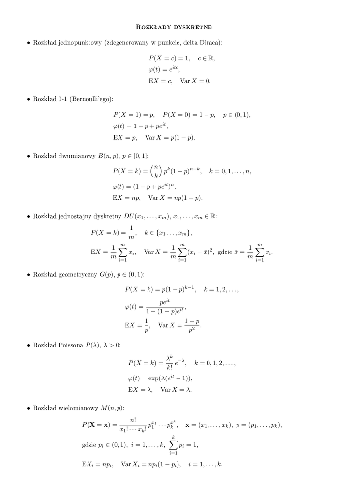
Rozkªady dyskretne
• Rozkªad jednopunktowy (zdegenerowany w punkcie, delta Diraca):
P (X = c) = 1,
c ∈ R,
itc
ϕ(t) = e ,
EX = c,
Var X = 0.
• Rozkªad 0-1 (Bernoulli'ego):
P (X = 1) = p,
P (X = 0) = 1 − p,
p ∈ (0, 1),
ϕ(t) = 1 − p + peit ,
EX = p,
Var X = p(1 − p).
• Rozkªad dwumianowy B(n, p), p ∈ [0, 1]:
P (X = k) =
³n´
k
pk (1 − p)n−k ,
k = 0, 1, . . . , n,
ϕ(t) = (1 − p + peit )n ,
EX = np,
Var X = np(1 − p).
• Rozkªad jednostajny dyskretny DU (x1 , . . . , xm ), x1 , . . . , xm ∈ R:
P (X = k) =
1
,
m
m
1 X
EX =
xi ,
m
i=1
k ∈ {x1 . . . , xm },
m
m
i=1
i=1
1 X
1 X
Var X =
(xi − x̄)2 , gdzie x̄ =
xi .
m
m
• Rozkªad geometryczny G(p), p ∈ (0, 1):
P (X = k) = p(1 − p)k−1 ,
ϕ(t) =
k = 1, 2, . . . ,
peit
,
1 − (1 − p)eit
1
EX = ,
p
Var X =
1−p
.
p2
• Rozkªad Poissona P (λ), λ > 0:
P (X = k) =
λk −λ
e ,
k!
k = 0, 1, 2, . . . ,
ϕ(t) = exp(λ(eit − 1)),
EX = λ,
Var X = λ.
• Rozkªad wielomianowy M (n, p):
n!
k
px1 1 · · · pxk , x = (x1 , . . . , xk ), p = (p1 , . . . , pk ),
x1 ! · · · xk !
k
X
gdzie pi ∈ (0, 1), i = 1, . . . , k,
pi = 1,
P (X = x) =
i=1
EXi = npi ,
Var Xi = npi (1 − pi ),
i = 1, . . . , k.
Rozkªady absolutnie ci¡gªe
• Rozkªad Cauchy'ego C(α, λ), α ∈ R, λ > 0:
f (x) =
1
λ
,
π λ2 + (x − α)2
ϕ(t) = exp(iαt − λ|t|),
EX, Var X nie istniej¡.
• Rozkªad chi-kwadrat z n stopniami swobody χ2n , n ∈ N:
1
f (x) =
xn/2−1 exp(− x2 )1(0,∞) (x),
2n/2 Γ( n2 )
EX = n,
Jest to rozkªad zmiennej losowej Y =
o rozkªadzie normalnym N (0, 1).
Var X = 2n.
n
P
i=1
Zi2 , gdzie Z1 , . . . , Zn s¡ niezale»nymi zmiennymi losowymi
• Rozkªad gamma G(α, λ), α > 0, λ > 0:
f (x) =
1
xα−1 exp(− λx )1(0,∞) (x),
λα Γ(α)
Var X = αλ2 .
EX = αλ,
• Rozkªad jednostajny U (a, b), a, b ∈ R, a < b:
f (x) =
1
1
(x),
b − a (a,b)
ϕ(t) =
eitb − eita
,
it(b − a)
EX =
a+b
,
2
F (x) =
Var X =
x−a
, x ∈ (a, b),
b−a
(b − a)2
.
12
• Rozkªad Laplace'a La(µ, β), µ ∈ R, β > 0:
f (x) =
³ |x − µ| ´
1
exp −
,
2β
β
EX = µ,
Var X = 2β 2 .
• Rozkªad logarytmiczno-normalny LN (µ, σ 2 ), µ ∈ R, σ > 0:
f (x) =
³ (ln x − µ)2 ´
1
√ exp −
1(0,∞) (x),
2σ 2
σx 2π
EX = exp(µ + 21 σ 2 ),
2
Var X = exp(2µ + σ 2 )(eσ − 1).
• Rozkªad normalny standardowy N (0, 1):
1 2
1
f (x) = √ e− 2 x ,
2π
ϕ(t) = e
−t2 /2
EX = 0,
,
Var X = 1.
Zx
Φ(x) =
f (u) du,
−∞
• Rozkªad normalny N (a, σ 2 ), a ∈ R, σ 2 > 0:
µ
2
1 (x−a)
1
f (x) = √
e− 2 σ 2 ,
2π σ
ϕ(t) = eiat−t
EX = a,
2 σ 2 /2
F (x) = Φ
x−a
σ
¶
,
,
Var X = σ 2 .
• Rozkªad Pareto P a(x0 , α), x0 > 0, α > 0:
α ³ x0 ´α+1
f (x) =
1(x0 ,∞) (x),
x0 x
EX =
αx0
, α > 1,
α−1
Var X =
αx20
, α > 2.
(α − 1)2 (α − 2)
• Rozkªad pot¦gowy P o(λ, α), λ > 0, α > 0:
f (x) =
EX =
αxα−1
1(0,λ] (x),
λα
αλ
,
α+1
Var X =
αλ2
.
(α + 1)2 (α + 2)
• Rozkªad t Studenta T (n) z n stopniami swobody, n ∈ N:
¢ µ
¡
¶−(n+1)/2
Γ n+1
x2
2
1+
,
f (x) = ¡ n ¢ √
n
Γ 2
πn
EX = 0, n > 2,
Var X =
n
, n > 3.
n−2
√
Jest to rozkªad zmiennej losowej T = √ZY n, gdzie Z jest zmienn¡ losow¡ o rozkªadzie normalnym
N (0, 1), a Y jest zmienn¡ o rozkªadzie chi-kwadrat z n stopniami swobody χ2n .
• Rozkªad Weibulla W e(α, β), α > 0, β > 0:
¡
¢
f (x) = αβ −α xα−1 exp − (x/β)α 1(0,∞) (x),
³ ¡
¡
¢
¢
¡
¢´
EX = β Γ 1 + α1 , Var X = β 2 Γ 1 + α2 − Γ2 1 + α1 .
• Rozkªad wykªadniczy E(λ), λ > 0:
f (x) = λ e−λx 1(0,∞) (x),
ϕ(t) =
λ
,
λ − it
EX =
1
,
λ
Var X =
F (x) = (1 − e−λx )1(0,∞) (x),
1
.
λ2
• Rozkªad wykªadniczy E(a, σ), a ∈ R, σ > 0:
³ x − a´
1
1(a,∞) (x),
f (x) = exp −
σ
σ
EX = a + σ,
Oznaczenia:
f g¦sto±¢,
F dystrybuanta,
Φ dystrybuanta rozkªadu N (0, 1),
ϕ funkcja charakterystyczna,
EX warto±¢ oczekiwana,
Var X wariancja.
Var X = σ 2 .