Transporty z pomocą historycznie

Transkrypt

Transporty z pomocą historycznie
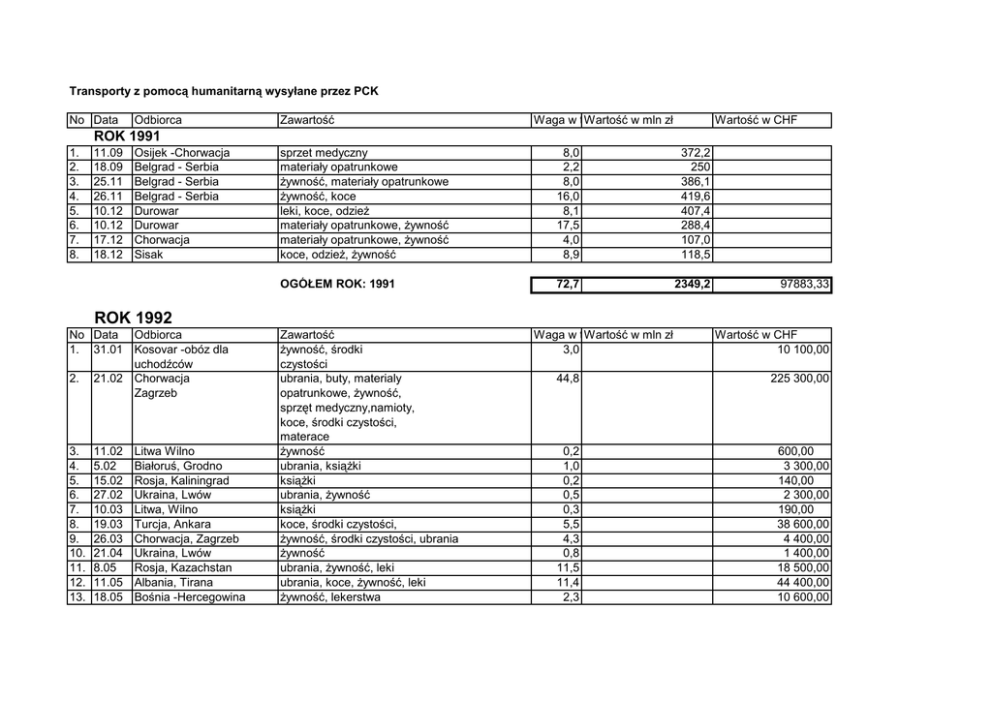
Transporty z pomocą humanitarną wysyłane przez PCK
No Data
Odbiorca
Zawartość
Waga w tWartość w mln zł
Wartość w CHF
ROK 1991
1.
2.
3.
4.
5.
6.
7.
8.
11.09
18.09
25.11
26.11
10.12
10.12
17.12
18.12
Osijek -Chorwacja
Belgrad - Serbia
Belgrad - Serbia
Belgrad - Serbia
Durowar
Durowar
Chorwacja
Sisak
sprzet medyczny
materiały opatrunkowe
Ŝywność, materiały opatrunkowe
Ŝywność, koce
leki, koce, odzieŜ
materiały opatrunkowe, Ŝywność
materiały opatrunkowe, Ŝywność
koce, odzieŜ, Ŝywność
8,0
2,2
8,0
16,0
8,1
17,5
4,0
8,9
372,2
250
386,1
419,6
407,4
288,4
107,0
118,5
OGÓŁEM ROK: 1991
72,7
2349,2
97883,33
ROK 1992
No Data Odbiorca
1. 31.01 Kosovar -obóz dla
uchodźców
2. 21.02 Chorwacja
Zagrzeb
3.
4.
5.
6.
7.
8.
9.
10.
11.
12.
13.
11.02
5.02
15.02
27.02
10.03
19.03
26.03
21.04
8.05
11.05
18.05
Litwa Wilno
Białoruś, Grodno
Rosja, Kaliningrad
Ukraina, Lwów
Litwa, Wilno
Turcja, Ankara
Chorwacja, Zagrzeb
Ukraina, Lwów
Rosja, Kazachstan
Albania, Tirana
Bośnia -Hercegowina
Zawartość
Ŝywność, środki
czystości
ubrania, buty, materialy
opatrunkowe, Ŝywność,
sprzęt medyczny,namioty,
koce, środki czystości,
materace
Ŝywność
ubrania, ksiąŜki
ksiąŜki
ubrania, Ŝywność
ksiąŜki
koce, środki czystości,
Ŝywność, środki czystości, ubrania
Ŝywność
ubrania, Ŝywność, leki
ubrania, koce, Ŝywność, leki
Ŝywność, lekerstwa
Waga w tWartość w mln zł
3,0
Wartość w CHF
10 100,00
44,8
225 300,00
0,2
1,0
0,2
0,5
0,3
5,5
4,3
0,8
11,5
11,4
2,3
600,00
3 300,00
140,00
2 300,00
190,00
38 600,00
4 400,00
1 400,00
18 500,00
44 400,00
10 600,00
14.
15.
16.
17.
18.
19.
20.
21.
22.
19.05
16.06
29.06
2.07
22.07
4.08
24.08
31.08
21.08
Tuzla
Bialoruś, Grodno
Litwa, Wilno
Chorwacja, Zagrzeb
Wyspa Broc
Chorwacja, Zagrzeb
Rumunia
Albania, Tirana
Białoruś, Grodno
Chorwacja, Zagrzeb
sprzęt medyczny
sprzęt medyczny, Ŝywność, zestawy TV
leki
Ŝywność
ubrania, Ŝywność
leki, Ŝywność
Ŝywność, leki, koce, ubrania
leki
Koce, ubrania, środki opatrunkowe,
materace, Ŝywność
23. 28.08 Albania, Tirana
leki
24. 26.06 Ukraina, Lwów
ubrania, Ŝywność
25. 12.10 Zadar, Mostar B-H
Ŝywność
26. 26.10 Albania, Tirana
leki
27. 28.10 Albania, Tirana
leki
28. 30.10 Albania, Tirana
leki
29. 18.11 Rosja, Kazachstan
ubrania, leki
30. 18.11 Chorwacja, Slavonski Brod Ŝywność
31. 25.11 Chorwacja, Zagrzeb
leki, Ŝywność, ubrania
32. 1.12
Chorwacja, Zadar
Ŝywność
33. 13.12 Chorwacja, Osijek
Ŝywność, koce, ubrania, leki
34. 30.12 MKCK
środki finansowe na glodujące dzieci w
Somalii
OGÓŁEM 1992
ROK 1993
No
1.
2.
3.
4.
5.
6.
7.
8.
Data
9.01
16.02
24.02
3.03
13.03
6.03
19.02
30.03
Odbiorca
Chorwacja
Chorwacja
Chorwacja
Rosja
Bośnia_Hercegowina
Chorwacja
Białoruś
Białoruś
0,5
4,5
12
20
3,7
3,4
10
2,5
25
1 600,00
46 200,00
185 700,00
11 800,00
8 700,00
214 400,00
91 000,00
43 800,00
104 200,00
12
0,5
12,4
11
12
12
23,8
64,4
5,4
4,8
57
153 400,00
400,00
18 200,00
438 400,00
137 700,00
124 000,00
84 600,00
42 100,00
180 300,00
8 900,00
180 300,00
900 000,00
382,7
74 403,12
3 100 130,00
13
Zawartość
koce, poduszki
Ŝywność, lekarstwa, mat. budowlane
Ŝywność, atykuły higieniczne
lekarstwa, materiały opatrunkowe
Ŝywność, art. higieniczne
sprzet medyczny, koce, odzieŜ, Ŝywność
leki
leki, odzieŜ, Ŝywność
Waga w tWartość w zł
Wartość w CHF
1,4
75400,00
5 800,00
54,5
775060,00
59 620,00
30,9
582530,00
44 810,00
13,0
5107700,00
392 900,00
5,2
105430,00
8 110,00
20,0
2096380,00
161 260,00
16
1 584 900,00
106 200,00
15,3
3 076 400,00
205 070,00
9.
10.
11.
12.
13.
14.
15.
16.
17.
18.
19.
20.
9.04
21.03
7.05
6.07
4.08
23.09
12.10
23.08
15.09
10.11
20.11
22.12
Białoruś
Jemen, Irak
Chorwacja
Jemen dla Iraku
Litwa
Białoruś
Federacja dla Indii
Ukraina
Bośnia -Hercegowina
Gruzja
Białoruś
Albania
leki, odzieŜ
leki
środki czystości, Ŝywność, odzieŜ
leki
leki
koce, leki
przelew
Ŝywność
Ŝywność - słodycze
koce, odzieŜ, transport
leki
koce
OGÓŁEM 1993
ROK 1994
No
1.
2.
3.
4.
5.
6.
7.
8.
Data
10.01
20.05
12.07
20.07
12.08
12.08
18.01
27.04
9.
10.
11.
12.
13.
14.
15.
16.
02.08
02.02
22.02
17.03
15.06
08.09
03.10
19.12
Odbiorca
Hunduras
AzerbejdŜan
AzerbejdŜan
Rwanda
Czarnogóra
Rwanda
Ukraina
Chorwacja dla uchodźców
z Bośni
Sarajewo
Białoruś, Pińsk
Ukraina, Lubieszów
Ukraina, Lubieszów
Białoruś, Pińsk
Białoruś, Pińsk
Mołdowa, Kiszyniów
Kazachstan, Karaganda
Zawartość
wpłata 1000 USD
koce
koce
wpłata 1000 USD
leki, ubrania, koce, Ŝywność
leki
Igły, strzykawki, olej spozywczy, ubrania
Ŝywność
Ŝywność, środki higieniczne
ubrania
ubrania
Ŝywność
ubrania
leki, sprzet medyczny, buty gumowe
leki, koce
leki
9,5
0,1
7,6
0,3
16
4,6
1
0,04
1
0,06
9
242 900,00
76 100,00
645 700,00
36 000,00
6 937 800,00
974 400,00
18200,00
23 900,00
4 700,00
14 800,00
673 000,00
780 000,00
205,5
23831300,00
16 330,00
5 070,00
42 970,00
2 300,00
462 520,00
64 960,00
1 400,00
1 590,00
310,00
970,00
44 860,00
52 000,00
1679050,00
16,485
Waga w tWartość w mln zł
Wartość w CHF
21 430,50
1 300,00
4
225 844,50
13 700,00
4
222 217,80
13 480,00
21 430,50
1 300,00
28,6
9 236 380,65
560 290,00
7,6
4 047 397,20
245 520,00
0,8
24 397,80
1 480,00
2,7
76 325,55
4 630,00
10,1
0,5
0,3
1,5
0,5
5,8
7,2
0,2
319 149,60
13 352,85
6 429,15
25 222,05
13 352,85
7 376 542,95
442 292,55
50 114,40
19 360,00
810,00
390,00
1 530,00
810,00
447 470,00
26 830,00
3 040,00
OGÓŁEM ROK 1994
OGÓŁEM LATA 1991 - 1995
73,8
734,7
22 121 880,90
46 029 933,22
1 341 940,00
6 219 003,33
ROK 1995
No
1.
2.
3.
4.
Data
16.02
21.03
28.03
19.04
5.
6.
7.
8.
9.
10.
11.
12.
13.
14.
15.
16.
17.
18.
19.
20.
21.
19.04
2.04
14.06
4.08
4.08
21.09
28.09
19.10
26.10
31.10
31.10
31.10
8.11
27.11
24.11
23.11
18.12
Odbiorca
Inguszetia dla Czeczenii
Ukraina, Kołomyja
BiałoruŜ, Brześć
Balkaria
Zawartość
leki
sprzet medyczny, odzieŜ, koce
leki
środki opatrunkowe,obuwie, odzieŜ
1330 kocy
MKCK Nalczik
12380 szt. Kocy
Litwa, Sołeczniki
leki, odzieŜ
Kazachstan, Ałma Ata
leki
MKCK Nalczik
koce - 5730 szt., namioty- 25 szt.
MKCK Zagrzeb
namioty - 25 szt., koce - 5200 szt.
MKCK Split - Chorwacja
koce 6000 szt
Korea Płnocna
wpłata na konto Federacji
Bialoruś,Grodno
sprzet medyczny, leki
Bialoruś, Mińsk
sprzet medyczny, materiały opatrunkowe
Bangladesz
wpłata na konto Federacji
Filipiny
wpłata na konto Federacji
KambodŜa
wpłata na konto Federacji
Bialoruś, Mińsk
sprzet medyczny, materiały opatrunkowe
Białoruś, Mińsk
materiały opatrunkowe, leki
Nowa Jugosławia, Belgrad mat. Opatrunkowe, leki, odieŜ, Ŝywność
Bialoruś, Grodno
odzieŜ
Białoruś, Mińsk
materiały opatrunkowe, leki
OGÓŁEM ROK 1995
Waga w tWartość w zł
Wartość w CHF
20
2 000,00
952,40
4,4
75 600,00
36 000,00
14,6
83 000,00
39 523,80
4,8
52 400,00
24 952,40
20,8
4,3
0,3
11
12
10
6
9,4
18,6
0,7
3
121 300,00
102 300,00
16 500,00
100 700,00
86 500,00
67 000,00
2 500,00
101 000,00
69 500,00
2 500,00
2 500,00
2 500,00
64 700,00
166 082,00
331 500,00
8 000,00
29 300,00
152,4
1 487 382,00
6
6,5
57 762,00
48 714,30
7 857,10
47 952,40
41 190,50
31 904,80
1 190,50
48 095,20
33 095,20
1 190,50
1 190,50
1 190,50
30 809,50
79 086,60
157 857,00
3 809,50
13 952,40
708277,1
ROK 1996
No Data Odbiorca
1. 24.01 Jugosławia, Belgrad
2. 26.03 Chorwacja
Zawartość
leki, koce
drzwi, materace, nosze, odzieŜ
Waga w tWartość w zł
4,1
81 800,00
8
29 000,00
Wartość w CHF
37 522,94
13 302,75
3.
4.
5.
6.
7.
8.
9.
11.04
11.04
10.10
22.10
13.11
17.12
14.12
Ukraina, Kijów
Irak via Jordania
Białoruś, Mińsk
Litwa, Wilno
Ukraina, Kijów
Bułgaria, Sofia
Litwa, Wilno
1.
2.
3.
4.
29.10
8.11
7.11
10.12
PRZEKAZY PIENIĘśNE
TadŜykistan
Afganistan
Chorwacja
Ruanda
sprzęt medyczny, odzieŜ, leki
leki
leki
leki
leki
Ŝywność
środki opatrunkowe, odzieŜ, Ŝywność, ksiąŜki
TRANSPORTY 1996 RAZEM
7
4,8
6,8
5
9
2,2
46,9
wpłata na konto Federacji
wpłata na konto Federacji
wpłata na konto Federacji
wpłata na konto Federacji
WPŁATY 1996 RAZEM
OGÓŁEM ROK 1996
46,9
146 500,00
12 500,00
196 300,00
245 523,00
203 260,00
30 300,00
9 500,00
954 683,00
67 201,83
5 733,94
90 045,87
112 625,23
93 238,53
13 899,08
4 357,80
437 927,98
2 800,00
2 800,00
2 800,00
11 500,00
19 900,00
1 284,40
1 284,40
1 284,40
5 275,23
9 128,44
974 583,00
447056,42
ROK 1997
No
1.
2.
3.
4.
5.
6.
7.
8.
Data
6.01
28.01
4.02
13.03
17.04
25.05
3.06
29.12
Odbiorca
Ukraina Łuck
Bułgaria, Sofia
Litwa, Soleczniki
Iran, Teheran
Ukraina, Kołomyja
Iran, Mashhad
Irak
Albania, Tirana
Zawartość
tkanina
ziemniaki
leki, szklo laboratoryjne
koce
art. higieniczne, leki, Ŝywność, odzieŜ
namioty, koce
zestawy do transfuzji
koce, paczki Ŝywnościowe
TRANSPORTY 1997 OGÓŁEM
Waga w tWartość w zł
1,5
44 200,00
18
12 200,00
0,55
10 300,00
9
202 200,00
3,4
36 600,00
8,5
368 300,00
0,01
600,00
7,4
171 000,00
48,36
845 400,00
Wartość w CHF
19 644,44
5 422,22
4 577,78
89 866,67
16 266,67
163 688,89
266,67
76 000,00
366 577,78
PRZEKAZY PIENIĘśNE
1.
2.
3.
4.
6.01
Ruanda
Ruanda
16.05 Korea Płn.
4.07
Ukraina
wpłata via Federacja
wpłata via Federacja
wpłata via Federacja
wpłata
5 700,00
1 200,00
3 200,00
3 300,00
2 533,33
533,33
1 422,22
1 466,67
5.
6.
4.07
Białoruś
16.11 Korea Płn.
wpłata
wpłata via Federacja
WPŁATY 1997 OGÓŁEM
OGÓŁEM ROK 1997
48,36
3 300,00
7 000,00
1 466,67
3 111,11
23 700,00
10 533,33
869 100,00
377 111,11
ROK 1998
No
1.
2.
3.
4.
5.
Data
9.07
15.11
24.11
7.12
25.12
Odbiorca
Rumunia
Ukraina
Kosowo
Ukraina
Ukraina
Zawartość
koce - 4380 szt.
koce, odzieŜ
koce - 4440 szt.
Ŝywność, odzieŜ,art. higieniczne
odzieŜ, śr. czystości, zywność
OGÓŁEM TRANSPORTY ROK 1998
Waga w tWartość w zł
Wartość w CHF
5,7
131 740,00
53 336,03
5,6
110 120,00
44 583,00
6,22
155 400,00
62 914,98
5,6
47 000,00
19 028,34
9,67
39 230,00
15 882,59
32,79
483 490,00
195 744,94
PRZEKAZY PIENIĘśNE
1.
2.
3.
4.
5.
6.
7.
8.
9.
27.01
4.02
12.02
3.06
9.07
20.07
21.07
27.08
27.08
Wietnam
Indonezja
Afganistan
Afganistan
Turcja
Kazachstan
Papua Nowa Gwinea
Chiny
Kosowo
wpłata via Federacja
wpłata via Federacja
wpłata via MKCK
wpłata via MKCK
wpłata via Federacja
wpłata via Federacja
wpłata via Federacja
wpłata via Federacja
wpłata via Federacja
OGÓŁEM PRZEKAZY W 1998
OGÓŁEM 1998 ROK
ROK 1999
Wartość w PLN
w CHF
7 000,00
3 500,00
7 000,00
7 000,00
3 500,00
3 500,00
3 500,00
7 000,00
3 500,00
45 500,00
528 990,00
2 834,01
1 417,00
2 834,01
2 834,01
1 417,00
1 417,00
1 417,00
2 834,01
1 417,00
18 421,05
214 165,99
No Data
1.
2.
3.
4.
5.
6.
Odbiorca
Obóz dla Uchodźców z
19.04 Kosowa w Durres
Obóz dla uchodźców z
Kosowa w Korce
1.06
13.07
21.08
25.08
17.11
Jugosławia dla
poszkodowanych w wyniku
konfliktu - odbiorce
Jugosłowiański CK
Turcja
Turcja
Turcja
Zawartość
koce, śpiwory, środki czystości i higieniczne,
odzieŜ, namioty, Ŝywność,
1 080 346
415517,69
materace, odzieŜ, środki czystości i higieniczne
37,4
580 565
223294,23
Ŝywność, środki czystości i higieniczne
koce,śpiwory, namioty
koce, namioty
840 koców,70 namiotów, 300 śpiworów
56,6
14,4
16,9
2,2
301 354
244 640,00
366 769,00
58 200,00
115905,38
94092,31
141065,00
22384,62
209,7
2 631 874,00
1012259,23
7 400,00
7 400,00
14 800,00
2846,15
2846,15
5692,31
2 646 674,00
1017951,54
PRZEKAZY PIENIĘśNE
19.06 Bałkany
20.08 Turcja
OGÓŁEM PRZEKAZY PIENIĘśNE W 1999
OGÓŁEM 1999 ROK
OGÓŁEM:
Wartość w CHF
82,2
OGÓŁEM TRANSPORTY ROK 1999
1.
2.
Waga w tWartość w zł
LATA 1995 - 1999
247,7
6 506 729,00
LATA 1991 - 1994
LATA 1995 - 1999
734,7
62,8
460 029 933,22
434 274,00
2 764 562,16
OGÓŁEM:
6 219 003,33
161 644,55