ZGK Świebodzice Sp. z o.o.

Transkrypt

ZGK Świebodzice Sp. z o.o.
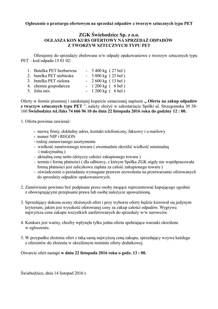
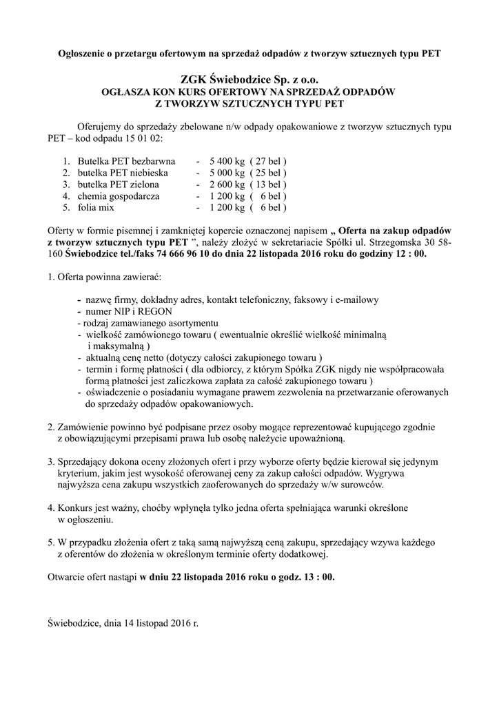
Ogłoszenie o przetargu ofertowym na sprzedaż odpadów z tworzyw sztucznych typu PET
ZGK Świebodzice Sp. z o.o.
OGŁASZA KON KURS OFERTOWY NA SPRZEDAŻ ODPADÓW
Z TWORZYW SZTUCZNYCH TYPU PET
Oferujemy do sprzedaży zbelowane n/w odpady opakowaniowe z tworzyw sztucznych typu
PET – kod odpadu 15 01 02:
1.
2.
3.
4.
5.
Butelka PET bezbarwna
butelka PET niebieska
butelka PET zielona
chemia gospodarcza
folia mix
-
5 400 kg
5 000 kg
2 600 kg
1 200 kg
1 200 kg
( 27 bel )
( 25 bel )
( 13 bel )
( 6 bel )
( 6 bel )
Oferty w formie pisemnej i zamkniętej kopercie oznaczonej napisem „ Oferta na zakup odpadów
z tworzyw sztucznych typu PET ”, należy złożyć w sekretariacie Spółki ul. Strzegomska 30 58160 Świebodzice tel./faks 74 666 96 10 do dnia 22 listopada 2016 roku do godziny 12 : 00.
1. Oferta powinna zawierać:
- nazwę firmy, dokładny adres, kontakt telefoniczny, faksowy i e-mailowy
- numer NIP i REGON
- rodzaj zamawianego asortymentu
- wielkość zamówionego towaru ( ewentualnie określić wielkość minimalną
i maksymalną )
- aktualną cenę netto (dotyczy całości zakupionego towaru )
- termin i formę płatności ( dla odbiorcy, z którym Spółka ZGK nigdy nie współpracowała
formą płatności jest zaliczkowa zapłata za całość zakupionego towaru )
- oświadczenie o posiadaniu wymagane prawem zezwolenia na przetwarzanie oferowanych
do sprzedaży odpadów opakowaniowych.
2. Zamówienie powinno być podpisane przez osoby mogące reprezentować kupującego zgodnie
z obowiązującymi przepisami prawa lub osobę należycie upoważnioną.
3. Sprzedający dokona oceny złożonych ofert i przy wyborze oferty będzie kierował się jedynym
kryterium, jakim jest wysokość oferowanej ceny za zakup całości odpadów. Wygrywa
najwyższa cena zakupu wszystkich zaoferowanych do sprzedaży w/w surowców.
4. Konkurs jest ważny, choćby wpłynęła tylko jedna oferta spełniająca warunki określone
w ogłoszeniu.
5. W przypadku złożenia ofert z taką samą najwyższą ceną zakupu, sprzedający wzywa każdego
z oferentów do złożenia w określonym terminie oferty dodatkowej.
Otwarcie ofert nastąpi w dniu 22 listopada 2016 roku o godz. 13 : 00.
Świebodzice, dnia 14 listopad 2016 r.