Opis produktu

Transkrypt

Opis produktu
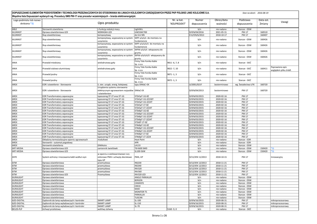
DOPUSZCZANIE ELEMENTÓW PODSYSTEMÓW I TECHNOLOGII PRZEZNACZONYCH DO STOSOWANIA NA LINIACH KOLEJOWYCH ZARZĄDZANYCH PRZEZ PKP POLSKIE LINIE KOLEJOWE S.A.
Wspólna lista Dopuszczeń wydanych wg. Procedury SMS PW-17 oraz procedur wcześniejszych – branża elektroenergetyki.
Logo podmiotu lub nazwa
skrócona *3)
Nr. w kat.
'KOLPROJEKT'
Okres/data
ważności
Podstawa
dopuszczenia
Data ost.
Zmiany
nie nadano
2021-05-31
2018-10-17
Starsze - OSW
PW-17
PW-17
160510
160407
b/n
nie nadano
Starsze - OSW
160426
b/n
nie nadano
Starsze - OSW
160426
b/n
nie nadano
Starsze - OSW
160426
b/n
nie nadano
Starsze - OSW
160426
9811 -6, 7, 8
b/n
nie nadano
Starsze - SIEĆ
9822 -7, 10
b/n
nie nadano
Starsze - SIEĆ
9871 -1, 3
b/n
nie nadano
Starsze - SIEĆ
9872 -1, 3
b/n
nie nadano
Starsze - SIEĆ
U/2001/0237
bezterminowo
wg. Świadectwa UTK
160720
DIMaC-EK
D/IEN/04/2013
bezterminowo
PW-17
160720
ST2k5pT-1G-0Z
ST2k5pT-1G-2Z230T
ST2k5pT-1G-2Z24T
ST2k5pT-1T-0Z
ST2k5pT-1T-2Z24T
ST3k8pT-1G-0Z
ST3k8pT-1G-2Z230T
ST3k8pT-1G-2Z24T
ST3k8pT-1T-2Z24T
ST3k8T-1T-0Z
ST4k8pT-1G-0Z
ST4k8pT-1G-2Z230T
ST4k8pT-1G-2Z24T
ST4k8pT-1T-0Z
ST4k8pT-1T-2Z24
Heat Point
APR
LA133
T8 K600 SMD
SL100-56W
D/IEN/03/2015
D/IEN/03/2015
D/IEN/03/2015
D/IEN/03/2015
D/IEN/03/2015
D/IEN/03/2015
D/IEN/03/2015
D/IEN/03/2015
D/IEN/03/2015
D/IEN/03/2015
D/IEN/03/2015
D/IEN/03/2015
D/IEN/03/2015
D/IEN/03/2015
D/IEN/03/2015
b/n
b/n
b/n
b/n
b/n
2020-02-16
2020-02-16
2020-02-16
2020-02-16
2020-02-16
2020-02-16
2020-02-16
2020-02-16
2020-02-16
2020-02-16
2020-02-16
2020-02-16
2020-02-16
2020-02-16
2020-02-16
nie nadano
nie nadano
nie nadano
nie nadano
nie nadano
PW-17
PW-17
PW-17
PW-17
PW-17
PW-17
PW-17
PW-17
PW-17
PW-17
PW-17
PW-17
PW-17
PW-17
PW-17
Starsze - EOR
Starsze - EOR
Starsze - OSW
Starsze - OSW
Starsze - OSW
150420
150420
PMA, UP
D/11/IEN 11/2013
2018-10-15
PW-17
INS230
INS340
INV320
INV360
INV320 LED
ANGLE PARKALUX
BERGEN
CAMASYS
CIRCO
MAXI
MONITOR T5
PARKALUX
TUSCAN
SL-100
SL-150
SL-70
D/12/IEN 12/2013
D/12/IEN 12/2013
D/12/IEN 12/2013
D/12/IEN 12/2013
D/12/IEN 12/2013
b/n
b/n
b/n
b/n
b/n
b/n
b/n
b/n
D/IEN/16/2015
D/IEN/16/2015
D/IEN/16/2015
b/n
2018-11-21
2018-11-21
2018-11-21
2018-11-21
2018-11-21
nie nadano
nie nadano
nie nadano
nie nadano
nie nadano
nie nadano
nie nadano
nie nadano
2020-08-31
2020-08-31
2020-08-31
nie nadano
PW-17
PW-17
PW-17
PW-17
PW-17
Starsze - OSW
Starsze - OSW
Starsze - OSW
Starsze - OSW
Starsze - OSW
Starsze - OSW
Starsze - OSW
Starsze - OSW
PW-17
PW-17
PW-17
Starsze - SIEĆ
Opis produktu
ABLE
ALUMAST
ALUMAST
Sterownik oświetlenia
Oprawa oświetleniowa LED
Słup oświetleniowy
z funkcją redukcji mocy
NEBRASKA LED
kompozytowy
kompozytowy, wyposażony w system
uszynienia
kompozytowy, wyposażony w system
uszynienia
kompozytowy, wyposażony w system
uszynienia
kompozytowy, wyposażony w system
uszynienia
ALUMAST
Słup oświetleniowy
ALUMAST
Słup oświetleniowy
ALUMAST
Słup oświetleniowy
ALUMAST
Słup oświetleniowy
ANIA
Przewód miedziany
wielodrutowy goły
ANIA
Przewód stalowo-aluminiowy
wielodrutowy goły
ANIA
Przewód jezdny
ANIA
Przewód jezdny
AREX
EOR i oświetlenie - Sterowanie
AREX
EOR i oświetlenie - Sterowanie
AREX
AREX
AREX
AREX
AREX
AREX
AREX
AREX
AREX
AREX
AREX
AREX
AREX
AREX
AREX
AREX
AREX
AREX
ART-MEDIA
ART-MEDIA
EOR Transformatory separacyjne
EOR Transformatory separacyjne
EOR Transformatory separacyjne
EOR Transformatory separacyjne
EOR Transformatory separacyjne
EOR Transformatory separacyjne
EOR Transformatory separacyjne
EOR Transformatory separacyjne
EOR Transformatory separacyjne
EOR Transformatory separacyjne
EOR Transformatory separacyjne
EOR Transformatory separacyjne
EOR Transformatory separacyjne
EOR Transformatory separacyjne
EOR Transformatory separacyjne
Okładziny termoizolacyjne opornic ogrzewanych
Sterownik – automat pogodowy
Sterownik oświetlenia
Oprawa oświetleniowa LED
Oprawa oświetleniowa LED
ASTE
System ochrony i mocowania kabli wzdłuż szyn
ATM
ATM
ATM
ATM
ATM
AURALIGHT
AURALIGHT
AURALIGHT
AURALIGHT
AURALIGHT
AURALIGHT
AURALIGHT
AURALIGHT
AZO-DIGITAL
AZO-DIGITAL
AZO-DIGITAL
BELOS-PLP
Oprawa oświetleniowa
Oprawa oświetleniowa
Oprawa oświetleniowa
Oprawa oświetleniowa
Oprawa oświetleniowa LED
Oprawa oświetleniowa
Oprawa oświetleniowa
Oprawa oświetleniowa
Oprawa oświetleniowa
Oprawa oświetleniowa
Oprawa oświetleniowa
Oprawa oświetleniowa
Oprawa oświetleniowa
Zapłonnik do lamp wyładowczych i kontroler
Zapłonnik do lamp wyładowczych i kontroler
Zapłonnik do lamp wyładowczych i kontroler
Uchwyt przelotowy
S. ster. urządz. energ. kolejowej
Urządzenia systemu sterowania
elektrycznym ogrzewaniem rozjazdów
i oświetleniem
typoszereg ST-1T oraz ST-1G
typoszereg ST-1T oraz ST-1G
typoszereg ST-1T oraz ST-1G
typoszereg ST-1T oraz ST-1G
typoszereg ST-1T oraz ST-1G
typoszereg ST-1T oraz ST-1G
typoszereg ST-1T oraz ST-1G
typoszereg ST-1T oraz ST-1G
typoszereg ST-1T oraz ST-1G
typoszereg ST-1T oraz ST-1G
typoszereg ST-1T oraz ST-1G
typoszereg ST-1T oraz ST-1G
typoszereg ST-1T oraz ST-1G
typoszereg ST-1T oraz ST-1G
typoszereg ST-1T oraz ST-1G
modułowe
DIMAstro
zamiennik świetlówki
w oparciu o wielowarstwowe rury
osłonowe PMA i uchwyty dociskowe
typu UP
przemysłowa
przemysłowa
przemysłowa
przemysłowa
Przemysłowa
SMART-LAMP
SMART-LAMP
SMART-LAMP
wahliwy żeliwny
LightWiz
ILNES36C700
do linii NN
SKPF x/x/x/x do montażu na
fundamencie
SKPF x/x/x/x/U do montażu na
fundamencie
SKPW x/x/x/x wkopywany do
gruntu
SKPW x/x/x/x/U wkopywany do
gruntu
Firmy Tele-Fonika Kable
Sp. z o.o.
Firmy Tele-Fonika Kable
Sp. z o.o.
Firmy Tele-Fonika Kable
Sp. z o.o.
Firmy Tele-Fonika Kable
Sp. z o.o.
typu DIMaC–EK
b/n
D/IEN/04/2016
D 6/IEN/6/2013
5160 -9, 0
Strona 1 z 26
Numer
dopuszczenia
Stan na dzień: 2016-08-19
160411
Uwagi
Poprawiono opis
względem pliku źródł.
*3)
*3)
Innowacyjny
mikroprocesorowy
mikroprocesorowy
mikroprocesorowy
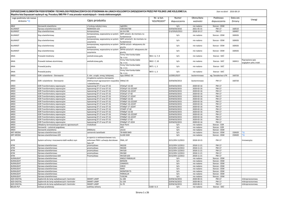
DOPUSZCZANIE ELEMENTÓW PODSYSTEMÓW I TECHNOLOGII PRZEZNACZONYCH DO STOSOWANIA NA LINIACH KOLEJOWYCH ZARZĄDZANYCH PRZEZ PKP POLSKIE LINIE KOLEJOWE S.A.
Wspólna lista Dopuszczeń wydanych wg. Procedury SMS PW-17 oraz procedur wcześniejszych – branża elektroenergetyki.
Logo podmiotu lub nazwa
skrócona *3)
BS-SYSTEM
BS-SYSTEM
BS-SYSTEM
BS-SYSTEM
BS-SYSTEM
BUSH_PL
słupa trakcyjnego
słupa trakcyjnego
słupa trakcyjnego
odciągu prętowego
odciągu prętowego
poliwęglanowa
DALEKOVOD_PL
DALEKOVOD_PL
DALEKOVOD_PL
DALEKOVOD_PL
DALEKOVOD_PL
DALEKOVOD_PL
DALEKOVOD_PL
DALEKOVOD_PL
DALEKOVOD_PL
DALEKOVOD_PL
DALEKOVOD_PL
DALEKOVOD_PL
DALEKOVOD_PL
DALEKOVOD_PL
DALEKOVOD_PL
DALEKOVOD_PL
DALEKOVOD_PL
DALEKOVOD_PL
DALEKOVOD_PL
DALEKOVOD_PL
DALEKOVOD_PL
DALEKOVOD_PL
DALEKOVOD_PL
DALEKOVOD_PL
DALEKOVOD_PL
Fundament palowy
Fundament palowy
Fundament palowy
Fundament palowy
Fundament palowy
Szafa złączowo-rozdzielcza
Technologia zabezpieczenia antykorozyjnego
konstrukcji wsporczych sieci trakcyjnej
Kotwienia ciężarowe sieci
Uchwyt przegubowy
Uchwyt przegubowy wysięgnikowy
Wyrównywacz przewodów jezdnych
Śruba rzymska
Uchwyt rolek linowych
Przegubowy uchwyt
Cięgła linowe urządzenia naprężającego
Zabezpieczenie urządzenia naprężającego
Uchwyt słupowy izolatora
Łącznik podwójny
Uchwyt krańcowy
Ukośnik rurowy
Odciąg ukośnika
Odciąg ukośnika
Ramię odciągowe
Ramię odciągowe
Ramię odciągowe
Ramię odciągowe
Ramię odciągowe
Ramię odciągowe
Ramię odciągowe
Ramię odciągowe
Ramię odciągowe
Łącznik izolatora z uchwytem podwieszeniowym
DALEKOVOD_PL
CEBAPO
Nr. w kat.
'KOLPROJEKT'
Opis produktu
typu BI
typu BIII
typu BII
typu BI-A
typu BIII-A
1491
1492
1493
1495
1495
natryskiwanie cieplne
z izolacją rolki
do przewodu jezdnego
do przewodu jezdnego
szeregowe
Numer
dopuszczenia
Stan na dzień: 2016-08-19
Okres/data
ważności
Podstawa
dopuszczenia
D/IEN/05/2014
D/IEN/05/2014
D/IEN/05/2014
D/IEN/05/2014
D/IEN/05/2014
b/n
2019-05-14
2019-05-14
2019-05-14
2019-05-14
2019-05-14
nie nadano
PW-17
PW-17
PW-17
PW-17
PW-17
Starsze - EOR
D/IEN/03/2014
bezterminowo
PW-17
Data ost.
Zmiany
również dla sp. HTI-BP
również dla sp. HTI-BP
również dla sp. HTI-BP
również dla sp. HTI-BP
również dla sp. HTI-BP
rurowego nieprzechylnego
rurowego przechylnego
lekkie
proste
łukowe
proste
łukowe
specjalne rozjazdowe
specjalne łukowe
specjalne łukowe
z otworem owalnym
liny
0421
4110
4120
4410 -1
4420 -1
4440
4450 -1
4490
4600 -1, 2
4630
4720
5120 -5, 7, 8
6001
6002
6007
6201
6202
6203
6204
6205
6206
6207
6209
6212
6720 -1
b/n
b/n
b/n
b/n
b/n
b/n
b/n
b/n
b/n
b/n
b/n
b/n
b/n
b/n
b/n
b/n
b/n
b/n
b/n
b/n
b/n
b/n
b/n
b/n
b/n
nie nadano
nie nadano
nie nadano
nie nadano
nie nadano
nie nadano
nie nadano
nie nadano
nie nadano
nie nadano
nie nadano
nie nadano
nie nadano
nie nadano
nie nadano
nie nadano
nie nadano
nie nadano
nie nadano
nie nadano
nie nadano
nie nadano
nie nadano
nie nadano
nie nadano
Starsze - SIEĆ
Starsze - SIEĆ
Starsze - SIEĆ
Starsze - SIEĆ
Starsze - SIEĆ
Starsze - SIEĆ
Starsze - SIEĆ
Starsze - SIEĆ
Starsze - SIEĆ
Starsze - SIEĆ
Starsze - SIEĆ
Starsze - SIEĆ
Starsze - SIEĆ
Starsze - SIEĆ
Starsze - SIEĆ
Starsze - SIEĆ
Starsze - SIEĆ
Starsze - SIEĆ
Starsze - SIEĆ
Starsze - SIEĆ
Starsze - SIEĆ
Starsze - SIEĆ
Starsze - SIEĆ
Starsze - SIEĆ
Starsze - SIEĆ
Izolator trakcyjny
ukośnika wysięgnika teownikowego
7010 -2
b/n
nie nadano
Starsze - SIEĆ
DALEKOVOD_PL
DALEKOVOD_PL
DALEKOVOD_PL
DALEKOVOD_PL
Izolator trakcyjny
Izolator trakcyjny
Izolator trakcyjny
Izolator trakcyjny
odciągu wysięgnika
podwieszeniowy
ukośnika wysięgnika rurowego
cięgnowy z żywic organicznych
7020
7040
7100
7150 -1
b/n
b/n
b/n
b/n
nie nadano
nie nadano
nie nadano
nie nadano
Starsze - SIEĆ
Starsze - SIEĆ
Starsze - SIEĆ
Starsze - SIEĆ
DELTA-ZIENC
EOR i oświetlenie - Sterowanie
do Zasilania i Sterowania Urz. EOR i
Oświetlenia Terenów Kolejowych
b/n
nie nadano
Starsze - EOR
160720
DELTA-ZIENC
Odłącznikowy napęd silnikowy
b/n
nie nadano
Starsze - SIEĆ
160314
DRUT-PLAST
DRUT-PLAST
DRUT-PLAST
DRY-TECHNOLOGIS_LAFOGE
DRY-TECHNOLOGIS_LAFOGE
DRY-TECHNOLOGIS_LAFOGE
DRY-TECHNOLOGIS_LAFOGE
DRY-TECHNOLOGIS_LAFOGE
Przewód miedziany
Przewód stalowo-aluminiowy
Przewód stalowo-aluminiowy
Oprawa oświetleniowa
Oprawa oświetleniowa
Oprawa oświetleniowa
Oprawa oświetleniowa LED
Oprawa oświetleniowa LED
do odłączników i rozłączników sieci
trakcyjnej
wielodrutowy goły
wielodrutowy goły
wielodrutowy goły
przytorowa
przytorowa
przytorowa
przytorowa/uliczna
przytorowa/uliczna/naświetlacz
nie nadano
nie nadano
nie nadano
2020-05-31
2020-05-31
2020-05-31
2020-05-31
2020-05-31
Starsze - SIEĆ
Starsze - SIEĆ
Starsze - SIEĆ
PW-17
PW-17
PW-17
PW-17
PW-17
150701
150701
150701
150701
160420
ELBUD-IMPEX
Izolator trakcyjny
ukośnika wysięgnika teownikowego
Firmy ZAPEL S.A.
7010 -1, 2
b/n
nie nadano
Starsze - SIEĆ
ELBUD-IMPEX
ELBUD-IMPEX
ELBUD-IMPEX
ELBUD-IMPEX
ELBUD-IMPEX
Izolator trakcyjny
Izolator trakcyjny
Izolator trakcyjny
Izolator trakcyjny
Izolator trakcyjny
odciągu wysięgnika
podwieszeniowy
podwieszeniowy
ukośnika wysięgnika rurowego
liniowy
7020 -1
7030 -1
7040 -1
7100 -1
7200
b/n
b/n
b/n
b/n
b/n
nie nadano
nie nadano
nie nadano
nie nadano
nie nadano
Starsze - SIEĆ
Starsze - SIEĆ
Starsze - SIEĆ
Starsze - SIEĆ
Starsze - SIEĆ
ELBUD-IMPEX
Przewód miedziany
wielodrutowy goły
9810
b/n
nie nadano
Starsze - SIEĆ
ELBUD-IMPEX
Przewód miedziany
wielodrutowy goły
Firmy ZAPEL S.A.
Firmy ZAPEL S.A.
Firmy ZAPEL S.A.
Firmy ZAPEL S.A.
Firmy ZAPEL S.A.
Firmy Fabryka Przewodów
Energetycznych S.A.
Firmy Fabryka Przewodów
Energetycznych S.A.
9811 -1÷8
b/n
nie nadano
Starsze - SIEĆ
rolki linowej
jednostronny
100 i 170
stożkowy do lin nośnych
DELTA
ONS/WST
7480
9822
LUNA MAX
SOLE M
VENTO MAX
EKOROAD
EKOHALL
Strona 2 z 26
b/n
b/n
b/n
D/IEN/13/2015
D/IEN/12/2015
D/IEN/14/2015
D/IEN/10/2015
D/IEN/11/2015
Uwagi
Poza decyzją PKP PLK
DOPUSZCZANIE ELEMENTÓW PODSYSTEMÓW I TECHNOLOGII PRZEZNACZONYCH DO STOSOWANIA NA LINIACH KOLEJOWYCH ZARZĄDZANYCH PRZEZ PKP POLSKIE LINIE KOLEJOWE S.A.
Wspólna lista Dopuszczeń wydanych wg. Procedury SMS PW-17 oraz procedur wcześniejszych – branża elektroenergetyki.
Logo podmiotu lub nazwa
skrócona *3)
Nr. w kat.
'KOLPROJEKT'
Opis produktu
ELBUD-IMPEX
Przewód miedziany
wielodrutowy goły
ELBUD-IMPEX
Przewód miedziany
wielodrutowy goły
ELBUD-IMPEX
Przewód aluminiowy
wielodrutowy goły
ELBUD-IMPEX
Przewód stalowo-aluminiowy
wielodrutowy goły
ELBUD-IMPEX
Przewód stalowy
wielodrutowy goły
ELBUD-IMPEX
Przewód jezdny
ELBUD-IMPEX
Przewód jezdny
ELBUD-IMPEX
Przewód jezdny
ELBUD-IMPEX
Przewód jezdny
ELBUD-PPE
ELBUD-PPE
ELBUD-PPE
ELBUD-PPE
Fundament odciągu prefabrykowany
Fundament betonowy prefabrykowany
Fundament betonowy prefabrykowany
Fundament betonowy prefabrykowany
ELEKTROPORCELAN
Izolator trakcyjny
ELEKTROPORCELAN
ELEKTROPORCELAN
ELEKTROPORCELAN
ELEKTROPORCELAN
ELEKTROPORCELAN
ELESTER-PKP
ELESTER-PKP
ELESTER-PKP
ELESTER-PKP
ELESTER-PKP
ELESTER-PKP
ELGO
ELGO
ELMO
ELMO
ELMO
ELMO
ELMO
ELMO
ELMO
ELMO
ELMO
ELMO
ELPAR
ELPAR
ELPAR
ELPAR
ELPAR
ELPAR
ELPAR
ELPAR
ELTOM
ELTRIM
ELTRIM
ELTRIM
ELTRIM
ELTRIM
ELTRIM
ELTRIM
Izolator trakcyjny
Izolator trakcyjny
Izolator trakcyjny
Izolator trakcyjny
Izolator trakcyjny
EOR - Sterowanie
EOR - Sterowanie
EOR Czujnik pogodowy
EOR Czujnik pogodowy
EOR i oświetlenie - Sterowanie
EOR Skrzynia transformatorowa
Oprawa oświetleniowa
Oprawa oświetleniowa
Słup trakcyjny
Słup trakcyjny
Słup trakcyjny
Słup trakcyjny
Słup trakcyjny
Słup trakcyjny
Słup trakcyjny
Słup trakcyjny
Słup trakcyjny
Słup trakcyjny
Przewód miedziany
Przewód miedziany
Przewód miedziany
Przewód miedziany
Przewód jezdny
Przewód jezdny
Przewód jezdny
Przewód jezdny
Rozłącznik trakcyjny
Przewód miedziany
Przewód miedziany
Przewód miedziany
Przewód miedziany
Przewód miedziany
Przewód stalowo-aluminiowy
Przewód stalowo-aluminiowy
Firmy Fabryka Przewodów
Energetycznych S.A.
Firmy Fabryka Przewodów
Energetycznych S.A.
Firmy Fabryka Przewodów
Energetycznych S.A.
Firmy Fabryka Przewodów
Energetycznych S.A.
Firmy Fabryka Przewodów
Energetycznych S.A.
Firmy Fabryka Przewodów
Energetycznych S.A.
Firmy Fabryka Przewodów
Energetycznych S.A.
Firmy Fabryka Przewodów
Energetycznych S.A.
Firmy Fabryka Przewodów
Energetycznych S.A.
odmiana „P"
odmiana „K"
odmiana „P"
ukośnika wysięgnika
teownikowego
odciągu wysięgnika
podwieszeniowy
podwieszeniowy
ukośnika wysięgnika rurowego
liniowy
pulpit nadrzędny
szafa eor
S. ster. eor, ośw. i obw. nn.
z kratą trójkątną
z kratą trójkątną
z kratą trójkątną
z kratą trójkątną
z kratą trójkątną
z kratą trójkątną
z kratą trójkątną
z kratą trójkątną
z kratą trójkątną
z kratą trójkątną
wielodrutowy goły
wielodrutowy goły
wielodrutowy goły
wielodrutowy goły
Firmy EKS Isodraht GmbH
Firmy EKS Isodraht GmbH
napowietrzny
wielodrutowy goły
wielodrutowy goły
wielodrutowy goły
wielodrutowy goły
wielodrutowy goły
wielodrutowy goły
wielodrutowy goły
Numer
dopuszczenia
Okres/data
ważności
Podstawa
dopuszczenia
9812 -6, 9
b/n
nie nadano
Starsze - SIEĆ
9815 -9
b/n
nie nadano
Starsze - SIEĆ
9821
b/n
nie nadano
Starsze - SIEĆ
9822
b/n
nie nadano
Starsze - SIEĆ
9831
b/n
nie nadano
Starsze - SIEĆ
9871 -1, 3
b/n
nie nadano
Starsze - SIEĆ
9871 -1, 3
b/n
nie nadano
Starsze - SIEĆ
9872 -1, 3
b/n
nie nadano
Starsze - SIEĆ
9872 -1
b/n
nie nadano
Starsze - SIEĆ
1411 -1
1422 -1÷4
1451 -1
1462 -1
b/n
b/n
b/n
b/n
nie nadano
nie nadano
nie nadano
nie nadano
Starsze - SIEĆ
Starsze - SIEĆ
Starsze - SIEĆ
Starsze - SIEĆ
7010 -1, 2
b/n
nie nadano
Starsze - SIEĆ
nie nadano
nie nadano
nie nadano
nie nadano
nie nadano
2018-08-19
2018-08-19
2018-08-19
2018-08-19
bezterminowo
2018-08-19
nie nadano
nie nadano
nie nadano
nie nadano
nie nadano
nie nadano
nie nadano
nie nadano
nie nadano
nie nadano
nie nadano
nie nadano
nie nadano
nie nadano
nie nadano
nie nadano
nie nadano
nie nadano
nie nadano
nie nadano
2020-11-30
nie nadano
nie nadano
nie nadano
nie nadano
nie nadano
nie nadano
nie nadano
Starsze - SIEĆ
Starsze - SIEĆ
Starsze - SIEĆ
Starsze - SIEĆ
Starsze - SIEĆ
PW-17
PW-17
PW-17
PW-17
wg. Świadectwa UTK
PW-17
Starsze - OSW
Starsze - OSW
Starsze - SIEĆ
Starsze - SIEĆ
Starsze - SIEĆ
Starsze - SIEĆ
Starsze - SIEĆ
Starsze - SIEĆ
Starsze - SIEĆ
Starsze - SIEĆ
Starsze - SIEĆ
Starsze - SIEĆ
Starsze - SIEĆ
Starsze - SIEĆ
Starsze - SIEĆ
Starsze - SIEĆ
Starsze - SIEĆ
Starsze - SIEĆ
Starsze - SIEĆ
Starsze - SIEĆ
PW-17
Starsze - SIEĆ
Starsze - SIEĆ
Starsze - SIEĆ
Starsze - SIEĆ
Starsze - SIEĆ
Starsze - SIEĆ
Starsze - SIEĆ
7020 -1
7030 -1
7040 -1
7100 -1
7200 -2
ZNOR-MN/p
ZNOR-2
CNS-2
CNS-3
typu ZNOR
STS
ACRON
ADQUEN
9,0 m
9,4 m
10,3 m
11,7 m
9,4 m
9,8 m
9,8 m
8,2 m
7,8 m
7,4 m
Firmy EKS Isodraht GmbH
1601
1602
1603
1604
1605
1607
1608
1611
1613
1614
9871 -1
9871 -1
9872 -1, 3
9872 -1
NRT-EL 3,6/3600
Firmy EKS Isodraht GmbH
9822
Strona 3 z 26
Stan na dzień: 2016-08-19
b/n
b/n
b/n
b/n
b/n
D/02/IEN2/2013
D/02/IEN2/2013
D/02/IEN2/2013
D/02/IEN2/2013
U/2005/1676
D/02/IEN2/2013
b/n
b/n
b/n
b/n
b/n
b/n
b/n
b/n
b/n
b/n
b/n
b/n
b/n
b/n
b/n
b/n
b/n
b/n
b/n
b/n
D/IEN/26/2015
b/n
b/n
b/n
b/n
b/n
b/n
b/n
Data ost.
Zmiany
160411
160812
160812
160812
160812
160720
160812
160413
160413
160413
160413
160413
160413
160413
160413
160413
160413
Uwagi
DOPUSZCZANIE ELEMENTÓW PODSYSTEMÓW I TECHNOLOGII PRZEZNACZONYCH DO STOSOWANIA NA LINIACH KOLEJOWYCH ZARZĄDZANYCH PRZEZ PKP POLSKIE LINIE KOLEJOWE S.A.
Wspólna lista Dopuszczeń wydanych wg. Procedury SMS PW-17 oraz procedur wcześniejszych – branża elektroenergetyki.
Logo podmiotu lub nazwa
skrócona *3)
ELTRIM
ELTRIM
ELTRON
ELTTRONICA-IT
ELTTRONICA-IT
ES-SYSTEM
ES-SYSTEM
ES-SYSTEM
ES-SYSTEM
ES-SYSTEM
ES-SYSTEM
ES-SYSTEM
ES-SYSTEM
ES-SYSTEM
ES-SYSTEM
ES-SYSTEM
ES-SYSTEM
ES-SYSTEM
ES-SYSTEM
ES-SYSTEM
ES-SYSTEM
ES-SYSTEM
ES-SYSTEM
ES-SYSTEM
ES-SYSTEM
EURO-TECH
EURO-TECH
EURO-TECH
EURO-TECH
EURO-TECH
EURO-TECH
EURO-TECH
EURO-TECH
EXBUD-SKANSKA
EXBUD-SKANSKA
EXBUD-SKANSKA
EXBUD-SKANSKA
EXBUD-SKANSKA
EXBUD-SKANSKA
EXBUD-SKANSKA
EXBUD-SKANSKA
EXBUD-SKANSKA
EXBUD-SKANSKA
EXBUD-SKANSKA
EXBUD-SKANSKA
EXBUD-SKANSKA
EXBUD-SKANSKA
EXBUD-SKANSKA
EXBUD-SKANSKA
EXBUD-SKANSKA
EXBUD-SKANSKA
EXBUD-SKANSKA
EXBUD-SKANSKA
EXBUD-SKANSKA
EXBUD-SKANSKA
EXBUD-SKANSKA
EXBUD-SKANSKA
EXBUD-SKANSKA
EXBUD-SKANSKA
EXBUD-SKANSKA
EXBUD-SKANSKA
EXBUD-SKANSKA
EXBUD-SKANSKA
EXBUD-SKANSKA
Nr. w kat.
'KOLPROJEKT'
Opis produktu
Przewód jezdny
Przewód jezdny
Przewód miedziany
Oprawa oświetleniowa
Oprawa oświetleniowa
Oprawa oświetleniowa
Oprawa oświetleniowa
Oprawa oświetleniowa
Oprawa oświetleniowa
Oprawa oświetleniowa
Oprawa oświetleniowa
Oprawa oświetleniowa
Oprawa oświetleniowa
Oprawa oświetleniowa
Oprawa oświetleniowa
Oprawa oświetleniowa
Oprawa oświetleniowa
Oprawa oświetleniowa
Oprawa oświetleniowa LED
Oprawa oświetleniowa LED
Oprawa oświetleniowa LED
Oprawa oświetleniowa LED
Oprawa oświetleniowa LED
Oprawa oświetleniowa LED
Oprawa oświetleniowa LED
Fundament odciągu prefabrykowany
Fundament betonowy prefabrykowany
Fundament betonowy prefabrykowany
Fundament palowy
Fundament palowy
Fundament palowy
Fundament palowy
Fundament palowy
Odciąg prętowy słupa kotwowego
Odciąg prętowy słupa kotwowego
Odciąg prętowy słupa kotwowego
Odciąg prętowy słupa kotwowego
Słup trakcyjny
Słup trakcyjny
Połączenie międzysegmentowe
Słup trakcyjny
Słup trakcyjny
Wysięg przez dwa tory
Konstrukcje wsporcze sieci trakcyjnej
Segment dźwigara
Segment dźwigara
Segment dźwigara
Segment dźwigara
Segment dźwigara
Segment dźwigara
Segment dźwigara
Segment dźwigara
Segment dźwigara
Segment dźwigara
Słup trakcyjny
Słup trakcyjny
Słup trakcyjny
Słup trakcyjny
Słup trakcyjny
Słup trakcyjny
Słup trakcyjny
Słup trakcyjny
Okucia
Okucia
Firmy EKS Isodraht GmbH
Firmy EKS Isodraht GmbH
wielodrutowy goły
System BOYEN
System BOYEN
System BOYEN
System BOYEN
System BOYEN
System BOYEN
System BOYEN
System BOYEN
System BOYEN
moc 20-143 W, (dł. 826 mm)
moc 143-205 W, (dł. 985 mm)
strop/sufit
strop/sufit;
9871 -1
9872 -1, 3
9811 -1
LUMADA
LUMADINA
BOY.S-100
BOY.S-150
BOY.S-250
BOY.S-70
COSMO
DELTA PD
DELTA PD2
GAMMA PG
MEGA PM
ESPERIA
FLUOPIPE
LF4
LF8
RACER MINI
RACER
COSMO LED
GAMMA LED
BOY LED
LEDPIPE
PD LED
odmiana „P"
odmiana „P"
słupa trakcyjnego
słupa trakcyjnego
słupa trakcyjnego
odciągu prętowego
odciągu prętowego
z kratą trójkątną
z kratą trójkątną
słupów
dwuteownikowy
kratowy
9,8 m
8,2 m
środkowy
boczny
boczny
boczny
boczny
boczny
boczny
boczny
boczny
boczny
przelotowo-krańcowy bramki
krańcowy bramki
przelotowo-krańcowy bramki
krańcowy bramki
przelotowo-krańcowy bramki
krańcowy bramki
przelotowo-krańcowy bramki
krańcowy bramki
dźwigara bramki
dźwigara bramki
11,0 m
11,7 m
10,8 m
9,9 m
7,6 m
7,1 m
6,2 m
5,3 m
4,8 m
3,9 m
10,7 m
10,5 m
11,5 m
11,3 m
8,7 m
8,5 m
11,9 m
11,7 m
8,2 m
10,5 m dla wysięgu przez 2 t.
Strona 4 z 26
1411 -1
1422 -1÷4
1462 -1
1491
1492
1493
1495
1497
1540 -1÷3
1550 -1÷3
1550 -11÷13
1560 -1÷3
1608 -1÷4
1611 -1÷5
1660 -1, 3, 5
1665 -1÷4
1901 -1, 2
1910 -1, 2
1911 -1, 2
3013 -1÷5
3017 -1÷5
3018 -1÷5
3019 -1÷5
3020 -1÷4
3021 -1÷4
3022 -1÷4
3023 -1÷3
3024 -1÷3
3025 -1÷3
3031 -1, 2
3032 -1÷3
3033 -1, 2
3034 -1÷3
3035 -1, 2
3036 -1÷3
3037 -1, 2
3038 -1÷3
3050 -1÷4
3051 -1÷4
Numer
dopuszczenia
b/n
b/n
b/n
b/n
b/n
b/n
b/n
b/n
b/n
b/n
b/n
b/n
b/n
b/n
D 10/IEN/10-/2013
D 10/IEN/10-/2013
D 10/IEN/10-/2013
D 10/IEN/10-/2013
D/IEN/25/2015
D/IEN/25/2015
D 10/IEN/10-/2013
D 10/IEN/10-/2013
D 10/IEN/10-/2013
D 10/IEN/10-/2013
D 10/IEN/10-/2013
b/n
b/n
b/n
b/n
b/n
b/n
b/n
b/n
b/n
b/n
b/n
b/n
b/n
b/n
b/n
b/n
b/n
b/n
b/n
b/n
b/n
b/n
b/n
b/n
b/n
b/n
b/n
b/n
b/n
b/n
b/n
b/n
b/n
b/n
b/n
b/n
b/n
b/n
b/n
Stan na dzień: 2016-08-19
Okres/data
ważności
Podstawa
dopuszczenia
nie nadano
nie nadano
nie nadano
nie nadano
nie nadano
nie nadano
nie nadano
nie nadano
nie nadano
nie nadano
nie nadano
nie nadano
nie nadano
nie nadano
2018-10-17
2018-10-17
2018-10-17
2018-10-17
2020-12-31
2020-12-31
2018-10-17
2018-10-17
2018-10-17
2018-10-17
2018-10-17
nie nadano
nie nadano
nie nadano
nie nadano
nie nadano
nie nadano
nie nadano
nie nadano
nie nadano
nie nadano
nie nadano
nie nadano
nie nadano
nie nadano
nie nadano
nie nadano
nie nadano
nie nadano
nie nadano
nie nadano
nie nadano
nie nadano
nie nadano
nie nadano
nie nadano
nie nadano
nie nadano
nie nadano
nie nadano
nie nadano
nie nadano
nie nadano
nie nadano
nie nadano
nie nadano
nie nadano
nie nadano
nie nadano
nie nadano
Starsze - SIEĆ
Starsze - SIEĆ
Starsze - SIEĆ
Starsze - OSW
Starsze - OSW
Starsze - OSW
Starsze - OSW
Starsze - OSW
Starsze - OSW
Starsze - OSW
Starsze - OSW
Starsze - OSW
Starsze - OSW
Starsze - OSW
PW-17
PW-17
PW-17
PW-17
PW-17
PW-17
PW-17
PW-17
PW-17
PW-17
PW-17
Starsze - SIEĆ
Starsze - SIEĆ
Starsze - SIEĆ
Starsze - SIEĆ
Starsze - SIEĆ
Starsze - SIEĆ
Starsze - SIEĆ
Starsze - SIEĆ
Starsze - SIEĆ
Starsze - SIEĆ
Starsze - SIEĆ
Starsze - SIEĆ
Starsze - SIEĆ
Starsze - SIEĆ
Starsze - SIEĆ
Starsze - SIEĆ
Starsze - SIEĆ
Starsze - SIEĆ
Starsze - SIEĆ
Starsze - SIEĆ
Starsze - SIEĆ
Starsze - SIEĆ
Starsze - SIEĆ
Starsze - SIEĆ
Starsze - SIEĆ
Starsze - SIEĆ
Starsze - SIEĆ
Starsze - SIEĆ
Starsze - SIEĆ
Starsze - SIEĆ
Starsze - SIEĆ
Starsze - SIEĆ
Starsze - SIEĆ
Starsze - SIEĆ
Starsze - SIEĆ
Starsze - SIEĆ
Starsze - SIEĆ
Starsze - SIEĆ
Starsze - SIEĆ
Data ost.
Zmiany
160413
160413
160413
160413
160413
160811
160414
160414
160414
160414
160414
160414
160414
160414
160414
160414
160414
160414
160414
160414
160414
160414
160414
160414
160819
160415
Uwagi
DOPUSZCZANIE ELEMENTÓW PODSYSTEMÓW I TECHNOLOGII PRZEZNACZONYCH DO STOSOWANIA NA LINIACH KOLEJOWYCH ZARZĄDZANYCH PRZEZ PKP POLSKIE LINIE KOLEJOWE S.A.
Wspólna lista Dopuszczeń wydanych wg. Procedury SMS PW-17 oraz procedur wcześniejszych – branża elektroenergetyki.
Logo podmiotu lub nazwa
skrócona *3)
EXBUD-SKANSKA
EXBUD-SKANSKA
FABRYKA-PRZEWODOW-EN
F-P-EN
F-P-EN
F-P-EN
F-P-EN
F-P-EN
F-P-EN
F-P-EN
F-P-EN
F-P-EN
F-P-EN
FUK
FUK
FUK
FUK
FUK
FUK
FUK
FUK
FUK
FUK
FUK
FUK
FUK
FUK
FUK
FUK
FUK
FUK
FUK
FUK
FUK
FUK
FUK
FUK
FUK
FUK
FUK
FUK
FUK
FUK
FUK
FUK
FUK
FUK
FUK
FUK
FUK
FUK
FUK
FUK
FUK
FUK
FUK
FUK
FUK
FUK
FUK
FUK
FUK
FUK
FUK
Nr. w kat.
'KOLPROJEKT'
Opis produktu
Okucia
Połączenia segmentu
Przewód stalowy
Przewód miedziany
Przewód miedziany
Przewód miedziany
Przewód miedziany
Przewód aluminiowy
Przewód stalowo-aluminiowy
Przewód jezdny
Przewód jezdny
Przewód jezdny
Przewód jezdny
Odciąg prętowy słupa kotwowego
Odciąg prętowy słupa kotwowego
Odciąg prętowy słupa kotwowego
Odciąg prętowy słupa kotwowego
Odciąg prętowy słupa kotwowego
Odciąg prętowy słupa kotwowego
Odciąg prętowy słupa kotwowego
Odciąg prętowy słupa kotwowego
Odciąg prętowy słupa kotwowego
Słup trakcyjny
Słup trakcyjny
Słup trakcyjny
Słup trakcyjny
Słup trakcyjny
Słup trakcyjny
Słup trakcyjny
Słup trakcyjny
Słup trakcyjny
Słup trakcyjny
Słup trakcyjny
Słup trakcyjny
Słup trakcyjny
Słup trakcyjny
Połączenie międzysegmentowe
Słup trakcyjny
Słup trakcyjny
Słup trakcyjny
Słup trakcyjny
Słup trakcyjny
Słup trakcyjny
Słup trakcyjny 9,8 m
Słup trakcyjny
Segment słupa
Słup trakcyjny
Słup trakcyjny
Wysięg przez dwa tory
Połączenie międzysegmentowe
Słup trakcyjny
Segment dźwigara
Segment dźwigara
Segment dźwigara
Segment dźwigara
Segment dźwigara
Segment dźwigara
Segment dźwigara
Segment dźwigara
Segment dźwigara
Segment dźwigara
Słup trakcyjny
Słup trakcyjny
Słup trakcyjny
dźwigara bramki
dźwigara bramki
wielodrutowy goły
wielodrutowy goły
wielodrutowy goły
wielodrutowy goły
wielodrutowy goły
wielodrutowy goły
wielodrutowy goły
z kratą trójkątną
z kratą trójkątną
z kratą trójkątną
z kratą trójkątną
z kratą trójkątną
z kratą trójkątną
z kratą trójkątną
z kratą trójkątną
z kratą trójkątną
z kratą trójkątną
z kratą trójkątną
z kratą trójkątną
z kratą trójkątną
z kratą trójkątną
słupów
dwuteownikowy
dwuteownikowy
dwuteownikowy
dwuteownikowy
dwuteownikowy
z kratą trójkątną
dla terenów górniczych
z kratą trójkątną
indywidualnego i bramki
kratowy
do wysięgu przez dwa tory
słupów kratowych przestrz.
kratowy przestrz. dla ter. górn.
środkowy
boczny
boczny
boczny
boczny
boczny
boczny
boczny
boczny
boczny
przelotowo-krańcowy bramki
krańcowy bramki
przelotowo-krańcowy bramki
9,0 m
9,4 m
10,3 m
11,7 m
9,4 m
9,8 m
9,8 m
8,2 m
8,2 m
8,2 m
7,8 m
7,8 m
7,4 m
9,8 m, z pręta okr.
8,2 m
8,2 m
7,8 m
7,4 m
7,4 m
9,4 m na tereny górnicze
11,8 m na tereny górnicze
1,8 m na tereny górnicze
10,5 m dla wysięgu przez 2 t.
11,7 m
11,0 m
11,7 m
10,8 m
9,9 m
7,6 m
7,1 m
6,2 m
5,3 m
4,8 m
3,9 m
10,7 m
10,5 m
11,5 m
Strona 5 z 26
3052 -1÷4
3060 -1÷6
9831
9810
9811 -1÷8
9812 -6, 9
9815 -9
9821
9822
9871 -1, 3
9871 -1, 3
9872 -1, 3
9872 -1
1540 -2, 3
1540 -11÷13
1550 -1÷3
1550 -11÷13
1560 -1÷3
1560 -11÷13
1570 -2
1580 -2
1590 -1
1601 -1÷3
1602 -1÷4
1603 -1÷4
1604 -2÷4
1605 -1÷4
1607 -1÷4
1608 -1÷4
1611 -1÷5
1611 -11÷15
1611 -16÷17
1613 -1÷5
1613 -11÷17
1614 -1÷3
1617 -5, 7
1660 -1, 3, 5
1665 -1÷4
1665 -11÷14
1666 -11÷14
1667 -1÷3
1667 -11÷13
1682 -1÷4
1683 -1÷4
1684 -1÷4
1689 -1÷4
1901 -1÷3
1902 -1, 2
1910 -1, 2
1960 -1
1981 -1÷2
3013 -1÷5
3017 -1÷5
3018 -1÷5
3019 -1÷5
3020 -1÷4
3021 -1÷4
3022 -1÷3
3023 -1÷3
3024 -1÷3
3025 -1÷3
3031 -1, 2
3032 -1÷3
3033 -1, 2
Numer
dopuszczenia
b/n
b/n
b/n
b/n
b/n
b/n
b/n
b/n
b/n
b/n
b/n
b/n
b/n
b/n
b/n
b/n
b/n
b/n
b/n
b/n
b/n
b/n
b/n
b/n
b/n
b/n
b/n
b/n
b/n
b/n
b/n
D/IEN/21/2015
b/n
D/IEN/21/2015
b/n
b/n
b/n
b/n
b/n
b/n
b/n
b/n
b/n
b/n
b/n
b/n
b/n
b/n
b/n
b/n
b/n
b/n
b/n
b/n
b/n
b/n
b/n
b/n
b/n
b/n
b/n
b/n
b/n
b/n
Stan na dzień: 2016-08-19
Okres/data
ważności
Podstawa
dopuszczenia
Data ost.
Zmiany
nie nadano
nie nadano
nie nadano
nie nadano
nie nadano
nie nadano
nie nadano
nie nadano
nie nadano
nie nadano
nie nadano
nie nadano
nie nadano
nie nadano
nie nadano
nie nadano
nie nadano
nie nadano
nie nadano
nie nadano
nie nadano
nie nadano
nie nadano
nie nadano
nie nadano
nie nadano
nie nadano
nie nadano
nie nadano
nie nadano
nie nadano
2020-09-30
nie nadano
2020-09-30
nie nadano
nie nadano
nie nadano
nie nadano
nie nadano
nie nadano
nie nadano
nie nadano
nie nadano
nie nadano
nie nadano
nie nadano
nie nadano
nie nadano
nie nadano
nie nadano
nie nadano
nie nadano
nie nadano
nie nadano
nie nadano
nie nadano
nie nadano
nie nadano
nie nadano
nie nadano
nie nadano
nie nadano
nie nadano
nie nadano
Starsze - SIEĆ
Starsze - SIEĆ
Starsze - SIEĆ
Starsze - SIEĆ
Starsze - SIEĆ
Starsze - SIEĆ
Starsze - SIEĆ
Starsze - SIEĆ
Starsze - SIEĆ
Starsze - SIEĆ
Starsze - SIEĆ
Starsze - SIEĆ
Starsze - SIEĆ
Starsze - SIEĆ
Starsze - SIEĆ
Starsze - SIEĆ
Starsze - SIEĆ
Starsze - SIEĆ
Starsze - SIEĆ
Starsze - SIEĆ
Starsze - SIEĆ
Starsze - SIEĆ
Starsze - SIEĆ
Starsze - SIEĆ
Starsze - SIEĆ
Starsze - SIEĆ
Starsze - SIEĆ
Starsze - SIEĆ
Starsze - SIEĆ
Starsze - SIEĆ
Starsze - SIEĆ
PW-17
Starsze - SIEĆ
PW-17
Starsze - SIEĆ
Starsze - SIEĆ
Starsze - SIEĆ
Starsze - SIEĆ
Starsze - SIEĆ
Starsze - SIEĆ
Starsze - SIEĆ
Starsze - SIEĆ
Starsze - SIEĆ
Starsze - SIEĆ
Starsze - SIEĆ
Starsze - SIEĆ
Starsze - SIEĆ
Starsze - SIEĆ
Starsze - SIEĆ
Starsze - SIEĆ
Starsze - SIEĆ
Starsze - SIEĆ
Starsze - SIEĆ
Starsze - SIEĆ
Starsze - SIEĆ
Starsze - SIEĆ
Starsze - SIEĆ
Starsze - SIEĆ
Starsze - SIEĆ
Starsze - SIEĆ
Starsze - SIEĆ
Starsze - SIEĆ
Starsze - SIEĆ
Starsze - SIEĆ
160415
160819
160411
160413
160413
160413
160413
160413
160413
160413
160413
160413
160413
160413
160413
160413
160413
160413
160413
160413
160413
160413
160413
160819
160413
160413
160413
160415
160413
160413
160413
160414
160414
160414
160414
160414
160414
160414
160414
160414
160414
160414
160414
160414
Uwagi
Brak pozycji w katalogu
pimo uzn. 5520-36/16
DOPUSZCZANIE ELEMENTÓW PODSYSTEMÓW I TECHNOLOGII PRZEZNACZONYCH DO STOSOWANIA NA LINIACH KOLEJOWYCH ZARZĄDZANYCH PRZEZ PKP POLSKIE LINIE KOLEJOWE S.A.
Wspólna lista Dopuszczeń wydanych wg. Procedury SMS PW-17 oraz procedur wcześniejszych – branża elektroenergetyki.
Logo podmiotu lub nazwa
skrócona *3)
FUK
FUK
FUK
FUK
FUK
FUK
FUK
FUK
FUK
FUK
FUK
FUK
FUK
FUK
FUK
FUK
FUK
FUK
FUK
FUK
FUK
FUK
FUK
FUK
FUK
FUK
FUK
FUK
FUK
FUK
FUK
FUK
FUK
FUK
FUK
FUK
FUK
FUK
FUK
FUK
FUK
FUK
FUK
FUK
FUK
FUK
FUK
FUK
FUK
FUK
FUK
FUK
FUK
FUK
FUK
FUK
FUK
FUK
FUK
FUK
FUK
FUK
FUK
FUK
Nr. w kat.
'KOLPROJEKT'
Opis produktu
Słup trakcyjny
Słup trakcyjny
Słup trakcyjny
Słup trakcyjny
Słup trakcyjny
Okucia
Połączenia segmentu
Słup trakcyjny
Słup trakcyjny
Słup trakcyjny
Słup trakcyjny
Słup trakcyjny
Słup trakcyjny
Słup trakcyjny
Słup trakcyjny
Słup trakcyjny
Słup trakcyjny
Słup trakcyjny
Słup trakcyjny
Słup trakcyjny
Okucia
Uchwyt przegubowy
Uchwyt przegubowy wysięgnikowy
Uchwyt przegubowy
Uchwyt podwieszeniowy
Uchwyt podwieszeniowy
Uchwyt przelotowy sztywny
Łącznik odciągu prętowego podwójny
Wyrównywacz przewodów jezdnych
Śruba rzymska
Przegubowy uchwyt
Uchwyt rolek linowych
Przegubowy uchwyt
Rolka linowa
Cięgła linowe urządzenia naprężającego
Uchwyt mocujący
Uchwyt do kotwień
Zabezpieczenie urządzenia naprężającego
Wsporniki ukośników
Uchwyt izolatora odciągu wysięgu
Uchwyt słupowy izolatora
Wsporniki ukośników
Uchwyt izolatora odciągu wysięgu
Uchwyt słupowy izolatora
Wsporniki ukośników
Łącznik podwójny
Łącznik skręcony
Łącznik skręcony
Wspornik do dźwigara bramki
Uchwyt rolek linowych
Uchwyt krańcowy
Uchwyt krańcowy
Uchwyt przelotowy
Uchwyt odciągowy
Złączka
Uchwyt odległościowy
Uchwyt równoległy
Uchwyt równoległy
Zacisk
Zacisk
Uchwyt
Uchwyt równoległy
Uchwyt równoległy
Uchwyt równoległy
krańcowy bramki
przelotowo-krańcowy bramki
krańcowy bramki
przelotowo-krańcowy bramki
krańcowy bramki
dźwigara bramki
dźwigara bramki
przelotowo-krańcowy bramki
przelotowo-krańcowy bramki
przelotowo-krańcowy bramki
przelotowo-krańcowy bramki
krańcowy bramki
krańcowy bramki
krańcowy bramki
krańcowy bramki
krańcowy bramki
krańcowy bramki
krańcowy bramki
krańcowy bramki
krańcowy bramki
dźwigara bramki
do przewodu jezdnego
do przewodu jezdnego
przewodu jezdnego
do lin nośnych
do lin nośnych
do lin nośnych
11,3 m
8,7 m
8,5 m
11,9 m
11,7 m
8,2 m, na jeden fundament
9,0 m, na jeden fundament
9,5 m, na jeden fundament
8,2 m, na jeden fundament
9,0 m, na jeden fundament
9,5 m, na jeden fundament
8,2 m, na dwa fundamenty
9,0 m, na dwa fundamenty
9,4 m, na dwa fundamenty
8,2 m, na dwa fundamenty
9,0 m, na dwa fundamenty
9,5 m, na dwa fundamenty
11,7 m górniczy
wahliwo-przesuwne
do kotwienia przewodów
rolki linowej
prowadnice na słupach bramek
na słupach przestrzennych
jednostronne
jednostronny
jednostronny
dwustronne
dwustronny
dwustronny
z uchwytami
i słupa przez dwa tory
wzdłużny
klinowy do przewodów jezdnych
liny nośnej
wahliwy żeliwny
przelotowy śrubowo -stożkowy
stożkowa liny nośnej
do 4 przew. Jezdnych
potrójny
rozjazdowy
równoległy lina, przewód jezdny
równoległy do dwóch lin
liny uelastyczniającej
do dwóch lin
do dwóch lin
do dwóch lin
izolatora odciągu wysięgu
170
450
Nowa generacja k. wsp.
Cu i Fe KUCA
Strona 6 z 26
3034 -1÷3
3035 -1, 2
3036 -1÷3
3037 -1, 2
3038 -1÷3
3050 -1÷4
3060 -0÷4
3111 -4
3112 -4
3113 -4
3115 -1÷3
3116 -1÷3
3117 -1÷3
3121 -4, 5
3122 -4, 5
3123 -4, 5
3125 -3
3126 -3
3127 -3
3833 -3÷5
3850 -6÷8
4110 -1
4120 -1÷4
4130 -1
4140 -1÷2
4150 -1
4160 -1
4200 -1÷2
4410 -1
4420 -1
4430 -1
4440 -1÷7
4450 -1
4460 -1÷3
4490 -1÷3
4560 -1
4570 -1
4600 -1, 2
4610 -1÷8, 10
4620 -1÷8, 10
4630 -1÷8, 10
4640 -3, 5, 7, 8, 10
4650 -3, 5, 7, 8, 10
4660 -3, 5, 7, 8, 10
4670 -3, 5, 7, 8, 10
4720 -1, 2
4730 -1
4740 -1
4850 -1÷5
5040 -1÷3
5110 -1÷4
5120 -5÷7
5160 -5÷7, 9
5180 -6, 7, 0
5250 -5÷7
5350 -1
5360 -1
5380 -1
5400 -5÷7
5500 -5÷7
5520 -6, 7
5550 -5, 6
5560 -5
5570 -5, 6, 8, 9
Stan na dzień: 2016-08-19
Numer
dopuszczenia
Okres/data
ważności
Podstawa
dopuszczenia
Data ost.
Zmiany
b/n
b/n
b/n
b/n
b/n
nie nadano
nie nadano
nie nadano
nie nadano
nie nadano
nie nadano
nie nadano
nie nadano
nie nadano
nie nadano
nie nadano
nie nadano
nie nadano
nie nadano
nie nadano
nie nadano
nie nadano
nie nadano
nie nadano
nie nadano
nie nadano
nie nadano
nie nadano
nie nadano
nie nadano
nie nadano
nie nadano
nie nadano
nie nadano
nie nadano
nie nadano
nie nadano
nie nadano
nie nadano
nie nadano
nie nadano
nie nadano
nie nadano
nie nadano
nie nadano
nie nadano
nie nadano
nie nadano
nie nadano
nie nadano
nie nadano
nie nadano
nie nadano
nie nadano
nie nadano
nie nadano
nie nadano
nie nadano
nie nadano
nie nadano
nie nadano
nie nadano
nie nadano
nie nadano
nie nadano
nie nadano
nie nadano
nie nadano
nie nadano
Starsze - SIEĆ
Starsze - SIEĆ
Starsze - SIEĆ
Starsze - SIEĆ
Starsze - SIEĆ
Starsze - SIEĆ
Starsze - SIEĆ
Starsze - SIEĆ
Starsze - SIEĆ
Starsze - SIEĆ
Starsze - SIEĆ
Starsze - SIEĆ
Starsze - SIEĆ
Starsze - SIEĆ
Starsze - SIEĆ
Starsze - SIEĆ
Starsze - SIEĆ
Starsze - SIEĆ
Starsze - SIEĆ
Starsze - SIEĆ
Starsze - SIEĆ
Starsze - SIEĆ
Starsze - SIEĆ
Starsze - SIEĆ
Starsze - SIEĆ
Starsze - SIEĆ
Starsze - SIEĆ
Starsze - SIEĆ
Starsze - SIEĆ
Starsze - SIEĆ
Starsze - SIEĆ
Starsze - SIEĆ
Starsze - SIEĆ
Starsze - SIEĆ
Starsze - SIEĆ
Starsze - SIEĆ
Starsze - SIEĆ
Starsze - SIEĆ
Starsze - SIEĆ
Starsze - SIEĆ
Starsze - SIEĆ
Starsze - SIEĆ
Starsze - SIEĆ
Starsze - SIEĆ
Starsze - SIEĆ
Starsze - SIEĆ
Starsze - SIEĆ
Starsze - SIEĆ
Starsze - SIEĆ
Starsze - SIEĆ
Starsze - SIEĆ
Starsze - SIEĆ
Starsze - SIEĆ
Starsze - SIEĆ
Starsze - SIEĆ
Starsze - SIEĆ
Starsze - SIEĆ
Starsze - SIEĆ
Starsze - SIEĆ
Starsze - SIEĆ
Starsze - SIEĆ
Starsze - SIEĆ
Starsze - SIEĆ
Starsze - SIEĆ
160414
160414
160414
160414
160414
160819
160819
pimo uzn. 5520-36/16
pimo uzn. 5520-36/16
160819
pimo uzn. 5520-36/16
b/n
b/n
b/n
b/n
b/n
b/n
b/n
b/n
b/n
b/n
b/n
b/n
b/n
b/n
b/n
b/n
b/n
b/n
b/n
b/n
b/n
b/n
b/n
b/n
b/n
b/n
b/n
b/n
b/n
b/n
b/n
b/n
b/n
b/n
b/n
b/n
b/n
b/n
b/n
b/n
b/n
b/n
b/n
b/n
b/n
b/n
b/n
b/n
b/n
b/n
b/n
b/n
b/n
b/n
b/n
b/n
b/n
b/n
b/n
Uwagi
160415
160819
pimo uzn. 5520-36/16
160819
pimo uzn. 5520-36/16
DOPUSZCZANIE ELEMENTÓW PODSYSTEMÓW I TECHNOLOGII PRZEZNACZONYCH DO STOSOWANIA NA LINIACH KOLEJOWYCH ZARZĄDZANYCH PRZEZ PKP POLSKIE LINIE KOLEJOWE S.A.
Wspólna lista Dopuszczeń wydanych wg. Procedury SMS PW-17 oraz procedur wcześniejszych – branża elektroenergetyki.
Logo podmiotu lub nazwa
skrócona *3)
Nr. w kat.
'KOLPROJEKT'
Opis produktu
Okres/data
ważności
Podstawa
dopuszczenia
b/n
b/n
b/n
b/n
b/n
b/n
b/n
b/n
b/n
b/n
b/n
b/n
b/n
b/n
b/n
b/n
b/n
b/n
b/n
b/n
b/n
b/n
b/n
b/n
b/n
D/IEN/19/2015
b/n
D/IEN/31/2015
D/IEN/31/2015
b/n
b/n
b/n
b/n
b/n
D/IEN/23/2015
D/IEN/18/2015
b/n
b/n
b/n
b/n
b/n
b/n
D/IEN/08/2014
D/IEN/08/2014
D/IEN/09/2014
D/IEN/09/2014
D/IEN/09/2014
D/IEN/09/2014
nie nadano
nie nadano
nie nadano
nie nadano
nie nadano
nie nadano
nie nadano
nie nadano
nie nadano
nie nadano
nie nadano
nie nadano
nie nadano
nie nadano
nie nadano
nie nadano
nie nadano
nie nadano
nie nadano
nie nadano
nie nadano
nie nadano
nie nadano
nie nadano
nie nadano
2020-08-31
nie nadano
2020-12-31
2020-12-31
nie nadano
nie nadano
nie nadano
nie nadano
nie nadano
2020-10-31
2020-08-31
nie nadano
nie nadano
nie nadano
nie nadano
nie nadano
nie nadano
2019-07-17
2019-07-17
2019-06-30
2019-06-30
2019-06-30
2019-06-30
Starsze - SIEĆ
Starsze - SIEĆ
Starsze - SIEĆ
Starsze - SIEĆ
Starsze - SIEĆ
Starsze - SIEĆ
Starsze - SIEĆ
Starsze - SIEĆ
Starsze - SIEĆ
Starsze - SIEĆ
Starsze - SIEĆ
Starsze - SIEĆ
Starsze - SIEĆ
Starsze - SIEĆ
Starsze - SIEĆ
Starsze - SIEĆ
Starsze - SIEĆ
Starsze - SIEĆ
Starsze - SIEĆ
Starsze - SIEĆ
Starsze - SIEĆ
Starsze - SIEĆ
Starsze - SIEĆ
Starsze - SIEĆ
Starsze - SIEĆ
PW-17
Starsze - SIEĆ
PW-17
PW-17
Starsze - SIEĆ
Starsze - SIEĆ
Starsze - SIEĆ
Starsze - SIEĆ
Starsze - SIEĆ
PW-17
PW-17
Starsze - SIEĆ
Starsze - SIEĆ
Starsze - SIEĆ
Starsze - SIEĆ
Starsze - SIEĆ
Starsze - SIEĆ
PW-17
PW-17
PW-17
PW-17
PW-17
PW-17
D/IEN/05/2014
2019-05-14
PW-17
b/n
nie nadano
Starsze - SIEĆ
Data ost.
Zmiany
FUK
FUK
FUK
FUK
FUK
FUK
FUK
FUK
FUK
FUK
FUK
FUK
FUK
FUK
FUK
FUK
FUK
FUK
FUK
FUK
FUK
FUK
FUK
FUK
FUK
FUK
FUK
FUK
FUK
FUK
FUK
FUK
FUK
FUK
FUK
FUK
FUK
FUK
FUK
FUK
FUK
FUK
Furrer + Frey AG
Furrer + Frey AG
HSK-DATA
HSK-DATA
HSK-DATA
HSK-DATA
Zacisk
Zacisk
Zacisk
Łącznik szynowy
Łącznik szynowy
Łącznik szynowy
Połączenia uszyniające
Połączenia uszyniające
Łącznik szynowy
Łącznik szynowy
Łącznik szynowy
Ukośnik rurowy
Odciąg ukośnika
Odciąg ukośnika
Odciąg ukośnika
Ramię odciągowe
Ramię odciągowe
Ramię odciągowe
Ramię odciągowe
Ramię odciągowe
Ramię odciągowe
Ramię odciągowe
Ramię odciągowe
Ramię odciągowe
Ramię odciągowe
Kompensator skrętu
Ciężar naprężający
Ciężar naprężający
Ciężar naprężający
Łącznik pojedynczy
Łącznik izolatora z uchwytem podwieszeniowym
Kołek gwintowany
Łącznik uziomu
Izolator trakcyjny
Izolator trakcyjny kompozytowy
Izolator trakcyjny kompozytowy
Odgromnik rożkowy
Iskiernik niskonapięciowy
Odłącznik
Odłącznik
Skrzynka napędu ręcznego odłącznika
Izolator sekcyjny
Górna sztywna sieć trakcyjna
Górna sztywna sieć trakcyjna
Oprawa oświetleniowa LED
Oprawa oświetleniowa LED
Oprawa oświetleniowa LED
Oprawa oświetleniowa LED
mostkowy
uszyniający do lin
szynowy
podłużny
z linki Cu 95
z linki Cu 95
prętem Fe w izolacji
linką Cu50 w izolacji
podłużny, z tulejką zaciskową
z linki Cu95 z tulejką zaciskową
z linki Cu95 z tulejką zaciskową
HTI-BP_BS-SYSTEM
Fundament palowy
- typy różne
INSTYTUT-EZD
Izolator trakcyjny
cięgnowy z żywic organicznych
INTERFREZ
EOR Sprężyna dociskowa czujnika temperatury
do rozjazdów z szynami 49E1
ZNOR49
b/n
nie nadano
Starsze - EOR
160720
INTERFREZ
EOR Sprężyna dociskowa czujnika temperatury
do rozjazdów z szynami 60E1
ZNOR60
b/n
nie nadano
Starsze - EOR
160720
INTERFREZ
EOR Uchwyt dociskowy grzejnika
49E1-KL-IF
b/n
nie nadano
Starsze - EOR
160720
INTERFREZ
EOR Uchwyt dociskowy grzejnika
49E1-SP-IF
b/n
nie nadano
Starsze - EOR
160720
INTERFREZ
EOR Uchwyt dociskowy grzejnika
60E1-KL-IF
b/n
nie nadano
Starsze - EOR
160720
INTERFREZ
EOR Uchwyt dociskowy grzejnika
60E1-SP-IF
b/n
nie nadano
Starsze - EOR
160720
Al. 120 dł. 300 mm
bez izolacji
w izolacji
bez izolacji
w izolacji
rurowego nieprzechylnego
rurowego przechylnego
rurowego przechylnego
(stal OH18N9E) KUCA
proste
łukowe
proste
łukowe
specjalne rozjazdowe
specjalne łukowe
specjalne rozjazdowe
specjalne łukowe
z otworem owalnym
żeliwny
żeliwno-betonowy
żeliwno-betonowy
płaski
do połączeń szynowych
w koszulce termokurczliwej
cięgnowy z żywic organicznych
cięgnowy, do dużych naciągów
cięgnowy
400x57
306x100
ze śrubą
3 kV
3 kV z kompens. skrętu
ze stykiem uszyniającym
strop/sufit
strop/sufit
strop/sufit
strop/sufit
do rozjazdów z szynami 49E1
klasyczny
do rozjazdów z szynami 49E1
sprężysty
do rozjazdów z szynami 60E1
klasyczny
do rozjazdów z szynami 60E1
sprężysty
5590 -1÷3
5670 -1÷3
5680 -1, 2
5810 -1
5820 -1, 2
5830 -1, 2
5840 -1, 2
5850 -1, 2
5910 -1, 2
5920 -1, 2
5930 -1, 2
6001 -1÷14
6002 -1÷11
6007 -1÷14
6008 -1÷14
6201 -1÷4
6202 -1
6203 -1
6204 -1, 2
6205 -1, 2
6206 -1, 2
6207 -1+3
6208 -1+3
6209 -1+3
6212 -1
6320 -1
6321 -1
6322 -11
6323 -11
6511 -1
6720 -1
6850 -1
6930 -1
7150 -3
7151 -1*
7160 -1
7310 -1÷3, 4
7350 -1
7420 -1
7430 -1
7460 -1
7500 -1, 2
Numer
dopuszczenia
Stan na dzień: 2016-08-19
CR2
CR3HS
AQUARIUS AQ-13
BERENICA B-114
LEO L-66
PEGAZ P-120
7150
Strona 7 z 26
Uwagi
160527
160527
160527
160527
160527
160527
150807
zamiennik
160404
PW-17 nie stosuje się.
150807
nr. kat. proponowany
zamiennik
150807
*1), *2)
*1), *2)
160303
Produkty f-my BS-SYSTEM
wg. dopuszczenia nr.:
D/IEN/05/2014
uznanie Dopuszczenia
po: Interfrez Migała sp.j.
uznanie Dopuszczenia
po: Interfrez Migała sp.j.
uznanie Dopuszczenia
po: Interfrez Migała sp.j.
uznanie Dopuszczenia
po: Interfrez Migała sp.j.
uznanie Dopuszczenia
po: Interfrez Migała sp.j.
uznanie Dopuszczenia
po: Interfrez Migała sp.j.
DOPUSZCZANIE ELEMENTÓW PODSYSTEMÓW I TECHNOLOGII PRZEZNACZONYCH DO STOSOWANIA NA LINIACH KOLEJOWYCH ZARZĄDZANYCH PRZEZ PKP POLSKIE LINIE KOLEJOWE S.A.
Wspólna lista Dopuszczeń wydanych wg. Procedury SMS PW-17 oraz procedur wcześniejszych – branża elektroenergetyki.
Logo podmiotu lub nazwa
skrócona *3)
EOR Sprężyna dociskowa czujnika temperatury
EOR Sprężyna dociskowa czujnika temperatury
INTERFREZ-MIGAŁA
EOR Uchwyt dociskowy grzejnika
INTERFREZ-MIGAŁA
EOR Uchwyt dociskowy grzejnika
INTERFREZ-MIGAŁA
EOR Uchwyt dociskowy grzejnika
INTERFREZ-MIGAŁA
EOR Uchwyt dociskowy grzejnika
INVOLT_ELTRIM
INVOLT_ELTRIM
INVOLT_IZODRAHT
INVOLT_IZODRAHT
INVOLT_IZODRAHT
INVOLT_IZODRAHT
INVOLT_IZODRAHT
Przewód miedziany
Przewód miedziany
Przewód jezdny
Przewód jezdny
Przewód miedziany
Przewód jezdny
Przewód jezdny
INVOLT_TELE-FONIKA
Przewód jezdny
INVOLT_TELE-FONIKA
Przewód jezdny
JEDLICZE
JEDLICZE
JEDLICZE
KOLEN
KOLEN
KOLEN
KOLEN
KOLEN
KOLEN
KOLEN
KOLEN
KOLEN
KOLEN
KOLEN
KOLEN
KOLEN
KOLEN
KOL-MINEX
KOZBI
KOZBI
KOZBI
KPB-KUTNO
KPB-KUTNO
KPB-KUTNO
KPB-KUTNO
KPB-KUTNO
KPB-KUTNO
KPB-KUTNO
KPB-KUTNO
KPB-KUTNO
KPB-KUTNO
KPB-KUTNO
KPB-KUTNO
KROMISS-BIS_A-FLURY
KROMISS-BIS_A-FLURY
KROMISS-BIS_A-FLURY
KROMISS-BIS_A-FLURY
KROMISS-BIS_A-FLURY
Numer
dopuszczenia
Okres/data
ważności
Podstawa
dopuszczenia
Data ost.
Zmiany
ZNOR49
ZNOR60
b/n
b/n
nie nadano
nie nadano
Starsze - EOR
Starsze - EOR
160720
160720
49E1-KL-IF
b/n
nie nadano
Starsze - EOR
160720
49E1-SP-IF
b/n
nie nadano
Starsze - EOR
160720
60E1-KL-IF
b/n
nie nadano
Starsze - EOR
160720
60E1-SP-IF
b/n
nie nadano
Starsze - EOR
160720
nie nadano
nie nadano
2020-08-31
2020-08-31
nie nadano
nie nadano
nie nadano
Starsze - SIEĆ
Starsze - SIEĆ
PW-17
PW-17
Starsze - SIEĆ
Starsze - SIEĆ
Starsze - SIEĆ
160316
160316
150908
150908
160316
160316
160316
produkcji: ELTRIM
produkcji: ELTRIM
produkcji: IZODRAHT
produkcji: IZODRAHT
produkcji: IZODRAHT
produkcji: IZODRAHT
produkcji: IZODRAHT
b/n
nie nadano
Starsze - SIEĆ
160316
produkcji: TELE-FONIKA
b/n
nie nadano
Starsze - SIEĆ
160316
produkcji: TELE-FONIKA
D/IEN/15/2015
2020-06-30
PW-17
150701
b/n
b/n
b/n
b/n
b/n
b/n
b/n
b/n
b/n
b/n
b/n
b/n
b/n
b/n
b/n
b/n
b/n
b/n
D9/IEN/9/2013
D9/IEN/9/2013
D9/IEN/9/2013
D8/IEN/8/2013
b/n
b/n
b/n
b/n
D8/IEN/8/2013
b/n
b/n
b/n
b/n
b/n
b/n
b/n
nie nadano
nie nadano
nie nadano
nie nadano
nie nadano
nie nadano
nie nadano
nie nadano
nie nadano
nie nadano
nie nadano
nie nadano
nie nadano
nie nadano
nie nadano
nie nadano
nie nadano
nie nadano
2018-10-17
2018-10-17
2018-10-17
2018-10-17
nie nadano
nie nadano
nie nadano
nie nadano
2018-10-17
nie nadano
nie nadano
nie nadano
nie nadano
nie nadano
nie nadano
nie nadano
Starsze - SIEĆ
Starsze - SIEĆ
Starsze - SIEĆ
Starsze - SIEĆ
Starsze - SIEĆ
Starsze - SIEĆ
Starsze - SIEĆ
Starsze - SIEĆ
Starsze - SIEĆ
Starsze - SIEĆ
Starsze - SIEĆ
Starsze - SIEĆ
Starsze - SIEĆ
Starsze - SIEĆ
Starsze - SIEĆ
Starsze - SIEĆ
Starsze - SIEĆ
Starsze - SIEĆ
PW-17
PW-17
PW-17
PW-17
Starsze - SIEĆ
Starsze - SIEĆ
Starsze - SIEĆ
Starsze - SIEĆ
PW-17
Starsze - SIEĆ
Starsze - SIEĆ
Starsze - SIEĆ
Starsze - SIEĆ
Starsze - SIEĆ
Starsze - SIEĆ
Starsze - SIEĆ
Opis produktu
INTERFREZ-MIGAŁA
INTERFREZ-MIGAŁA
ISOSYSTEM_SCHOMBURG
Nr. w kat.
'KOLPROJEKT'
Technologia zabezpieczenia antykorozyjnego
konstrukcji wsporczych sieci trakcyjnej
Odłącznik
Rozłącznik trakcyjny
Odłącznikowy napęd silnikowy
Zamocowania ogranicznika niskonapięciowe
Zamocowania ogranicznika niskonapięciowe
Zamocowania ogranicznika niskonapięciowe
Zamocowania ogranicznika niskonapięciowe
Zamocowania ogranicznika niskonapięciowe
Zamocowania ogranicznika niskonapięciowe
Zamocowania ogranicznika niskonapięciowe
Zamocowania ogranicznika niskonapięciowe
Zamocowania ogranicznika niskonapięciowe
Ogranicznik niskonapięciowy
Ogranicznik niskonapięciowy
Ogranicznik niskonapięciowy
Ogranicznik niskonapięciowy
Obudowa ogranicznika niskonapięciowego
Technologia wyburzania fundamentów
Uchwyt przegubowy
Uchwyt przegubowy wysięgnikowy
Uchwyt przegubowy
Fundament betonowy prefabrykowany
Fundament betonowy prefabrykowany
Fundament betonowy prefabrykowany
Fundament betonowy prefabrykowany
Fundament betonowy prefabrykowany
Fundament betonowy prefabrykowany
Fundament betonowy prefabrykowany
Fundament palowy
Fundament palowy
Fundament palowy
Fundament palowy
Fundament palowy
Izolator cięgnowy
Miedziany uchwyt wieszaka
izolatora sekcyjnego
Uchwyt krańcowy
Wieszak izolatora sekcyjnego wraz z miedziana wkładką
chomątkową
Izolator sekcyjny
do rozjazdów z szynami 49E1
do rozjazdów z szynami 60E1
do rozjazdów z szynami 49E1
klasyczny
do rozjazdów z szynami 49E1
sprężysty
do rozjazdów z szynami 60E1
klasyczny
do rozjazdów z szynami 60E1
sprężysty
wielodrutowy goły
wielodrutowy goły
ELCORIM LIGHT
ELCORIM LIGHT
wielodrutowy goły
powłoki polimocznikowe
Firmy ZPPE ELTRIM Sp. z o.o.
Firmy ZPPE ELTRIM Sp. z o.o.
AC 100 CuMg 0,02%
AC 150 CuMg 0,02%
Firmy EKS Isodraht GmbH
Firmy EKS Isodraht GmbH
Firmy EKS Isodraht GmbH
Firmy
Tele-Fonika Kable Sp. z o.o.
Firmy
Tele-Fonika Kable Sp. z o.o.
oblewany
słupa trakcyjnego
słupa trakcyjnego
słupa trakcyjnego
odciągu prętowego
odciągu prętowego
liny nośnej
liny nośnej
9871 -1
9872 -1, 3
9871 -1, 3
PROTEC H
trakcyjny
trakcyjny
konstrukcji wsporczych
do przewodu jezdnego
do przewodu jezdnego
przewodu jezdnego
odciągu
Stan na dzień: 2016-08-19
7440
7450
7490
0891
0892
0893
0894
0895
0896
0897
0898
0899
7340
7360
7370
7380
7700
metodą minerską
4110
4120 -3
4130
1411
1422 -1
1422 -2
1422 -3
1422 -4
1451
1462 -1
1491
1492
1493
1495
1497
odmiana „P"
odmiana „P"
odmiana „P"
odmiana „P"
odmiana K
odmiana „P"
typu BI
typu BII
typu BIII
typu BI-A
typu BIII-A
AF:657.012.725
b/n
b/n
D/IEN/17/2015
D/IEN/17/2015
b/n
b/n
b/n
160314
160415
160415
160415
160415
160722
AF:655.105.406
b/n
nie nadano
Starsze - SIEĆ
160722
AF:610.016.105
b/n
nie nadano
Starsze - SIEĆ
160722
AF:625.434.142
b/n
nie nadano
Starsze - SIEĆ
160722
b/n
nie nadano
Starsze - SIEĆ
160722
HS 3 kV
7530 -2
Strona 8 z 26
Uwagi
Poza decyzją PKP PLK
DOPUSZCZANIE ELEMENTÓW PODSYSTEMÓW I TECHNOLOGII PRZEZNACZONYCH DO STOSOWANIA NA LINIACH KOLEJOWYCH ZARZĄDZANYCH PRZEZ PKP POLSKIE LINIE KOLEJOWE S.A.
Wspólna lista Dopuszczeń wydanych wg. Procedury SMS PW-17 oraz procedur wcześniejszych – branża elektroenergetyki.
Logo podmiotu lub nazwa
skrócona *3)
KRULEN_NORKA
KRULEN_NORKA
KRULEN_NORKA
KRULEN_NORKA
KRULEN_NORKA
KRULEN_NORKA
KRULEN_NORKA
KRULEN_NORKA
KRULEN_NORKA
KRULEN_NORKA
KRULEN_NORKA
KRULEN_NORKA
KRULEN_NORKA
KRULEN_NORKA
KRULEN_NORKA
KRULEN_NORKA
KRULEN_NORKA
KRULEN_NORKA
KRULEN_NORKA
KRULEN_NORKA
KRULEN_NORKA
KRULEN_NORKA
KRULEN_NORKA
KRULEN_NORKA
KRULEN_NORKA
KUCA
KUCA
KUCA
KUCA
KUCA
KUCA
KUCA
KUCA
KUCA
KUCA
KUCA
KUCA
KUCA
KUCA
KUCA
KUCA
KUCA
KUCA
KUCA
KUCA
KUCA
KUCA
KUCA
KUCA
KUCA
KUCA
KUCA
KUCA
KUCA
KUCA
KUCA
KUCA
KUCA
KUCA
KUCA
KUCA
KUCA
KUCA
KUCA
Nr. w kat.
'KOLPROJEKT'
Opis produktu
Oprawa oświetleniowa
Oprawa oświetleniowa
Oprawa oświetleniowa
Oprawa oświetleniowa
Oprawa oświetleniowa
Oprawa oświetleniowa
Oprawa oświetleniowa
Oprawa oświetleniowa
Oprawa oświetleniowa
Oprawa oświetleniowa
Oprawa oświetleniowa
Oprawa oświetleniowa
Oprawa oświetleniowa
Oprawa oświetleniowa
Oprawa oświetleniowa
Oprawa oświetleniowa
Oprawa oświetleniowa
Oprawa oświetleniowa
Oprawa oświetleniowa LED
Oprawa oświetleniowa LED
Oprawa oświetleniowa LED
Oprawa oświetleniowa LED
Oprawa oświetleniowa LED
Oprawa oświetleniowa LED
Oprawa oświetleniowa LED
Izolator sekcyjny
Odciąg prętowy słupa kotwowego
Odciąg prętowy słupa kotwowego
Odciąg prętowy słupa kotwowego
Uchwyt przegubowy
Uchwyt przegubowy wysięgnikowy
Uchwyt przegubowy
Uchwyt przegubowy
Uchwyt podwieszeniowy
Uchwyt podwieszeniowy
Uchwyt przelotowy sztywny
Wyrównywacz przewodów jezdnych
Śruba rzymska
Przegubowy uchwyt
Uchwyt rolek linowych
Przegubowy uchwyt
Rolka linowa
Cięgła linowe urządzenia naprężającego
Uchwyt mocujący
Uchwyt do kotwień
Zabezpieczenie urządzenia naprężającego
Wsporniki ukośników
Uchwyt izolatora odciągu wysięgu
Uchwyt słupowy izolatora
Wsporniki ukośników
Uchwyt izolatora odciągu wysięgu
Uchwyt słupowy izolatora
Wsporniki ukośników
Łącznik kabłąkowy
Łącznik pojedynczy
Łącznik podwójny
Łącznik skręcony
Łącznik skręcony
Uchwyt rolek linowych
Uchwyt krańcowy
Uchwyt krańcowy
Uchwyt przelotowy
Uchwyt odciągowy
Złączka
z kloszem PC
z kloszem PC
do przewodu jezdnego
do przewodu jezdnego
przewodu jezdnego
przewodu jezdnego
do lin nośnych
do lin nośnych
do lin nośnych
BERLIN
BRUNN
ERFURT
FULDA
GERA
HAMM
JENA
KREUZBERG
LEIPZIG
LONDON
LUTTEROTH
MADRID
NEUSTADT
SATURN
SIDNEY RAPID
SIRIUS
VARSOVIA
WRATISLAVIA
ERFURT LED
VARSOVIA LED
BRUNN LED
FULDA LED
GERA LED
JENA LED
PRAG LED
ISZ-06 1p/2p KUCA
100 i 150CuNi2Si KUCA
złącze gniazdowe
do kotwienia przewodów
rolki linowej
prowadnice na słupach bramek
na słupach przestrzennych
jednostronne
jednostronny
jednostronny
dwustronne
dwustronny
dwustronny
z uchwytami
izolatora odciągu wysięgu
170
450
wzdłużny
klinowy do przewodów jezdnych
liny nośnej
wahliwy żeliwny
przelotowy śrubowo -stożkowy
klinowa
Cu i Fe KUCA
Strona 9 z 26
0438
1540 -1÷3
1550 -1÷3
1560 -1÷3
4110 -1
4120 -1÷4
4130 -2
4130 -1
4140 -1÷2
4150 -1
4160 -1
4410 -1
4420 -1
4430 -1
4440 -1÷6
4450 -1
4460 -1÷3
4490 -1÷3
4560 -1
4570 -1
4600 -1, 2
4610 -1÷8, 10
4620 -1÷8, 10
4630 -1÷8, 10
4640 -3, 5, 7, 8, 10
4650 -3, 5, 7, 8, 10
4660 -3, 5, 7, 8, 10
4670 -5, 7, 8, 10
4700 -1
4710 -1, 2
4720 -2
4730 -1
4740 -1
5040 -1÷3
5110 -1÷4
5120 -5÷9
5160 -5, 7, 9, 0
5180 -6, 7, 0
5210 -1÷4
Numer
dopuszczenia
b/n
b/n
b/n
b/n
b/n
b/n
b/n
b/n
b/n
b/n
b/n
b/n
b/n
b/n
b/n
b/n
b/n
b/n
D/IEN/22/2015
D/IEN/22/2015
D/IEN/06/2016
D/IEN/06/2016
D/IEN/06/2016
D/IEN/06/2016
D/IEN/06/2016
b/n
b/n
b/n
b/n
b/n
b/n
b/n
b/n
b/n
b/n
b/n
b/n
b/n
b/n
b/n
b/n
b/n
b/n
b/n
b/n
b/n
b/n
b/n
b/n
b/n
b/n
b/n
b/n
b/n
b/n
b/n
b/n
b/n
b/n
b/n
b/n
b/n
b/n
b/n
Stan na dzień: 2016-08-19
Okres/data
ważności
Podstawa
dopuszczenia
nie nadano
nie nadano
nie nadano
nie nadano
nie nadano
nie nadano
nie nadano
nie nadano
nie nadano
nie nadano
nie nadano
nie nadano
nie nadano
nie nadano
nie nadano
nie nadano
nie nadano
nie nadano
2020-09-30
2020-09-30
2021-06-30
2021-06-30
2021-06-30
2021-06-30
2021-06-30
nie nadano
nie nadano
nie nadano
nie nadano
nie nadano
nie nadano
nie nadano
nie nadano
nie nadano
nie nadano
nie nadano
nie nadano
nie nadano
nie nadano
nie nadano
nie nadano
nie nadano
nie nadano
nie nadano
nie nadano
nie nadano
nie nadano
nie nadano
nie nadano
nie nadano
nie nadano
nie nadano
nie nadano
nie nadano
nie nadano
nie nadano
nie nadano
nie nadano
nie nadano
nie nadano
nie nadano
nie nadano
nie nadano
nie nadano
Starsze - OSW
Starsze - OSW
Starsze - OSW
Starsze - OSW
Starsze - OSW
Starsze - OSW
Starsze - OSW
Starsze - OSW
Starsze - OSW
Starsze - OSW
Starsze - OSW
Starsze - OSW
Starsze - OSW
Starsze - OSW
Starsze - OSW
Starsze - OSW
Starsze - OSW
Starsze - OSW
PW-17
PW-17
PW-17
PW-17
PW-17
PW-17
PW-17
Starsze - SIEĆ
Starsze - SIEĆ
Starsze - SIEĆ
Starsze - SIEĆ
Starsze - SIEĆ
Starsze - SIEĆ
Starsze - SIEĆ
Starsze - SIEĆ
Starsze - SIEĆ
Starsze - SIEĆ
Starsze - SIEĆ
Starsze - SIEĆ
Starsze - SIEĆ
Starsze - SIEĆ
Starsze - SIEĆ
Starsze - SIEĆ
Starsze - SIEĆ
Starsze - SIEĆ
Starsze - SIEĆ
Starsze - SIEĆ
Starsze - SIEĆ
Starsze - SIEĆ
Starsze - SIEĆ
Starsze - SIEĆ
Starsze - SIEĆ
Starsze - SIEĆ
Starsze - SIEĆ
Starsze - SIEĆ
Starsze - SIEĆ
Starsze - SIEĆ
Starsze - SIEĆ
Starsze - SIEĆ
Starsze - SIEĆ
Starsze - SIEĆ
Starsze - SIEĆ
Starsze - SIEĆ
Starsze - SIEĆ
Starsze - SIEĆ
Starsze - SIEĆ
Data ost.
Zmiany
160603
160603
160603
160603
160603
160415
160415
160603
160603
Uwagi
DOPUSZCZANIE ELEMENTÓW PODSYSTEMÓW I TECHNOLOGII PRZEZNACZONYCH DO STOSOWANIA NA LINIACH KOLEJOWYCH ZARZĄDZANYCH PRZEZ PKP POLSKIE LINIE KOLEJOWE S.A.
Wspólna lista Dopuszczeń wydanych wg. Procedury SMS PW-17 oraz procedur wcześniejszych – branża elektroenergetyki.
Logo podmiotu lub nazwa
skrócona *3)
Nr. w kat.
'KOLPROJEKT'
Numer
dopuszczenia
Okres/data
ważności
Podstawa
dopuszczenia
5250 -5÷9
5250 -5÷8
5300 -1
5340 -1÷2
5350 -1
5360 -1
5380 -1
5400 -15÷19
5400 -5÷7
5410 -5
b/n
b/n
b/n
b/n
b/n
b/n
b/n
b/n
b/n
b/n
nie nadano
nie nadano
nie nadano
nie nadano
nie nadano
nie nadano
nie nadano
nie nadano
nie nadano
nie nadano
Starsze - SIEĆ
Starsze - SIEĆ
Starsze - SIEĆ
Starsze - SIEĆ
Starsze - SIEĆ
Starsze - SIEĆ
Starsze - SIEĆ
Starsze - SIEĆ
Starsze - SIEĆ
Starsze - SIEĆ
5420 -1, 2, 5
b/n
nie nadano
Starsze - SIEĆ
5500 -15÷18
5500 -5÷7
5520 -16÷18
5520 -5÷8
5520 -6÷8
5530 -6÷8
5550 -15÷19
5550 -5÷6
5560 -15
5560 -5
5570 -15, 16, 19
5570 -5, 6
5580 -8, 9
5590 -1÷3
5670 -1÷3
5680 -1, 2
5810 -1
5820 -1, 2
5830 -1, 2
5840 -1, 2
5850 -1, 2
5860 -1, 2
5880 -1
5910 -1, 2
5920 -1, 2
5930 -1, 2
6001 -1÷14
6002 -1÷11
6007 -1÷14
6008 -1÷14
6124 -1, 2
6130 -1÷3
6201 -21÷24
6201 -1÷4
6201 -11÷14
6202 -1
6203 -1
6204 -1, 2
6205 -1, 2
6206 -1, 2
6207 -1+3
6208 -1+3
6209 -1+3
6212 -1
6320 -1
6321 -1
6340 -1
b/n
b/n
b/n
b/n
b/n
b/n
b/n
b/n
b/n
b/n
b/n
b/n
b/n
b/n
b/n
b/n
b/n
b/n
b/n
b/n
b/n
b/n
b/n
b/n
b/n
b/n
b/n
b/n
b/n
b/n
b/n
b/n
b/n
b/n
b/n
b/n
b/n
b/n
b/n
b/n
b/n
b/n
b/n
b/n
b/n
b/n
b/n
nie nadano
nie nadano
nie nadano
nie nadano
nie nadano
nie nadano
nie nadano
nie nadano
nie nadano
nie nadano
nie nadano
nie nadano
nie nadano
nie nadano
nie nadano
nie nadano
nie nadano
nie nadano
nie nadano
nie nadano
nie nadano
nie nadano
nie nadano
nie nadano
nie nadano
nie nadano
nie nadano
nie nadano
nie nadano
nie nadano
nie nadano
nie nadano
nie nadano
nie nadano
nie nadano
nie nadano
nie nadano
nie nadano
nie nadano
nie nadano
nie nadano
nie nadano
nie nadano
nie nadano
nie nadano
nie nadano
nie nadano
Starsze - SIEĆ
Starsze - SIEĆ
Starsze - SIEĆ
Starsze - SIEĆ
Starsze - SIEĆ
Starsze - SIEĆ
Starsze - SIEĆ
Starsze - SIEĆ
Starsze - SIEĆ
Starsze - SIEĆ
Starsze - SIEĆ
Starsze - SIEĆ
Starsze - SIEĆ
Starsze - SIEĆ
Starsze - SIEĆ
Starsze - SIEĆ
Starsze - SIEĆ
Starsze - SIEĆ
Starsze - SIEĆ
Starsze - SIEĆ
Starsze - SIEĆ
Starsze - SIEĆ
Starsze - SIEĆ
Starsze - SIEĆ
Starsze - SIEĆ
Starsze - SIEĆ
Starsze - SIEĆ
Starsze - SIEĆ
Starsze - SIEĆ
Starsze - SIEĆ
Starsze - SIEĆ
Starsze - SIEĆ
Starsze - SIEĆ
Starsze - SIEĆ
Starsze - SIEĆ
Starsze - SIEĆ
Starsze - SIEĆ
Starsze - SIEĆ
Starsze - SIEĆ
Starsze - SIEĆ
Starsze - SIEĆ
Starsze - SIEĆ
Starsze - SIEĆ
Starsze - SIEĆ
Starsze - SIEĆ
Starsze - SIEĆ
Starsze - SIEĆ
6410 -15÷19
b/n
nie nadano
Starsze - SIEĆ
6410 -6÷8
6511 -1
6720 -1
b/n
b/n
b/n
nie nadano
nie nadano
nie nadano
Starsze - SIEĆ
Starsze - SIEĆ
Starsze - SIEĆ
Opis produktu
KUCA
KUCA
KUCA
KUCA
KUCA
KUCA
KUCA
KUCA
KUCA
KUCA
Złączka
Złączka
Uchwyt odległościowy
Uchwyt równoległy
Uchwyt odległościowy
Uchwyt równoległy
Uchwyt równoległy
Zacisk
Zacisk
Uchwyt równoległy
stożkowa liny nośnej
stożkowa liny nośnej
do przewodów jezdnych
podwójny
do 4 przew. Jezdnych
potrójny
rozjazdowy
równoległy lina, przewód jezdny
równoległy lina, przewód jezdny
przewodu jezdnego z liną nośną
KUCA
Uchwyt wieszakowy
uniwersalny
KUCA
KUCA
KUCA
KUCA
KUCA
KUCA
KUCA
KUCA
KUCA
KUCA
KUCA
KUCA
KUCA
KUCA
KUCA
KUCA
KUCA
KUCA
KUCA
KUCA
KUCA
KUCA
KUCA
KUCA
KUCA
KUCA
KUCA
KUCA
KUCA
KUCA
KUCA
KUCA
KUCA
KUCA
KUCA
KUCA
KUCA
KUCA
KUCA
KUCA
KUCA
KUCA
KUCA
KUCA
KUCA
KUCA
KUCA
Uchwyt równoległy
Uchwyt równoległy
Uchwyt
Uchwyt
Uchwyt
Uchwyt
Uchwyt równoległy
Uchwyt równoległy
Uchwyt równoległy
Uchwyt równoległy
Uchwyt równoległy
Uchwyt równoległy
Uchwyt równoległy
Zacisk
Zacisk
Zacisk
Łącznik szynowy
Łącznik szynowy
Łącznik szynowy
Połączenia uszyniające
Połączenia uszyniające
Połączenia uszyniające
Połączenie odłącznika z uszynieniem
Łącznik szynowy
Łącznik szynowy
Łącznik szynowy
Ukośnik rurowy
Odciąg ukośnika
Odciąg ukośnika
Odciąg ukośnika
Wysięgniki pomocnicze liny nośnej
Wysięgniki przewodu uszyniającego
Ramię odciągowe
Ramię odciągowe
Ramię odciągowe
Ramię odciągowe
Ramię odciągowe
Ramię odciągowe
Ramię odciągowe
Ramię odciągowe
Ramię odciągowe
Ramię odciągowe
Ramię odciągowe
Ramię odciągowe
Kompensator skrętu
Ciężar naprężający
Śruba rzymska
do dwóch lin
do dwóch lin
liny uelastyczniającej
liny uelastyczniającej
liny uelastyczniającej
liny uelastyczniającej
do dwóch lin
do dwóch lin
do dwóch lin
do dwóch lin
do dwóch lin
do dwóch lin
do dwóch lin
mostkowy
uszyniający do lin
szynowy
podłużny
z linki Cu 95
z linki Cu 95
prętem Fe w izolacji
linką Cu50 w izolacji
kablem YKY 1x50
linką L50
podłużny, z tulejką zaciskową
z linki Cu95 z tulejką zaciskową
z linki Cu95 z tulejką zaciskową
KUCA
Uchwyt równoległy
do przewodu jezdnego
KUCA
KUCA
KUCA
Uchwyt równoległy
Łącznik pojedynczy
Łącznik izolatora z uchwytem podwieszeniowym
przewodu jezdnego z liną nośną
płaski
Cu KUCA
100 i 150 CuNi2Si KUCA
CuNi2Si KUCA
70 KUCA
Djp. 100 lub 150 CuNi2Si
KUCA
CuNi2Si KUCA
CuNi2Si KUCA
KUCA
CuNi2Si KUCA
CuNi2Si KUCA
CuNi2Si KUCA
CuNi2Si KUCA
Al. 120 dł. 300 mm
bez izolacji
w izolacji
bez izolacji
w izolacji
rurowego nieprzechylnego
rurowego przechylnego
rurowego przechylnego
(stal OH18N9E) KUCA
lekkie
stal P235TR2 ocynkowana, KUCA
proste
łukowe
proste
łukowe
specjalne rozjazdowe
specjalne łukowe
specjalne rozjazdowe
specjalne łukowe
z otworem owalnym
żeliwny
wieszakowa KUCA
100 i 150 z liną CuNi2Si
KUCA
KUCA
Stan na dzień: 2016-08-19
Strona 10 z 26
Data ost.
Zmiany
160527
160527
160527
160527
160527
160527
Uwagi
DOPUSZCZANIE ELEMENTÓW PODSYSTEMÓW I TECHNOLOGII PRZEZNACZONYCH DO STOSOWANIA NA LINIACH KOLEJOWYCH ZARZĄDZANYCH PRZEZ PKP POLSKIE LINIE KOLEJOWE S.A.
Wspólna lista Dopuszczeń wydanych wg. Procedury SMS PW-17 oraz procedur wcześniejszych – branża elektroenergetyki.
Logo podmiotu lub nazwa
skrócona *3)
Nr. w kat.
'KOLPROJEKT'
Opis produktu
KUCA
KUCA
KUCA
Kołek gwintowany
Izolator trakcyjny
Izolator trakcyjny
do połączeń szynowych
cięgnowy z żywic organicznych
cięgnowy z żywic organicznych
ze śrubą
(do IS03) dł. 564 KUCA
6850 -1
7150
7150 -1, 2
KUCA
Izolator trakcyjny kompozytowy
cięgnowy
3 kV z kompensatorem skrętu
7160-1
KUCA
KUCA
KUCA
KUCA
KUCA
KUCA
KUCA
LA-FARGA
LA-FARGA
LA-FARGA
LAPP-INS
LAPP-INS
Odgromnik rożkowy
Iskiernik niskonapięciowy
Odłącznik
Odłącznik
Izolator sekcyjny
Izolator sekcyjny
Izolator sekcyjny
Przewód miedziany
Przewód jezdny
Przewód jezdny
Izolator trakcyjny
Izolator trakcyjny
LAPP-INS
Izolator trakcyjny
LAPP-INS
LAPP-INS
LAPP-INS
LAPP-INS
LAPP-INS
LENA-LIGHTING
LENA-LIGHTING
LENA-LIGHTING
LENA-LIGHTING
LENA-LIGHTING
LENA-LIGHTING
LENA-LIGHTING
LENA-LIGHTING
LENA-LIGHTING
LENA-LIGHTING
LUG-L-F
LUG-L-F
LUG-L-F
LUG-L-F
LUG-L-F
Izolator trakcyjny
Izolator trakcyjny
Izolator trakcyjny
Izolator trakcyjny
Izolator trakcyjny
Oprawa oświetleniowa
Oprawa oświetleniowa
Oprawa oświetleniowa
Oprawa oświetleniowa
Oprawa oświetleniowa
Oprawa oświetleniowa
Oprawa oświetleniowa
Oprawa oświetleniowa
Oprawa oświetleniowa
Oprawa oświetleniowa
Oprawa oświetleniowa
Oprawa oświetleniowa
Oprawa oświetleniowa
Oprawa oświetleniowa
Oprawa oświetleniowa
LUXIONA
Oprawa oświetleniowa
LUXIONA
Oprawa oświetleniowa
LUXIONA
LUXIONA
LUXIONA
LUXIONA
LUXIONA
LUXIONA
LUXIONA
LUXIONA
LUXIONA
LUXIONA
LUXIONA
LUXIONA
LUXIONA
Oprawa oświetleniowa
Oprawa oświetleniowa
Oprawa oświetleniowa
Oprawa oświetleniowa
Oprawa oświetleniowa
Oprawa oświetleniowa
Oprawa oświetleniowa
Oprawa oświetleniowa
Oprawa oświetleniowa
Oprawa oświetleniowa LED
Oprawa oświetleniowa LED
Oprawa oświetleniowa LED
Oprawa oświetleniowa LED
LUXIONA
Oprawa oświetleniowa LED
LUXMAT
MABO
MABO
MABO
MABO
(10 pozycji - obecnie f-ma LENA-LIGHTING)
Przegubowy uchwyt
Przegubowy uchwyt
Prowadnice ciężarów naprężających
Zabezpieczenie urządzenia naprężającego
Stan na dzień: 2016-08-19
Numer
dopuszczenia
Okres/data
ważności
Podstawa
dopuszczenia
b/n
b/n
b/n
nie nadano
nie nadano
nie nadano
Starsze - SIEĆ
Starsze - SIEĆ
Starsze - SIEĆ
2020-12-31
PW-17
D/IEN/28/2015
Data ost.
Zmiany
Uwagi
160802
(zamiennik dla FUK); 160802 zmiana numeru katal.: 71701 na 7160-1
7310 -1, 3, 4
7350 -1
7420 -1
7430 -1
7500 -1, 2
7520 -1
7520 -2
9811 -6, 7, 8
9871 -1
9872 -1, 3
b/n
b/n
b/n
b/n
b/n
b/n
b/n
b/n
b/n
b/n
b/n
b/n
nie nadano
nie nadano
nie nadano
nie nadano
nie nadano
nie nadano
nie nadano
nie nadano
nie nadano
nie nadano
nie nadano
nie nadano
Starsze - SIEĆ
Starsze - SIEĆ
Starsze - SIEĆ
Starsze - SIEĆ
Starsze - SIEĆ
Starsze - SIEĆ
Starsze - SIEĆ
Starsze - SIEĆ
Starsze - SIEĆ
Starsze - SIEĆ
Starsze - SIEĆ
Starsze - SIEĆ
ukośnika wysięgnika teownikowego
7010 -1, 2
b/n
nie nadano
Starsze - SIEĆ
odciągu wysięgnika
podwieszeniowy
podwieszeniowy
ukośnika wysięgnika rurowego
liniowy
7020 -1
7030 -1
7040 -1
7100 -1
7200
b/n
b/n
b/n
b/n
b/n
b/n
b/n
b/n
b/n
b/n
b/n
b/n
b/n
b/n
b/n
D/1-/IEN - 1/2013
D/1-/IEN - 1/2013
D/1-/IEN - 1/2013
D/1-/IEN - 1/2013
D/1-/IEN - 1/2013
nie nadano
nie nadano
nie nadano
nie nadano
nie nadano
nie nadano
nie nadano
nie nadano
nie nadano
nie nadano
nie nadano
nie nadano
nie nadano
nie nadano
nie nadano
2018-07-29
2018-07-29
2018-07-29
2018-07-29
2018-07-29
Starsze - SIEĆ
Starsze - SIEĆ
Starsze - SIEĆ
Starsze - SIEĆ
Starsze - SIEĆ
Starsze - OSW
Starsze - OSW
Starsze - OSW
Starsze - OSW
Starsze - OSW
Starsze - OSW
Starsze - OSW
Starsze - OSW
Starsze - OSW
Starsze - OSW
PW-17
PW-17
PW-17
PW-17
PW-17
D-13/IEN/13/2013
2018-11-21
PW-17
D/IEN/02/2014
2019-03-04
PW-17
D/IEN/01/2015
D/IEN/07/2015
D/IEN/08/2015
D/IEN/27/2015
D/IEN/27/2015
D/IEN/27/2015
D/IEN/27/2015
D/IEN/27/2015
D/IEN/02/2015
D/IEN/04/2015
D/IEN/06/2015
D/IEN/05/2015
D/IEN/09/2015
2020-03-31
2020-03-31
2020-03-31
2020-12-31
2020-12-31
2020-12-31
2020-12-31
2020-12-31
2020-01-12
2020-03-31
2020-03-31
2020-03-31
2020-03-31
PW-17
PW-17
PW-17
PW-17
PW-17
PW-17
PW-17
PW-17
PW-17
PW-17
PW-17
PW-17
PW-17
D/IEN/27/2015
2020-12-31
PW-17
160420
nie nadano
nie nadano
nie nadano
nie nadano
nie nadano
Starsze - OSW
Starsze - SIEĆ
Starsze - SIEĆ
Starsze - SIEĆ
Starsze - SIEĆ
150918
150918
150918
150918
ze stykiem uszyniającym
jednoprzewodowy
jednoprzewodowy
wielodrutowy goły
ISZ-06 KUCA
ISZ-06 KUCA
liniowy
liniowy
LT60/10K
LT60/10R
Atlantyk 3
Atlantyk strong
Vandallug
z 1 głośnikiem
z 2 głośnikami
do montażu w liniowe systemy
oświetlenia
do montażu w liniowych systemach
oświetlenia
strop/sufit; pod zadaszeniem
zewnętrzna
zewnętrzna
zewnętrzna
zewnętrzna
zewnętrzna
zewnętrzna
zewnętrzna
zewnętrzna, mocy 70/125/150 W
strop/sufit
strop/sufit
zewnętrzna
zewnętrzna
zewnętrzna/awaryjna
/naświetlacz
do kotwienia przewodów
rolki linowej
SHZ 100 100S PKP
SHZ 100 150S PKP
SHZ 100 70H PKP
SHZ 100 70S PKP
SHZ 100 100/70W S-PKP
SHZ 100 150/100S PKP
SHZ 100 150H PKP
SHZ 100 250/150W S-PKP
SHZ 100 250H PKP
SHZ 100 250S PKP
2x W HF
2x W PC HF
HF 2x W
Lugtrain PC 2x W
Lugtrain PC 2x W
PERON LINE 1x49W PPAR PC IP
65
PERON LINE 1x35W PPAR PC IP
65
NEPTUN PC
SPARTA 2
SPARTA 3
UPDOOR TC-DEL, 10÷26 W
UPDOOR TC-F, 18÷36 W
UPDOOR TC-L, 18 W
UPDOOR TC-SEL, 5÷11 W
UPDOOR TC-TEL, 13÷42 W
ART. (PAZARLAMA A.S.)
NEPTUN LED
NOVELINE LED
GALAXY LED
STREETPARK LED
UPDOOR LED, 10 W/1500 Lm
4430 -1
4450 -1
4470 -1,3,4
4600 -1, 2
Strona 11 z 26
b/n
b/n
b/n
b/n
b/n
uznanie po f. LUXMAT
uznanie po f. LUXMAT
uznanie po f. LUXMAT
uznanie po f. LUXMAT
uznanie po f. LUXMAT
uznanie po f. LUXMAT
uznanie po f. LUXMAT
uznanie po f. LUXMAT
uznanie po f. LUXMAT
uznanie po f. LUXMAT
151227
151227
151227
151227
151227
150701
Obecnie LENA-LIGHTING
DOPUSZCZANIE ELEMENTÓW PODSYSTEMÓW I TECHNOLOGII PRZEZNACZONYCH DO STOSOWANIA NA LINIACH KOLEJOWYCH ZARZĄDZANYCH PRZEZ PKP POLSKIE LINIE KOLEJOWE S.A.
Wspólna lista Dopuszczeń wydanych wg. Procedury SMS PW-17 oraz procedur wcześniejszych – branża elektroenergetyki.
Logo podmiotu lub nazwa
skrócona *3)
MABO
MABO
MABO
MABO
MABO
MABO
MABO
MABO
MABO
MABO
MABO
MABO
MABO
MABO
MABO
MABO
MABO
MABO
MABO
MABO
MABO
MABO
MABO
MABO
MABO
MABO
MACHINEN & ANLAGEN
MARBET
MARBET
MINER
Nr. w kat.
'KOLPROJEKT'
Opis produktu
Łącznik skręcony
Łącznik skręcony
Uchwyt rolek linowych
Uchwyt krańcowy
Złączka
Złączka
Uchwyt
Zacisk
Zacisk
Ukośnik rurowy
Odciąg ukośnika
Odciąg ukośnika
Ramię odciągowe
Ramię odciągowe
Ramię odciągowe
Ramię odciągowe
Ramię odciągowe
Ramię odciągowe
Ramię odciągowe
Ramię odciągowe
Ramię odciągowe
Śruba rzymska
Kołek gwintowany
Odgromnik rożkowy
Iskiernik niskonapięciowy
Izolator sekcyjny
EOR System
Ciężar naprężający
Ciężar naprężający
Wyburzanie fundamentów konstrukcji wsporczych i
odciągów sieci trakcyjnej
MINER
Wyburzanie fundamentów konstrukcji wsporczych i
odciągów sieci trakcyjnej
MIROSLAW-UJSKI
MIROSLAW-UJSKI
MIROSLAW-UJSKI
MIROSLAW-UJSKI
MIROSLAW-UJSKI
MONAT
MOSTOSTAL-SIEDLCE
MOSTOSTAL-SIEDLCE
MOSTOSTAL-SIEDLCE
MOSTOSTAL-SIEDLCE
MOSTOSTAL-SIEDLCE
MOSTOSTAL-SIEDLCE
MOSTOSTAL-SIEDLCE
MOSTOSTAL-SIEDLCE
MOSTOSTAL-SIEDLCE
MOSTOSTAL-SIEDLCE
MOSTOSTAL-SIEDLCE
MOSTOSTAL-SIEDLCE
MOSTOSTAL-SIEDLCE
MOSTOSTAL-SIEDLCE
MOSTOSTAL-SIEDLCE
MOSTOSTAL-SIEDLCE
MOSTOSTAL-SIEDLCE
MOSTOSTAL-SIEDLCE
MOSTOSTAL-SIEDLCE
MOSTOSTAL-SIEDLCE
MOSTOSTAL-SIEDLCE
MOSTOSTAL-SIEDLCE
MOSTOSTAL-SIEDLCE
MOSTOSTAL-SIEDLCE
Fundament palowy
Fundament palowy
Fundament palowy
Fundament palowy
Fundament palowy
EOR System
Odciąg prętowy słupa kotwowego
Odciąg prętowy słupa kotwowego
Odciąg prętowy słupa kotwowego
Słup trakcyjny
Słup trakcyjny
Słup trakcyjny
Słup trakcyjny
Słup trakcyjny
Słup trakcyjny
Słup trakcyjny
Słup trakcyjny
Słup trakcyjny
Słup trakcyjny
Słup trakcyjny
Połączenie międzysegmentowe
Słup trakcyjny
Słup trakcyjny
Słup trakcyjny
Słup trakcyjny
Słup trakcyjny
Segment słupa
Słup trakcyjny
Wysięg przez dwa tory
Połączenie międzysegmentowe
170
450
wydłużony
lin nośnych 70÷150
przewodu jezdnego
liny nośnej
liny uelastyczniającej
uszyniający do lin
szynowy
rurowego nieprzechylnego
rurowego przechylnego
proste
łukowe
proste
łukowe
specjalne rozjazdowe
specjalne łukowe
specjalne rozjazdowe
specjalne łukowe
z otworem owalnym
wieszakowa
do połączeń szynowych
System wodny
polimero-betonowy
polimero-betonowy
słupa trakcyjnego
słupa trakcyjnego
słupa trakcyjnego
odciągu prętowego
odciągu prętowego
EOR-1M
35 kN
35 kN
22 kN
z kratą trójkątną
z kratą trójkątną
z kratą trójkątną
z kratą trójkątną
z kratą trójkątną
z kratą trójkątną
z kratą trójkątną
z kratą trójkątną
z kratą trójkątną
z kratą trójkątną
z kratą trójkątną
słupów
dwuteownikowy
dwuteownikowy
dwuteownikowy
z kratą trójkątną
z kratą trójkątną
indywidualnego i bramki
kratowy
słupów kratowych przestrz.
i przewodu jezdnego 100
śrubowa
stożkowa
25-95; 25-120; 25-150
L50 i AFL70
KUCA
ze śrubą
IS-03 KUCA
typu MAS
4730 -1
4740 -1
5040 -1÷3
5120
5210 -3
5250 -6, 7
5520 -6÷8
5670 -1÷3
5680 -1, 2
6001 -1÷14
6002 -1÷11
6007 -1÷10
6202 -1
6203 -1
6204 -1, 2
6205 -1, 2
6206 -1, 2
6207 -1+3
6208 -1+3
6209 -1+3
6212 -1
6340 -1
6850 -1
7310
7350 -1
7500 -1, 2
6322
6323
Numer
dopuszczenia
b/n
b/n
b/n
b/n
b/n
b/n
b/n
b/n
b/n
b/n
b/n
b/n
b/n
b/n
b/n
b/n
b/n
b/n
b/n
b/n
b/n
b/n
b/n
b/n
b/n
b/n
U/2004/039
b/n
b/n
Stan na dzień: 2016-08-19
Okres/data
ważności
Podstawa
dopuszczenia
Data ost.
Zmiany
nie nadano
nie nadano
nie nadano
nie nadano
nie nadano
nie nadano
nie nadano
nie nadano
nie nadano
nie nadano
nie nadano
nie nadano
nie nadano
nie nadano
nie nadano
nie nadano
nie nadano
nie nadano
nie nadano
nie nadano
nie nadano
nie nadano
nie nadano
nie nadano
nie nadano
nie nadano
bezterminowo
nie nadano
nie nadano
Starsze - SIEĆ
Starsze - SIEĆ
Starsze - SIEĆ
Starsze - SIEĆ
Starsze - SIEĆ
Starsze - SIEĆ
Starsze - SIEĆ
Starsze - SIEĆ
Starsze - SIEĆ
Starsze - SIEĆ
Starsze - SIEĆ
Starsze - SIEĆ
Starsze - SIEĆ
Starsze - SIEĆ
Starsze - SIEĆ
Starsze - SIEĆ
Starsze - SIEĆ
Starsze - SIEĆ
Starsze - SIEĆ
Starsze - SIEĆ
Starsze - SIEĆ
Starsze - SIEĆ
Starsze - SIEĆ
Starsze - SIEĆ
Starsze - SIEĆ
Starsze - SIEĆ
wg. Świadectwa UTK
Starsze - SIEĆ
Starsze - SIEĆ
150918
150918
150918
150918
150918
150918
150918
150918
150918
150918
150918
150918
150918
150918
150918
150918
150918
150918
150918
150918
150918
150918
150918
150918
150918
150918
160425
metodą minerską
D/IEN/07/2014
2019-05-29
PW-17
140529
metodą minerską
D/IEN/07/2013
2019-05-29
PW-17
140529
b/n
b/n
b/n
b/n
b/n
D/IEN/03/2016
b/n
b/n
b/n
b/n
b/n
b/n
b/n
b/n
b/n
b/n
b/n
b/n
b/n
b/n
b/n
b/n
b/n
b/n
b/n
b/n
b/n
b/n
b/n
b/n
nie nadano
nie nadano
nie nadano
nie nadano
nie nadano
31 marca 2021
nie nadano
nie nadano
nie nadano
nie nadano
nie nadano
nie nadano
nie nadano
nie nadano
nie nadano
nie nadano
nie nadano
nie nadano
nie nadano
nie nadano
nie nadano
nie nadano
nie nadano
nie nadano
nie nadano
nie nadano
nie nadano
nie nadano
nie nadano
nie nadano
Starsze - SIEĆ
Starsze - SIEĆ
Starsze - SIEĆ
Starsze - SIEĆ
Starsze - SIEĆ
PW-17
Starsze - SIEĆ
Starsze - SIEĆ
Starsze - SIEĆ
Starsze - SIEĆ
Starsze - SIEĆ
Starsze - SIEĆ
Starsze - SIEĆ
Starsze - SIEĆ
Starsze - SIEĆ
Starsze - SIEĆ
Starsze - SIEĆ
Starsze - SIEĆ
Starsze - SIEĆ
Starsze - SIEĆ
Starsze - SIEĆ
Starsze - SIEĆ
Starsze - SIEĆ
Starsze - SIEĆ
Starsze - SIEĆ
Starsze - SIEĆ
Starsze - SIEĆ
Starsze - SIEĆ
Starsze - SIEĆ
Starsze - SIEĆ
160616
160616
160616
160616
160616
160329
160413
160413
160413
160413
160413
160413
160413
160413
160413
160413
160413
160413
160413
160413
typu MI
typu MII
typu MIII
typu MI-K
typu MIII-K
1491
1492
1493
1495
1497
skrócone
1540
1550
1560
1601
1602
1603
1604
1605
1607
1608
1611
1613
1614
1617
1660
1665
1666
1667
1682
1684
1689
1901
1910
1960
9,0 m
9,4 m
10,3 m
11,7 m
9,4 m
9,8 m
9,8 m
8,2 m
7,8 m
7,4 m
9,8 m, z pręta okr.
8,2 m
7,8 m
7,4 m
9,4 m na tereny górnicze
11,8 m na tereny górnicze
1,8 m na tereny górnicze
10,5 m dla wysięgu przez 2 t.
Strona 12 z 26
160413
160413
160413
160413
160413
160413
160413
160413
160413
Uwagi
Zastąpione Dopuszczeniem
nr. D/IEN/07/2014
*3)
*3)
*3)
*3)
*3)
*3)
*3)
*3)
*3)
*3)
*3)
*3)
*3)
*3)
*3)
*3)
*3)
*3)
*3)
*3)
*3)
*3)
*3)
*3)
DOPUSZCZANIE ELEMENTÓW PODSYSTEMÓW I TECHNOLOGII PRZEZNACZONYCH DO STOSOWANIA NA LINIACH KOLEJOWYCH ZARZĄDZANYCH PRZEZ PKP POLSKIE LINIE KOLEJOWE S.A.
Wspólna lista Dopuszczeń wydanych wg. Procedury SMS PW-17 oraz procedur wcześniejszych – branża elektroenergetyki.
Logo podmiotu lub nazwa
skrócona *3)
MOSTOSTAL-SIEDLCE
MOSTOSTAL-SIEDLCE
MOSTOSTAL-SIEDLCE
MOSTOSTAL-SIEDLCE
MOSTOSTAL-SIEDLCE
MOSTOSTAL-SIEDLCE
MOSTOSTAL-SIEDLCE
MOSTOSTAL-SIEDLCE
MOSTOSTAL-SIEDLCE
MOSTOSTAL-SIEDLCE
MOSTOSTAL-SIEDLCE
MOSTOSTAL-SIEDLCE
MOSTOSTAL-SIEDLCE
MOSTOSTAL-SIEDLCE
MOSTOSTAL-SIEDLCE
MOSTOSTAL-SIEDLCE
MOSTOSTAL-SIEDLCE
MOSTOSTAL-SIEDLCE
MOSTOSTAL-SIEDLCE
MOSTOSTAL-SIEDLCE
MOSTOSTAL-SIEDLCE
MOSTOSTAL-SIEDLCE
MOSTOSTAL-SIEDLCE
MOSTOSTAL-SIEDLCE
MOSTOSTAL-SIEDLCE
MOSTOSTAL-SIEDLCE
MOSTOSTAL-SIEDLCE
MOSTOSTAL-SIEDLCE
MOSTOSTAL-SIEDLCE
MOSTOSTAL-SIEDLCE
MOSTOSTAL-SIEDLCE
MOSTOSTAL-SIEDLCE
MOSTOSTAL-SIEDLCE
MOSTOSTAL-SIEDLCE
MOSTOSTAL-SIEDLCE
MOSTOSTAL-SIEDLCE
MOSTOSTAL-SIEDLCE
MOSTOSTAL-SIEDLCE
MOSTOSTAL-SIEDLCE
MOSTOSTAL-SIEDLCE
NTK-CABLES
NTK-CABLES
NTK-CABLES
PAMAR
PAMAR
PAMAR
PATEREK
PATEREK
PATEREK
PATEREK
PATEREK
PATEREK
PATEREK
PATEREK
PATEREK
PATEREK
PATEREK
PATEREK
PATEREK
PATEREK
PATEREK
PATEREK
PATEREK
Nr. w kat.
'KOLPROJEKT'
Opis produktu
Słup trakcyjny
Segment słupa
Segment dźwigara
Segment dźwigara
Segment dźwigara
Segment dźwigara
Segment dźwigara
Segment dźwigara
Segment dźwigara
Segment dźwigara
Segment dźwigara
Segment dźwigara
Segment dźwigara
Segment dźwigara
Segment dźwigara
Słup trakcyjny
Słup trakcyjny
Słup trakcyjny
Słup trakcyjny
Słup trakcyjny
Słup trakcyjny
Słup trakcyjny
Słup trakcyjny
Okucia
Połączenia segmentu
Słup trakcyjny
Słup trakcyjny
Słup trakcyjny
Słup trakcyjny
Słup trakcyjny
Słup trakcyjny
Słup trakcyjny
Słup trakcyjny
Słup trakcyjny
Słup trakcyjny
Słup trakcyjny
Słup trakcyjny
Słup trakcyjny
Słup trakcyjny
Segment słupa
Przewód miedziany
Przewód jezdny
Przewód jezdny
Łącznik szynowy
Preparat przeciwoblodzeniowy oraz
przeciwoszronieniowy sieci trakcyjnej
Urządzenie aplikujące
Odciąg prętowy słupa kotwowego
Odciąg prętowy słupa kotwowego
Odciąg prętowy słupa kotwowego
Odciąg prętowy słupa kotwowego
Odciąg prętowy słupa kotwowego
Odciąg prętowy słupa kotwowego
Słup trakcyjny
Słup trakcyjny
Słup trakcyjny
Słup trakcyjny
Słup trakcyjny
Słup trakcyjny
Słup trakcyjny
Słup trakcyjny
Słup trakcyjny
Słup trakcyjny
Słup trakcyjny
kratowy przestrz. dla ter. górn.
kratowy przestrz. dla ter. górn.
środkowy
boczny
boczny
boczny
boczny
boczny
boczny
boczny
boczny
boczny
boczny
przelotowo-krańcowy bramki
krańcowy bramki
przelotowo-krańcowy bramki
krańcowy bramki
przelotowo-krańcowy bramki
krańcowy bramki
przelotowo-krańcowy bramki
krańcowy bramki
dźwigara bramki
dźwigara bramki
przelotowo-krańcowy bramki
przelotowo-krańcowy bramki
przelotowo-krańcowy bramki
przelotowo-krańcowy bramki
krańcowy bramki
krańcowy bramki
krańcowy bramki
krańcowy bramki
krańcowy bramki
krańcowy bramki
krańcowy bramki
krańcowy bramki
krańcowy bramki
krańcowy bramki
bramkowego
wielodrutowy goły
11,7 m
1,66 m
25,6 m
18,3 m
11,0 m
3,7 m
11,7 m
10,8 m
9,9 m
7,6 m
7,1 m
6,2 m
5,3 m
4,8 m
3,9 m
10,7 m
10,5 m
11,5 m
11,3 m
8,7 m
8,5 m
11,9 m
11,7 m
8,2 m, na jeden fundament
9,0 m, na jeden fundament
9,5 m, na jeden fundament
8,2 m, na jeden fundament
9,0 m, na jeden fundament
9,5 m, na jeden fundament
8,2 m, na dwa fundamenty
9,0 m, na dwa fundamenty
9,4 m, na dwa fundamenty
8,2 m, na dwa fundamenty
9,0 m, na dwa fundamenty
9,5 m, na dwa fundamenty
11,7 m górniczy
9,3 m górniczy
1,66 m
1981
1989
3011
3012
3013
3014
3017
3018
3019
3020
3021
3022
3023
3024
3025
3031
3032
3033
3034
3035
3036
3037
3038
3050
3060
3111
3112
3113
3115
3116
3117
3121
3122
3123
3125
3126
3127
3833
3837
3839
9811 -1 ,2, 3, 6, 7, 8
9871 -1, 3
9872 -1, 3
PP
PAMAR PO
PAMAR UA-1
z kratą trójkątną
z kratą trójkątną
z kratą trójkątną
z kratą trójkątną
z kratą trójkątną
z kratą trójkątną
z kratą trójkątną
z kratą trójkątną
z kratą trójkątną
z kratą trójkątną
z kratą trójkątną
9,0 m
9,4 m
10,3 m
11,7 m
9,4 m
9,8 m
9,8 m
8,2 m
7,8 m
7,4 m
9,8 m, z pręta okr.
1540
1550
1560
1570
1580
1590
1601
1602
1603
1604
1605
1607
1608
1611
1613
1614
1617
Strona 13 z 26
Stan na dzień: 2016-08-19
Numer
dopuszczenia
Okres/data
ważności
Podstawa
dopuszczenia
Data ost.
Zmiany
b/n
b/n
b/n
b/n
b/n
b/n
b/n
b/n
b/n
b/n
b/n
b/n
b/n
b/n
b/n
b/n
b/n
b/n
b/n
b/n
b/n
b/n
b/n
b/n
b/n
b/n
b/n
b/n
b/n
b/n
b/n
b/n
b/n
b/n
b/n
b/n
b/n
b/n
b/n
b/n
b/n
b/n
b/n
b/n
nie nadano
nie nadano
nie nadano
nie nadano
nie nadano
nie nadano
nie nadano
nie nadano
nie nadano
nie nadano
nie nadano
nie nadano
nie nadano
nie nadano
nie nadano
nie nadano
nie nadano
nie nadano
nie nadano
nie nadano
nie nadano
nie nadano
nie nadano
nie nadano
nie nadano
nie nadano
nie nadano
nie nadano
nie nadano
nie nadano
nie nadano
nie nadano
nie nadano
nie nadano
nie nadano
nie nadano
nie nadano
nie nadano
nie nadano
nie nadano
nie nadano
nie nadano
nie nadano
nie nadano
Starsze - SIEĆ
Starsze - SIEĆ
Starsze - SIEĆ
Starsze - SIEĆ
Starsze - SIEĆ
Starsze - SIEĆ
Starsze - SIEĆ
Starsze - SIEĆ
Starsze - SIEĆ
Starsze - SIEĆ
Starsze - SIEĆ
Starsze - SIEĆ
Starsze - SIEĆ
Starsze - SIEĆ
Starsze - SIEĆ
Starsze - SIEĆ
Starsze - SIEĆ
Starsze - SIEĆ
Starsze - SIEĆ
Starsze - SIEĆ
Starsze - SIEĆ
Starsze - SIEĆ
Starsze - SIEĆ
Starsze - SIEĆ
Starsze - SIEĆ
Starsze - SIEĆ
Starsze - SIEĆ
Starsze - SIEĆ
Starsze - SIEĆ
Starsze - SIEĆ
Starsze - SIEĆ
Starsze - SIEĆ
Starsze - SIEĆ
Starsze - SIEĆ
Starsze - SIEĆ
Starsze - SIEĆ
Starsze - SIEĆ
Starsze - SIEĆ
Starsze - SIEĆ
Starsze - SIEĆ
Starsze - SIEĆ
Starsze - SIEĆ
Starsze - SIEĆ
Starsze - SIEĆ
160413
160413
D/IEN/04/2014
2019-05-14
PW-17
D/IEN/04/2014
b/n
b/n
b/n
b/n
b/n
b/n
b/n
b/n
b/n
b/n
b/n
b/n
b/n
b/n
b/n
b/n
b/n
2019-05-14
nie nadano
nie nadano
nie nadano
nie nadano
nie nadano
nie nadano
nie nadano
nie nadano
nie nadano
nie nadano
nie nadano
nie nadano
nie nadano
nie nadano
nie nadano
nie nadano
nie nadano
PW-17
Starsze - SIEĆ
Starsze - SIEĆ
Starsze - SIEĆ
Starsze - SIEĆ
Starsze - SIEĆ
Starsze - SIEĆ
Starsze - SIEĆ
Starsze - SIEĆ
Starsze - SIEĆ
Starsze - SIEĆ
Starsze - SIEĆ
Starsze - SIEĆ
Starsze - SIEĆ
Starsze - SIEĆ
Starsze - SIEĆ
Starsze - SIEĆ
Starsze - SIEĆ
160414
160414
160414
160414
160414
160414
160414
160414
160414
160414
160414
160414
160414
160414
160414
160414
160414
160414
160414
160413
160413
160413
160413
160413
160413
160413
160413
160413
160413
160413
160413
160413
Uwagi
*3)
*3)
*3)
*3)
*3)
*3)
*3)
*3)
*3)
*3)
*3)
*3)
*3)
*3)
*3)
*3)
*3)
*3)
*3)
*3)
*3)
*3)
*3)
*3) +pismo uzn. 16-19
*3) +pismo uzn. 16-19
*3)
*3)
*3)
*3)
*3)
*3)
*3)
*3)
*3)
*3)
*3)
*3)
*3)
*3)
*3)
DOPUSZCZANIE ELEMENTÓW PODSYSTEMÓW I TECHNOLOGII PRZEZNACZONYCH DO STOSOWANIA NA LINIACH KOLEJOWYCH ZARZĄDZANYCH PRZEZ PKP POLSKIE LINIE KOLEJOWE S.A.
Wspólna lista Dopuszczeń wydanych wg. Procedury SMS PW-17 oraz procedur wcześniejszych – branża elektroenergetyki.
Logo podmiotu lub nazwa
skrócona *3)
PATEREK
PATEREK
PATEREK
PATEREK
PATEREK
PATEREK
PATEREK
PATEREK
PATEREK
PATEREK
PATEREK
PATEREK
PATEREK
PATEREK
PATEREK
PATEREK
PATEREK
PATEREK
PATEREK
PATEREK
PATEREK
PATEREK
PATEREK
PATEREK
PATEREK
PATEREK
PATEREK
PATEREK
PATEREK
PATEREK
PATEREK
PATEREK
PATEREK
PATEREK
PATEREK
PATEREK
PATEREK
PATEREK
PATEREK
PATEREK
PATEREK
PATEREK
PATEREK
PATEREK
PATEREK
PATEREK
PATEREK
PATEREK
PATEREK
PATEREK
PATEREK
PATEREK
PATEREK
PATEREK
PATEREK
PATEREK
PATEREK
PATEREK
PATEREK
PATEREK
PATEREK
PATEREK
PATEREK
PATEREK
Nr. w kat.
'KOLPROJEKT'
Opis produktu
Słup trakcyjny
Połączenie międzysegmentowe
Słup trakcyjny
Słup trakcyjny
Słup trakcyjny 9,8 m
Słup trakcyjny
Segment słupa
Segment słupa
Odciągi prętowe słupów kotwowych
Słup trakcyjny
Słup trakcyjny
Wysięg przez dwa tory
Połączenie międzysegmentowe
Słup trakcyjny
Segment słupa
Opaska do mocowania na słupach
Segment dźwigara
Segment dźwigara
Segment dźwigara
Segment dźwigara
Segment dźwigara
Segment dźwigara
Segment dźwigara
Segment dźwigara
Segment dźwigara
Segment dźwigara
Segment dźwigara
Segment dźwigara
Segment dźwigara
Segment dźwigara
Segment dźwigara
Segment dźwigara
Segment dźwigara
Segment dźwigara
Segment dźwigara
Segment dźwigara
Segment dźwigara
Słup trakcyjny
Słup trakcyjny
Słup trakcyjny
Słup trakcyjny
Słup trakcyjny
Słup trakcyjny
Słup trakcyjny
Słup trakcyjny
Segment łączący
Okucia
Połączenia segmentu
Słup trakcyjny
Słup trakcyjny
Słup trakcyjny
Słup trakcyjny
Słup trakcyjny
Słup trakcyjny
Słup trakcyjny
Słup trakcyjny
Słup trakcyjny
Słup trakcyjny
Słup trakcyjny
Słup trakcyjny
Słup trakcyjny
Słup trakcyjny
Słup trakcyjny
Segment słupa
indywidualny
słupów
dwuteownikowy
z kratą trójkątną
dla terenów górniczych
z kratą trójkątną
indywidualnego i bramki
indywidualnego i bramki
dla terenów górniczych
kratowy
do wysięgu przez dwa tory
słupów kratowych przestrz.
kratowy przestrz. dla ter. górn.
kratowy przestrz. dla ter. górn.
tablic informacyjnych
środkowy
boczny
boczny
boczny
boczny
boczny
boczny
boczny
boczny
boczny
przelotowo-krańcowy bramki
krańcowy bramki
przelotowo-krańcowy bramki
krańcowy bramki
przelotowo-krańcowy bramki
krańcowy bramki
przelotowo-krańcowy bramki
krańcowy bramki
dźwigara bramki
dźwigara bramki
przelotowo-krańcowy bramki
przelotowo-krańcowy bramki
przelotowo-krańcowy bramki
przelotowo-krańcowy bramki
krańcowy bramki
krańcowy bramki
krańcowy bramki
krańcowy bramki
krańcowy bramki
krańcowy bramki
krańcowy bramki
krańcowy bramki
bramkowy
krańcowy bramki
krańcowy bramki
bramkowego
Nowa generacja k. w.
8,2 m
9,4 m na tereny górnicze
11,8 m na tereny górnicze
1,8 m na tereny górnicze
na podkopy górnicze
10,5 m dla wysięgu przez 2 t.
11,7 m
1,66 m
Nowa generacja k. w.
Nowa generacja k. w.
Nowa generacja k. w.
Nowa generacja k. w.
Nowa generacja k. w.
Nowa generacja k. w.
Nowa generacja k. w.
Nowa generacja k. w.
Nowa generacja k. w.
Nowa generacja k. w.
Nowa generacja k. w.
Nowa generacja k. w.
11,0 m
11,7 m
10,8 m
9,9 m
7,6 m
7,1 m
6,2 m
5,3 m
4,8 m
3,9 m
10,7 m
10,5 m
11,5 m
11,3 m
8,7 m
8,5 m
11,9 m
11,7 m
Nowa generacja k. w.
8,2 m, na jeden fundament
9,0 m, na jeden fundament
9,5 m, na jeden fundament
8,2 m, na jeden fundament
9,0 m, na jeden fundament
9,5 m, na jeden fundament
8,2 m, na dwa fundamenty
9,0 m, na dwa fundamenty
9,4 m, na dwa fundamenty
8,2 m, na dwa fundamenty
9,0 m, na dwa fundamenty
9,5 m, na dwa fundamenty
Nowa generacja k. w.
11,7 m górniczy
9,3 m górniczy
1,66 m
1631
1660
1665
1682
1683
1684
1689
1810
1820
1901
1902
1910
1960
1981
1989
2350
3001
3002
3003
3004
3005
3006
3007
3008
3009
3010
3011
3013
3017
3018
3019
3020
3021
3022
3023
3024
3025
3031
3032
3033
3034
3035
3036
3037
3038
3040
3050
3060
3111
3112
3113
3115
3116
3117
3121
3122
3123
3125
3126
3127
3151
3833
3837
3839
Strona 14 z 26
Stan na dzień: 2016-08-19
Numer
dopuszczenia
Okres/data
ważności
Podstawa
dopuszczenia
Data ost.
Zmiany
b/n
b/n
b/n
b/n
b/n
b/n
b/n
b/n
b/n
b/n
b/n
b/n
b/n
b/n
b/n
b/n
b/n
b/n
b/n
b/n
b/n
b/n
b/n
b/n
b/n
b/n
b/n
b/n
b/n
b/n
b/n
b/n
b/n
b/n
b/n
b/n
b/n
b/n
b/n
b/n
b/n
b/n
b/n
b/n
b/n
b/n
b/n
b/n
b/n
b/n
b/n
b/n
b/n
b/n
b/n
b/n
b/n
b/n
b/n
b/n
b/n
b/n
b/n
b/n
nie nadano
nie nadano
nie nadano
nie nadano
nie nadano
nie nadano
nie nadano
nie nadano
nie nadano
nie nadano
nie nadano
nie nadano
nie nadano
nie nadano
nie nadano
nie nadano
nie nadano
nie nadano
nie nadano
nie nadano
nie nadano
nie nadano
nie nadano
nie nadano
nie nadano
nie nadano
nie nadano
nie nadano
nie nadano
nie nadano
nie nadano
nie nadano
nie nadano
nie nadano
nie nadano
nie nadano
nie nadano
nie nadano
nie nadano
nie nadano
nie nadano
nie nadano
nie nadano
nie nadano
nie nadano
nie nadano
nie nadano
nie nadano
nie nadano
nie nadano
nie nadano
nie nadano
nie nadano
nie nadano
nie nadano
nie nadano
nie nadano
nie nadano
nie nadano
nie nadano
nie nadano
nie nadano
nie nadano
nie nadano
Starsze - SIEĆ
Starsze - SIEĆ
Starsze - SIEĆ
Starsze - SIEĆ
Starsze - SIEĆ
Starsze - SIEĆ
Starsze - SIEĆ
Starsze - SIEĆ
Starsze - SIEĆ
Starsze - SIEĆ
Starsze - SIEĆ
Starsze - SIEĆ
Starsze - SIEĆ
Starsze - SIEĆ
Starsze - SIEĆ
Starsze - SIEĆ
Starsze - SIEĆ
Starsze - SIEĆ
Starsze - SIEĆ
Starsze - SIEĆ
Starsze - SIEĆ
Starsze - SIEĆ
Starsze - SIEĆ
Starsze - SIEĆ
Starsze - SIEĆ
Starsze - SIEĆ
Starsze - SIEĆ
Starsze - SIEĆ
Starsze - SIEĆ
Starsze - SIEĆ
Starsze - SIEĆ
Starsze - SIEĆ
Starsze - SIEĆ
Starsze - SIEĆ
Starsze - SIEĆ
Starsze - SIEĆ
Starsze - SIEĆ
Starsze - SIEĆ
Starsze - SIEĆ
Starsze - SIEĆ
Starsze - SIEĆ
Starsze - SIEĆ
Starsze - SIEĆ
Starsze - SIEĆ
Starsze - SIEĆ
Starsze - SIEĆ
Starsze - SIEĆ
Starsze - SIEĆ
Starsze - SIEĆ
Starsze - SIEĆ
Starsze - SIEĆ
Starsze - SIEĆ
Starsze - SIEĆ
Starsze - SIEĆ
Starsze - SIEĆ
Starsze - SIEĆ
Starsze - SIEĆ
Starsze - SIEĆ
Starsze - SIEĆ
Starsze - SIEĆ
Starsze - SIEĆ
Starsze - SIEĆ
Starsze - SIEĆ
Starsze - SIEĆ
160322
160322
160413
160413
160811
160413
160413
160415
160811
160413
160415
160413
160413
160413
160413
160414
160414
160414
160414
160414
160414
160414
160414
160414
160414
160414
160414
160414
160414
160414
160414
160414
160414
160413
160413
160322
Uwagi
Nr. katal. proponowany
nazwa wg. FUK
DOPUSZCZANIE ELEMENTÓW PODSYSTEMÓW I TECHNOLOGII PRZEZNACZONYCH DO STOSOWANIA NA LINIACH KOLEJOWYCH ZARZĄDZANYCH PRZEZ PKP POLSKIE LINIE KOLEJOWE S.A.
Wspólna lista Dopuszczeń wydanych wg. Procedury SMS PW-17 oraz procedur wcześniejszych – branża elektroenergetyki.
Logo podmiotu lub nazwa
skrócona *3)
Nr. w kat.
'KOLPROJEKT'
Opis produktu
PATEREK
PATEREK
PATEREK
PATEREK
PATEREK
PATEREK
PATEREK
PATEREK
PATEREK
PATEREK
PATEREK
PATEREK
PATEREK
PATEREK
Okucia
Kotwienia odciągów i naciągów na słupach
Wsporniki ukośników
Uchwyt izolatora odciągu wysięgu
Konstrukcje pod odłącznik
Prowadnice drążka napędowego odłączników
Konstrukcje mocujące skrzynkę napędową
Konstrukcje mocujące skrzynkę napędową
Wspornik do dźwigara bramki
Wspornik do dźwigara bramki
Konstrukcja
Uchwyt prowadnic ciężarów naprężających
Wspornik
Opaski do montażu zwierników
dźwigara bramki
liny uszyniającej
Nowa generacja k. w.
Nowa generacja k. w.
Nowa generacja k. w.
3850
4540
4610
4620
4750
4770
4780
4790
4850
4850
4870
5090
6120
6810
PATEREK
Uchwyt
do mocowania przewodu uszynienia
Nowa generacja k. w.
6830
PATEREK
PFISTERER
PFISTERER
PFISTERER
PFISTERER
PFISTERER
PFISTERER
PFISTERER
PFISTERER
PFISTERER
PFISTERER
PFISTERER
PFISTERER
PHILIPS_PL
PHILIPS_PL
PHILIPS_PL
PHILIPS_PL
PHILIPS_PL
PHILIPS_PL
PINTSCH
PKP-EN_MAZ
PKP-EN_MAZ
PKP-EN_OU_W-WA
PKP-EN_OU_W-WA
PKP-EN_OU_W-WA
PKP-EN_OU_W-WA
PKP-EN_OU_W-WA
PKP-EN_PLN
PKP-EN_SLO
PKP-EN_SLO
PKP-EN_SLO
PKP-EN_SWI
PKP-EN_SWI
PKP-EN_SWI
PKP-EN_SWI
PKP-EN_WSC
PKP-EN_WSC
PKP-EN_WSC
PKP-EN_WSC
PKP-EN_WSC
PKP-EN_WSC
PKP-EN_WSC
PKP-EN_WSC
PKP-EN_WSC
POLCYNK
POLCYNK
POLCYNK
POLCYNK
Odgromnik rożkowy
Izolator trakcyjny kompozytowy
Izolator trakcyjny kompozytowy
Samoczynny system naprężania sieci trakcyjnej
Samoczynny system naprężania sieci trakcyjnej
Uchwyt przegubowy
Złączka
Uchwyt odległościowy
Uchwyt wieszakowy
Uchwyt
Uchwyt równoległy
Uchwyt równoległy
Uchwyt równoległy
Oprawa oświetleniowa
Oprawa oświetleniowa
Oprawa oświetleniowa
Oprawa oświetleniowa
Oprawa oświetleniowa
Oprawa oświetleniowa
EOR System
Zacisk
Połączenia uszyniające
Uchwyt przegubowy
Uchwyt przegubowy
Uchwyt równoległy
Uchwyt równoległy
Uchwyt równoległy
Oprawa oświetleniowa
Uchwyt rolek linowych
Cięgła linowe urządzenia naprężającego
Odgromnik rożkowy
Łącznik szynowy
Łącznik szynowy
Łącznik szynowy
Połączenia uszyniające
Słup trakcyjny
Zabezpieczenie urządzenia naprężającego
Łącznik podwójny
Zacisk
Połączenia uszyniające
Ukośnik rurowy
Odciąg ukośnika
Ramię odciągowe
Izolator trakcyjny
Odciąg prętowy słupa kotwowego
Odciąg prętowy słupa kotwowego
Odciąg prętowy słupa kotwowego
Słup trakcyjny
Nowa generacja k. w.
SILCOSIL 25 kV
SILCOSIL 3 kV
TENSOREX®
TENSOREX® C+
G1T
302.537.537
G1T-2
305.859.POL
23.5530 VKP V1
(150-70) GPF 2-70/150
(150-95) GPF 2-70/150
GPF 70/150
OPTIFLOOD MVP506
OPTIVISION MVP507
PACYFIC TCW216
SELENIUM SGP 340 FG
TEMPO 2 RVP251
TEMPO 3 RVP351
PINTSCH ABEN-ATE typu INSV
7310
jednostronne
jednostronny
- napęd silnikowy
odłącznika
i słupa przez dwa tory
i słupa przez dwa tory
do podwieszenia izolatora
przewodu jezdnego
przewodu jezdnego
do przewodów jezdnych
uniwersalny
liny uelastyczniającej
do dwóch lin
do dwóch lin
przewodu jezdnego z liną nośną
Modułowy syst. ogrz. rozjazdów
uszyniający do lin
prętem Fe w izolacji
do przewodu jezdnego
przewodu jezdnego
do dwóch lin
do dwóch lin
do dwóch lin
strop/sufit; pod zadaszeniem
podłużny, wg. BN-67/9317-55
z linki Cu 95
z linki Cu 95
prętem Fe w izolacji
z kratą trójkątną
wahliwo-przesuwne
Nowa generacja k. w.
Nowa generacja k. w.
Nowa generacja k. w.
Nowa generacja k. w.
Nowa generacja k. w.
Nowa generacja k. w.
Nowa generacja k. w.
Nowa generacja k. wsp.
4110-1
4130-1
5500-5
5500-6
5500-7
MULTIPLA 36W
bez izolacji
w izolacji
8,2 m
uszyniający do lin
prętem Fe w izolacji
cięgnowy z żywic organicznych
z kratą trójkątną
9,8 m
4130 -2
5210 -4
5300 -1
5420 -2
5530 -8
5550 -15
5550 -16
6410 -15
5670
5840 -1, 2
4110 -1
4130 -1
5500 -5, 6, 7
5560 -5
5570 -5, 6
4440
4490
7310
5810 -1
5820 -1, 2
5830 -1, 2
5840 -1, 2
1611
4600
4720
5670
5840
6001
6002
6201
7150
1540
1550
1560
1608
Strona 15 z 26
Stan na dzień: 2016-08-19
Numer
dopuszczenia
Okres/data
ważności
Podstawa
dopuszczenia
Data ost.
Zmiany
b/n
b/n
b/n
b/n
b/n
b/n
b/n
b/n
b/n
b/n
b/n
b/n
b/n
b/n
nie nadano
nie nadano
nie nadano
nie nadano
nie nadano
nie nadano
nie nadano
nie nadano
nie nadano
nie nadano
nie nadano
nie nadano
nie nadano
nie nadano
Starsze - SIEĆ
Starsze - SIEĆ
Starsze - SIEĆ
Starsze - SIEĆ
Starsze - SIEĆ
Starsze - SIEĆ
Starsze - SIEĆ
Starsze - SIEĆ
Starsze - SIEĆ
Starsze - SIEĆ
Starsze - SIEĆ
Starsze - SIEĆ
Starsze - SIEĆ
Starsze - SIEĆ
160415
b/n
nie nadano
Starsze - SIEĆ
nie nadano
nie nadano
nie nadano
nie nadano
nie nadano
nie nadano
nie nadano
nie nadano
nie nadano
nie nadano
nie nadano
nie nadano
nie nadano
nie nadano
nie nadano
nie nadano
nie nadano
nie nadano
nie nadano
bezterminowo
nie nadano
nie nadano
bezterminowo
bezterminowo
bezterminowo
bezterminowo
bezterminowo
2020-11-30
nie nadano
nie nadano
nie nadano
nie nadano
nie nadano
nie nadano
nie nadano
nie nadano
nie nadano
nie nadano
nie nadano
nie nadano
nie nadano
nie nadano
nie nadano
nie nadano
nie nadano
nie nadano
nie nadano
nie nadano
Starsze - SIEĆ
Starsze - SIEĆ
Starsze - SIEĆ
Starsze - SIEĆ
Starsze - SIEĆ
Starsze - SIEĆ
Starsze - SIEĆ
Starsze - SIEĆ
Starsze - SIEĆ
Starsze - SIEĆ
Starsze - SIEĆ
Starsze - SIEĆ
Starsze - SIEĆ
Starsze - OSW
Starsze - OSW
Starsze - OSW
Starsze - OSW
Starsze - OSW
Starsze - OSW
wg. Świadectwa UTK
Starsze - SIEĆ
Starsze - SIEĆ
PW-17
PW-17
PW-17
PW-17
PW-17
PW-17
Starsze - SIEĆ
Starsze - SIEĆ
Starsze - SIEĆ
Starsze - SIEĆ
Starsze - SIEĆ
Starsze - SIEĆ
Starsze - SIEĆ
Starsze - SIEĆ
Starsze - SIEĆ
Starsze - SIEĆ
Starsze - SIEĆ
Starsze - SIEĆ
Starsze - SIEĆ
Starsze - SIEĆ
Starsze - SIEĆ
Starsze - SIEĆ
Starsze - SIEĆ
Starsze - SIEĆ
Starsze - SIEĆ
Starsze - SIEĆ
b/n
b/n
b/n
b/n
b/n
b/n
b/n
b/n
b/n
b/n
b/n
b/n
b/n
b/n
b/n
b/n
b/n
b/n
b/n
U/2009/0103
b/n
b/n
D/IEN/01/2014
D/IEN/01/2014
D - 3/IEN/3/2013
D - 3/IEN/3/2013
D - 3/IEN/3/2013
D/IEN/30/2015
b/n
b/n
b/n
b/n
b/n
b/n
b/n
b/n
b/n
b/n
b/n
b/n
b/n
b/n
b/n
b/n
b/n
b/n
b/n
b/n
160415
160415
160415
160415
160425
160415
160420
160527
160527
160527
160413
160413
Uwagi
DOPUSZCZANIE ELEMENTÓW PODSYSTEMÓW I TECHNOLOGII PRZEZNACZONYCH DO STOSOWANIA NA LINIACH KOLEJOWYCH ZARZĄDZANYCH PRZEZ PKP POLSKIE LINIE KOLEJOWE S.A.
Wspólna lista Dopuszczeń wydanych wg. Procedury SMS PW-17 oraz procedur wcześniejszych – branża elektroenergetyki.
Logo podmiotu lub nazwa
skrócona *3)
POLCYNK
POLCYNK
POLCYNK
POLCYNK
POLCYNK
POLCYNK
POLCYNK
POLCYNK
POLCYNK
POLCYNK
POLCYNK
POLCYNK
POLCYNK
POLCYNK
POLCYNK
POLCYNK
POLCYNK
POLCYNK
POLCYNK
POLCYNK
POLCYNK
POLCYNK
POLCYNK
POLCYNK
POLCYNK
POLCYNK
POLCYNK
POLCYNK
POLCYNK
POLCYNK
POLCYNK
POLCYNK
POLCYNK
POLCYNK
POLCYNK
POLCYNK
POLCYNK
Nr. w kat.
'KOLPROJEKT'
Opis produktu
Numer
dopuszczenia
Okres/data
ważności
Podstawa
dopuszczenia
Data ost.
Zmiany
b/n
b/n
b/n
b/n
b/n
b/n
b/n
b/n
b/n
b/n
b/n
b/n
b/n
b/n
b/n
b/n
b/n
b/n
b/n
b/n
b/n
b/n
b/n
b/n
b/n
b/n
b/n
b/n
b/n
b/n
b/n
b/n
b/n
b/n
b/n
b/n
b/n
nie nadano
nie nadano
nie nadano
nie nadano
nie nadano
nie nadano
nie nadano
nie nadano
nie nadano
nie nadano
nie nadano
nie nadano
nie nadano
nie nadano
nie nadano
nie nadano
nie nadano
nie nadano
nie nadano
nie nadano
nie nadano
nie nadano
nie nadano
nie nadano
nie nadano
nie nadano
nie nadano
nie nadano
nie nadano
nie nadano
nie nadano
nie nadano
nie nadano
nie nadano
nie nadano
nie nadano
nie nadano
Starsze - SIEĆ
Starsze - SIEĆ
Starsze - SIEĆ
Starsze - SIEĆ
Starsze - SIEĆ
Starsze - SIEĆ
Starsze - SIEĆ
Starsze - SIEĆ
Starsze - SIEĆ
Starsze - SIEĆ
Starsze - SIEĆ
Starsze - SIEĆ
Starsze - SIEĆ
Starsze - SIEĆ
Starsze - SIEĆ
Starsze - SIEĆ
Starsze - SIEĆ
Starsze - SIEĆ
Starsze - SIEĆ
Starsze - SIEĆ
Starsze - SIEĆ
Starsze - SIEĆ
Starsze - SIEĆ
Starsze - SIEĆ
Starsze - SIEĆ
Starsze - SIEĆ
Starsze - SIEĆ
Starsze - SIEĆ
Starsze - SIEĆ
Starsze - SIEĆ
Starsze - SIEĆ
Starsze - SIEĆ
Starsze - SIEĆ
Starsze - SIEĆ
Starsze - SIEĆ
Starsze - SIEĆ
Starsze - SIEĆ
160413
160413
160413
160413
160413
160413
160413
160414
160414
160414
160414
160414
160414
160414
160414
160414
160414
160414
160414
160414
160414
160414
160414
160414
160414
2021-01-31
PW-17
b/n
nie nadano
Starsze - SIEĆ
Słup trakcyjny
Słup trakcyjny
Słup trakcyjny
Słup trakcyjny
Słup trakcyjny
Słup trakcyjny
Wysięg przez dwa tory
Segment dźwigara
Segment dźwigara
Segment dźwigara
Segment dźwigara
Segment dźwigara
Segment dźwigara
Segment dźwigara
Segment dźwigara
Segment dźwigara
Segment dźwigara
Słup trakcyjny
Słup trakcyjny
Słup trakcyjny
Słup trakcyjny
Słup trakcyjny
Słup trakcyjny
Słup trakcyjny
Słup trakcyjny
Słup trakcyjny
Słup trakcyjny
Słup trakcyjny
Słup trakcyjny
Słup trakcyjny
Słup trakcyjny
Słup trakcyjny
Słup trakcyjny
Słup trakcyjny
Słup trakcyjny
Słup trakcyjny
Słup trakcyjny
Preparat przeciwoblodzeniowy oraz
przeciwoszronieniowy sieci trakcyjnej
z kratą trójkątną
z kratą trójkątną
z kratą trójkątną
dwuteownikowy
dwuteownikowy
kratowy
8,2 m
7,8 m
7,4 m
8,2 m
7,4 m
10,5 m dla wysięgu przez 2 t.
środkowy
boczny
boczny
boczny
boczny
boczny
boczny
boczny
boczny
boczny
przelotowo-krańcowy bramki
krańcowy bramki
przelotowo-krańcowy bramki
krańcowy bramki
przelotowo-krańcowy bramki
krańcowy bramki
przelotowo-krańcowy bramki
krańcowy bramki
przelotowo-krańcowy bramki
przelotowo-krańcowy bramki
przelotowo-krańcowy bramki
przelotowo-krańcowy bramki
krańcowy bramki
krańcowy bramki
krańcowy bramki
krańcowy bramki
krańcowy bramki
krańcowy bramki
krańcowy bramki
krańcowy bramki
11,0 m
11,7 m
10,8 m
9,9 m
7,6 m
7,1 m
6,2 m
5,3 m
4,8 m
3,9 m
10,7 m
10,5 m
11,5 m
11,3 m
8,7 m
8,5 m
11,9 m
11,7 m
8,2 m, na jeden fundament
9,0 m, na jeden fundament
9,5 m, na jeden fundament
8,2 m, na jeden fundament
9,0 m, na jeden fundament
9,5 m, na jeden fundament
8,2 m, na dwa fundamenty
9,0 m, na dwa fundamenty
9,4 m, na dwa fundamenty
8,2 m, na dwa fundamenty
9,0 m, na dwa fundamenty
9,5 m, na dwa fundamenty
PUMECH
Słup trakcyjny
z kratą trójkątną
8,2 m
RABBIT
RABBIT
RABBIT
System zarządzania i monitoringu
Zegar astronomiczny
Zegar astronomiczny
z funkcją synchron. czasu GPS
z modemem komunikacji GSM
CPAnet
CPA5RC+GPS
CPA6.0+GSM
b/n
b/n
b/n
nie nadano
nie nadano
nie nadano
Starsze - OSW
Starsze - OSW
Starsze - OSW
RADPOL
Słup oświetleniowy
Strunobetonowa żerdź wirowana
EO
b/n
nie nadano
RADPOL
Słup oświetleniowy
Strunobetonowa żerdź wirowana
EOC
b/n
RADPOL
Słup trakcyjny
Strunobetonowa żerdź wirowana
ETK1, ETK2, ETK3,
ETK11, ETK21, ETK31.
RADPOL
Izolator trakcyjny
ukośnika wysięgnika teownikowego
7010 -1, 2
RADPOL
RADPOL
RADPOL
RADPOL
RADPOL
REVENGA_REVENGA
RIBE
RIBE
RIBE
RIBE
RIBE
RIBE
Izolator trakcyjny
Izolator trakcyjny
Izolator trakcyjny
Izolator trakcyjny
Izolator trakcyjny
EOR System
Łącznik podwójny
Uchwyt krańcowy
Uchwyt krańcowy
Zacisk
Uchwyt równoległy
Uchwyt
odciągu wysięgnika
podwieszeniowy
podwieszeniowy
ukośnika wysięgnika rurowego
liniowy
AQUATERM
7020 -1
7030 -1
7040 -1
7100
7200
POLFRANS_ORAPI
1611
1613
1614
1665
1667
1901
1910
3013
3017
3018
3019
3020
3021
3022
3023
3024
3025
3031
3032
3033
3034
3035
3036
3037
3038
3111
3112
3113
3115
3116
3117
3121
3122
3123
3125
3126
3127
Stan na dzień: 2016-08-19
ORAPI WR+ (805)
klinowy do przewodów jezdnych
klinowy
równoległy lina, przewód jezdny
do dwóch lin
liny uelastyczniającej
PLUS
170
100
do lin nośnych
D/IEN/01/2016
1611 -11÷15
D/IEN/24/2015
4720 -2
5110 -1
5120 -5÷8
5400 -5÷7
5500 -5, 6, 7
5520 -6, 7
Strona 16 z 26
b/n
b/n
b/n
b/n
b/n
b/n
D/IEN/08/2016
b/n
b/n
b/n
b/n
b/n
b/n
Uwagi
160413
uznanie po dawnym
podwykonawstwie
Starsze - OSW
160322
Uznanie po f-mie WIRBET
nie nadano
Starsze - OSW
160224
Uznanie po f-mie WIRBET
2020-11-30
PW-17
nie nadano
Starsze - SIEĆ
nie nadano
nie nadano
nie nadano
nie nadano
nie nadano
2021-06-30
nie nadano
nie nadano
nie nadano
nie nadano
nie nadano
nie nadano
Starsze - SIEĆ
Starsze - SIEĆ
Starsze - SIEĆ
Starsze - SIEĆ
Starsze - SIEĆ
PW-17
Starsze - SIEĆ
Starsze - SIEĆ
Starsze - SIEĆ
Starsze - SIEĆ
Starsze - SIEĆ
Starsze - SIEĆ
Zaklad WIRBET
160704
DOPUSZCZANIE ELEMENTÓW PODSYSTEMÓW I TECHNOLOGII PRZEZNACZONYCH DO STOSOWANIA NA LINIACH KOLEJOWYCH ZARZĄDZANYCH PRZEZ PKP POLSKIE LINIE KOLEJOWE S.A.
Wspólna lista Dopuszczeń wydanych wg. Procedury SMS PW-17 oraz procedur wcześniejszych – branża elektroenergetyki.
Logo podmiotu lub nazwa
skrócona *3)
RIBE
RIBE
RIBE
R-K-O-S
R-K-O-S
R-K-O-S
R-K-O-S
R-K-O-S
R-K-O-S
R-K-O-S
R-K-O-S
R-K-O-S
R-K-O-S
R-K-O-S
R-K-O-S
R-K-O-S
R-K-O-S
R-K-O-S
R-K-O-S
R-K-O-S
R-K-O-S
R-K-O-S
R-K-O-S
R-K-O-S
R-K-O-S
R-K-O-S
R-K-O-S
R-K-O-S
R-K-O-S
R-K-O-S
R-K-O-S
R-K-O-S
R-K-O-S
R-K-O-S
R-K-O-S
R-K-O-S
R-K-O-S
R-K-O-S
R-K-O-S
R-K-O-S
R-K-O-S
R-K-O-S
R-K-O-S
R-K-O-S
R-K-O-S
R-K-O-S
R-K-O-S
R-K-O-S
R-K-O-S
R-K-O-S
R-K-O-S
R-K-O-S
R-K-O-S
R-K-O-S
R-K-O-S
R-K-O-S
R-K-O-S
R-K-O-S
R-K-O-S
R-K-O-S
R-K-O-S
R-K-O-S
R-K-O-S
R-K-O-S
Nr. w kat.
'KOLPROJEKT'
Opis produktu
Uchwyt równoległy
Uchwyt równoległy
Uchwyt równoległy
Odciąg prętowy słupa kotwowego
Odciąg prętowy słupa kotwowego
Odciąg prętowy słupa kotwowego
Odciąg prętowy słupa kotwowego
Odciąg prętowy słupa kotwowego
Słup trakcyjny
Słup trakcyjny
Uchwyt przegubowy
Uchwyt przegubowy wysięgnikowy
Uchwyt przegubowy
Uchwyt podwieszeniowy
Uchwyt podwieszeniowy
Uchwyt przelotowy sztywny
Wyrównywacz przewodów jezdnych
Śruba rzymska
Przegubowy uchwyt
Uchwyt rolek linowych
Przegubowy uchwyt
Rolka linowa
Prowadnice ciężarów naprężających
Cięgła linowe urządzenia naprężającego
Uchwyt mocujący
Uchwyt do kotwień
Zabezpieczenie urządzenia naprężającego
Wsporniki ukośników
Uchwyt izolatora odciągu wysięgu
Uchwyt słupowy izolatora
Wsporniki ukośników
Uchwyt izolatora odciągu wysięgu
Uchwyt słupowy izolatora
Wsporniki ukośników
Łącznik kabłąkowy
Łącznik pojedynczy
Łącznik podwójny
Łącznik skręcony
Łącznik skręcony
Uchwyt rolek linowych
Uchwyt krańcowy
Uchwyt krańcowy
Uchwyt przelotowy
Uchwyt odciągowy
Złączka
Złączka
Uchwyt równoległy
Uchwyt odległościowy
Uchwyt równoległy
Uchwyt równoległy
Zacisk
Zacisk
Uchwyt
Uchwyt równoległy
Uchwyt równoległy
Uchwyt równoległy
Uchwyt równoległy
Zacisk
Zacisk
Zacisk
Łącznik szynowy
Łącznik szynowy
Łącznik szynowy
Połączenia uszyniające
do dwóch lin
do dwóch lin
do dwóch lin
z kratą trójkątną
dwuteownikowy
do przewodu jezdnego
do przewodu jezdnego
przewodu jezdnego
do lin nośnych
do lin nośnych
do lin nośnych
8,2 m
8,2 m
do kotwienia przewodów
rolki linowej
prowadnice na słupach bramek
na słupach przestrzennych
jednostronne
jednostronny
jednostronny
dwustronne
dwustronny
dwustronny
z uchwytami
izolatora odciągu wysięgu
75
170
450
wzdłużny
klinowy do przewodów jezdnych
liny nośnej
wahliwy żeliwny
przelotowy śrubowo -stożkowy
klinowa
stożkowa liny nośnej
podwójny
do 4 przew. Jezdnych
potrójny
rozjazdowy
równoległy lina, przewód jezdny
równoległy do dwóch lin
liny uelastyczniającej
do dwóch lin
do dwóch lin
do dwóch lin
do dwóch lin
mostkowy
uszyniający do lin
szynowy
podłużny
z linki Cu 95
z linki Cu 95
prętem Fe w izolacji
Cu i Fe KUCA
Al. 120 dł. 300 mm
bez izolacji
w izolacji
5550 -5, 6
5560 -5
5570 -5, 6
1540 -1÷3
1550 -1÷3
1560 -1÷3
1570 -2
1580 -2
1611 -1÷5
1665 -1÷4
4110 -1
4120 -1÷4
4130 -1
4140 -1÷2
4150 -1
4160 -1
4410 -1
4420 -1
4430 -1
4440 -1÷7
4450 -1
4460 -1÷3
4470 -1÷4
4490 -1÷3
4560 -1
4570 -1
4600 -1, 2
4610 -1÷8, 10
4620 -1÷8, 10
4630 -1÷8, 10
4640 -5, 7, 8, 10
4650 -5, 7, 8, 10
4660 -5, 7, 8, 10
4670 -5, 7, 8, 10
4700 -1
4710 -1
4720 -1, 2
4730 -1
4740 -1
5040 -1÷3
5110 -1÷4
5120 -5÷8
5160 -5, 7, 9, 0
5180 -6, 7, 0
5210 -1, 2
5250 -5÷8
5340 -1÷2
5350 -1
5360 -1
5380 -1
5400 -5÷7
5500 -5÷7
5520 -6÷8
5550 -5, 6
5560 -5
5570 -5, 6
5580 -8, 9
5590 -1÷3
5670 -1÷3
5680 -1, 2
5810 -1
5820 -1, 2
5830 -1, 2
5840 -1, 2
Strona 17 z 26
Stan na dzień: 2016-08-19
Numer
dopuszczenia
Okres/data
ważności
Podstawa
dopuszczenia
b/n
b/n
b/n
b/n
b/n
b/n
b/n
b/n
b/n
b/n
b/n
b/n
b/n
b/n
b/n
b/n
b/n
b/n
b/n
b/n
b/n
b/n
b/n
b/n
b/n
b/n
b/n
b/n
b/n
b/n
b/n
b/n
b/n
b/n
b/n
b/n
b/n
b/n
b/n
b/n
b/n
b/n
b/n
b/n
b/n
b/n
b/n
b/n
b/n
b/n
b/n
b/n
b/n
b/n
b/n
b/n
b/n
b/n
b/n
b/n
b/n
b/n
b/n
b/n
nie nadano
nie nadano
nie nadano
nie nadano
nie nadano
nie nadano
nie nadano
nie nadano
nie nadano
nie nadano
nie nadano
nie nadano
nie nadano
nie nadano
nie nadano
nie nadano
nie nadano
nie nadano
nie nadano
nie nadano
nie nadano
nie nadano
nie nadano
nie nadano
nie nadano
nie nadano
nie nadano
nie nadano
nie nadano
nie nadano
nie nadano
nie nadano
nie nadano
nie nadano
nie nadano
nie nadano
nie nadano
nie nadano
nie nadano
nie nadano
nie nadano
nie nadano
nie nadano
nie nadano
nie nadano
nie nadano
nie nadano
nie nadano
nie nadano
nie nadano
nie nadano
nie nadano
nie nadano
nie nadano
nie nadano
nie nadano
nie nadano
nie nadano
nie nadano
nie nadano
nie nadano
nie nadano
nie nadano
nie nadano
Starsze - SIEĆ
Starsze - SIEĆ
Starsze - SIEĆ
Starsze - SIEĆ
Starsze - SIEĆ
Starsze - SIEĆ
Starsze - SIEĆ
Starsze - SIEĆ
Starsze - SIEĆ
Starsze - SIEĆ
Starsze - SIEĆ
Starsze - SIEĆ
Starsze - SIEĆ
Starsze - SIEĆ
Starsze - SIEĆ
Starsze - SIEĆ
Starsze - SIEĆ
Starsze - SIEĆ
Starsze - SIEĆ
Starsze - SIEĆ
Starsze - SIEĆ
Starsze - SIEĆ
Starsze - SIEĆ
Starsze - SIEĆ
Starsze - SIEĆ
Starsze - SIEĆ
Starsze - SIEĆ
Starsze - SIEĆ
Starsze - SIEĆ
Starsze - SIEĆ
Starsze - SIEĆ
Starsze - SIEĆ
Starsze - SIEĆ
Starsze - SIEĆ
Starsze - SIEĆ
Starsze - SIEĆ
Starsze - SIEĆ
Starsze - SIEĆ
Starsze - SIEĆ
Starsze - SIEĆ
Starsze - SIEĆ
Starsze - SIEĆ
Starsze - SIEĆ
Starsze - SIEĆ
Starsze - SIEĆ
Starsze - SIEĆ
Starsze - SIEĆ
Starsze - SIEĆ
Starsze - SIEĆ
Starsze - SIEĆ
Starsze - SIEĆ
Starsze - SIEĆ
Starsze - SIEĆ
Starsze - SIEĆ
Starsze - SIEĆ
Starsze - SIEĆ
Starsze - SIEĆ
Starsze - SIEĆ
Starsze - SIEĆ
Starsze - SIEĆ
Starsze - SIEĆ
Starsze - SIEĆ
Starsze - SIEĆ
Starsze - SIEĆ
Data ost.
Zmiany
160413
160413
160415
160527
160527
160527
Uwagi
DOPUSZCZANIE ELEMENTÓW PODSYSTEMÓW I TECHNOLOGII PRZEZNACZONYCH DO STOSOWANIA NA LINIACH KOLEJOWYCH ZARZĄDZANYCH PRZEZ PKP POLSKIE LINIE KOLEJOWE S.A.
Wspólna lista Dopuszczeń wydanych wg. Procedury SMS PW-17 oraz procedur wcześniejszych – branża elektroenergetyki.
Logo podmiotu lub nazwa
skrócona *3)
R-K-O-S
R-K-O-S
R-K-O-S
R-K-O-S
R-K-O-S
R-K-O-S
R-K-O-S
R-K-O-S
R-K-O-S
R-K-O-S
R-K-O-S
R-K-O-S
R-K-O-S
R-K-O-S
R-K-O-S
R-K-O-S
R-K-O-S
R-K-O-S
R-K-O-S
R-K-O-S
R-K-O-S
R-K-O-S
R-K-O-S
R-K-O-S
R-K-O-S
R-K-O-S
R-K-O-S
R-K-O-S
R-K-O-S
R-K-O-S
R-K-O-S
ROSA
ROSA
ROSA
ROSA
SCHREDER_SCHREDER
SCHREDER_SOCELEC
SCHREDER_SOCELEC
SESTO
SESTO
SFAMASZ
SFAMASZ
SFAMASZ
SFAMASZ
SFAMASZ
SPEC-MIN
STANMAR
STANMAR
STANMAR
STANMAR
STANMAR
STANMAR
STANMAR
STANMAR
STANMAR
STANMAR
STANMAR
STANMAR
STANMAR
STANMAR
STANMAR
STANMAR
STANMAR
STANMAR
Nr. w kat.
'KOLPROJEKT'
Opis produktu
Połączenia uszyniające
Połączenia uszyniające
Połączenie odłącznika z uszynieniem
Łącznik szynowy
Łącznik szynowy
Łącznik szynowy
Ukośnik rurowy
Odciąg ukośnika
Odciąg ukośnika
Odciąg ukośnika
Wysięgniki przewodu uszyniającego
Ramię odciągowe
Ramię odciągowe
Ramię odciągowe
Ramię odciągowe
Ramię odciągowe
Ramię odciągowe
Ramię odciągowe
Ramię odciągowe
Ramię odciągowe
Ramię odciągowe
Ciężar naprężający
Ciężar naprężający
Ciężar naprężający
Łącznik pojedynczy
Kołek gwintowany
Linka dławikowa z kołkiem
Uziom miedziowany
Odłącznik
Odłącznik
Skrzynka napędu ręcznego odłącznika
Oprawa oświetleniowa LED
Oprawa oświetleniowa LED
Oprawa oświetleniowa LED
Słup oświetleniowy
Oprawa oświetleniowa
Oprawa oświetleniowa LED
Oprawa oświetleniowa LED
EOR System
Sterownik oświetlenia
Fundament palowy
Fundament palowy
Fundament palowy
Fundament palowy
Fundament palowy
Technologia wyburzania fundamentów
Linki dławikowe typu ALE
Łącznik szynowy
Przegubowy uchwyt
Uchwyt rolek linowych
Przegubowy uchwyt
Cięgła linowe urządzenia naprężającego
Zabezpieczenie urządzenia naprężającego
Wsporniki ukośników
Uchwyt izolatora odciągu wysięgu
Uchwyt słupowy izolatora
Wsporniki ukośników
Uchwyt izolatora odciągu wysięgu
Uchwyt słupowy izolatora
Wsporniki ukośników
Łącznik pojedynczy
Łącznik podwójny
Łącznik skręcony
Łącznik skręcony
linką Cu50 w izolacji
kablem YKY 1x50
linką L50
podłużny, z tulejką zaciskową
z linki Cu95 z tulejką zaciskową
z linki Cu95 z tulejką zaciskową
5850 -1, 2
5860 -1, 2
5880 -1
5910 -1, 2
5920 -1, 2
5930 -1, 2
6001 -1÷14
6002 -1÷11
6007 -1÷14
6008 -1÷14
6130 -1÷3
6201 -1÷4
6202 -1
6203 -1
6204 -1, 2
6205 -1, 2
6206 -1, 2
6207 -1+3
6208 -1+3
6209 -1+3
6212 -1
6321 -1
6322 -1
6323 -1
6511 -1
6850 -1
6860 -1÷3
6920 -1÷3
7420 -1
7430 -1
7460 -1
bez izolacji
w izolacji
rurowego nieprzechylnego
rurowego przechylnego
rurowego przechylnego
lekkie
proste
łukowe
proste
łukowe
specjalne rozjazdowe
specjalne łukowe
specjalne rozjazdowe
specjalne łukowe
z otworem owalnym
żeliwny
z betonu THIOCRETE
z betonu THIOCRETE
płaski
do połączeń szynowych
ze śrubą
ze stykiem uszyniającym
przejazdowa
anodowany
uliczna
uliczna
uliczna
System ogrzewania rozjazdów
słupa trakcyjnego
słupa trakcyjnego
słupa trakcyjnego
odciągu prętowego
odciągu prętowego
konstrukcji wsporczych
podłużny
do kotwienia przewodów
URSA LED
COSMO LED
MAGNOLIA LED
SAL
IPSO
Teceo-1
Teceo-2
NEO
EM1000MR
typu MI
typu MII
typu MIII
typu MI-K
typu MIII-K
metodą minerską
1491
1492
1493
1495
1497
typu ALFe 185
rolki linowej
jednostronne
jednostronny
jednostronny
dwustronne
dwustronny
dwustronny
z uchwytami
izolatora odciągu wysięgu
75
170
450
4430
4440 -1÷6
4450
4490 -1÷3
4600 -1, 2
4610
4620
4630
4640
4650
4660
4670
4710
4720
4730
4740
Strona 18 z 26
Numer
dopuszczenia
b/n
b/n
b/n
b/n
b/n
b/n
b/n
b/n
b/n
b/n
b/n
b/n
b/n
b/n
b/n
b/n
b/n
b/n
b/n
b/n
b/n
b/n
b/n
b/n
b/n
b/n
b/n
b/n
b/n
b/n
b/n
b/n
b/n
b/n
b/n
b/n
D-5/IEN/5/2013
D-5/IEN/5/2013
U/2010/0386
b/n
b/n
b/n
b/n
b/n
b/n
b/n
b/n
b/n
b/n
b/n
b/n
b/n
b/n
b/n
b/n
b/n
b/n
b/n
b/n
b/n
b/n
b/n
b/n
b/n
Stan na dzień: 2016-08-19
Okres/data
ważności
Podstawa
dopuszczenia
nie nadano
nie nadano
nie nadano
nie nadano
nie nadano
nie nadano
nie nadano
nie nadano
nie nadano
nie nadano
nie nadano
nie nadano
nie nadano
nie nadano
nie nadano
nie nadano
nie nadano
nie nadano
nie nadano
nie nadano
nie nadano
nie nadano
nie nadano
nie nadano
nie nadano
nie nadano
nie nadano
nie nadano
nie nadano
nie nadano
nie nadano
nie nadano
nie nadano
nie nadano
nie nadano
nie nadano
bezterminowo
bezterminowo
bezterminowo
nie nadano
nie nadano
nie nadano
nie nadano
nie nadano
nie nadano
nie nadano
nie nadano
nie nadano
nie nadano
nie nadano
nie nadano
nie nadano
nie nadano
nie nadano
nie nadano
nie nadano
nie nadano
nie nadano
nie nadano
nie nadano
nie nadano
nie nadano
nie nadano
nie nadano
Starsze - SIEĆ
Starsze - SIEĆ
Starsze - SIEĆ
Starsze - SIEĆ
Starsze - SIEĆ
Starsze - SIEĆ
Starsze - SIEĆ
Starsze - SIEĆ
Starsze - SIEĆ
Starsze - SIEĆ
Starsze - SIEĆ
Starsze - SIEĆ
Starsze - SIEĆ
Starsze - SIEĆ
Starsze - SIEĆ
Starsze - SIEĆ
Starsze - SIEĆ
Starsze - SIEĆ
Starsze - SIEĆ
Starsze - SIEĆ
Starsze - SIEĆ
Starsze - SIEĆ
Starsze - SIEĆ
Starsze - SIEĆ
Starsze - SIEĆ
Starsze - SIEĆ
Starsze - SIEĆ
Starsze - SIEĆ
Starsze - SIEĆ
Starsze - SIEĆ
Starsze - SIEĆ
Starsze - OSW
Starsze - OSW
Starsze - OSW
Starsze - OSW
Starsze - OSW
PW-17
PW-17
wg. Świadectwa UTK
Starsze - OSW
Starsze - SIEĆ
Starsze - SIEĆ
Starsze - SIEĆ
Starsze - SIEĆ
Starsze - SIEĆ
Starsze - SIEĆ
Starsze - SIEĆ
Starsze - SIEĆ
Starsze - SIEĆ
Starsze - SIEĆ
Starsze - SIEĆ
Starsze - SIEĆ
Starsze - SIEĆ
Starsze - SIEĆ
Starsze - SIEĆ
Starsze - SIEĆ
Starsze - SIEĆ
Starsze - SIEĆ
Starsze - SIEĆ
Starsze - SIEĆ
Starsze - SIEĆ
Starsze - SIEĆ
Starsze - SIEĆ
Starsze - SIEĆ
Data ost.
Zmiany
Uwagi
160527
160527
160527
160404
160322
160704
160725
160725
160425
PW-17 nie stosuje się.
internet: TECEO LED
internet: TECEO LED
DOPUSZCZANIE ELEMENTÓW PODSYSTEMÓW I TECHNOLOGII PRZEZNACZONYCH DO STOSOWANIA NA LINIACH KOLEJOWYCH ZARZĄDZANYCH PRZEZ PKP POLSKIE LINIE KOLEJOWE S.A.
Wspólna lista Dopuszczeń wydanych wg. Procedury SMS PW-17 oraz procedur wcześniejszych – branża elektroenergetyki.
Logo podmiotu lub nazwa
skrócona *3)
Nr. w kat.
'KOLPROJEKT'
Opis produktu
STANMAR
STANMAR
STANMAR
STANMAR
STANMAR
STANMAR
STANMAR
STANMAR
STANMAR
STANMAR
STANMAR
STANMAR
STANMAR
STANMAR
STANMAR
STANMAR
STANMAR
STANMAR
STANMAR
STANMAR
STANMAR
STANMAR
STANMAR
STANMAR
STANMAR
STANMAR
STANMAR
STANMAR
STANMAR
STANMAR
STANMAR
STANMAR
STRUNOBET-MIGACZ
Uchwyt krańcowy
Złączka
Uchwyt równoległy
Zacisk
Uchwyt wieszakowy
Uchwyt równoległy
Uchwyt równoległy
Uchwyt równoległy
Uchwyt
Uchwyt
Uchwyt
Uchwyt równoległy
Uchwyt równoległy
Uchwyt równoległy
Uchwyt równoległy
Uchwyt równoległy
Uchwyt równoległy
Uchwyt równoległy
Zacisk
Zacisk
Zacisk
Zacisk
Zacisk
Łącznik szynowy
Łącznik szynowy
Łącznik szynowy
Połączenia uszyniające
Łącznik szynowy
Łącznik szynowy
Łącznik szynowy
Kołek gwintowany
Linka dławikowa z kołkiem
Słup oświetleniowy
STRUNOBET-MIGACZ
Słup trakcyjny
STRUNOBET-MIGACZ
Słup trakcyjny
STRUNOBET-MIGACZ
Słup trakcyjny
TECHNOLIGHT_DISANO
TECHNOLIGHT_DISANO
TECHNOLIGHT_DISANO
TECHNOLIGHT_DISANO
TECHNOLIGHT_DISANO
TECHNOLIGHT_DISANO
TECHNOLIGHT_DISANO
TECHNOLIGHT_DISANO
TECHNOLIGHT_DISANO
TECHNOLIGHT_DISANO
TECHNOLIGHT_DISANO
TECHNOLIGHT_DISANO
TELE-FONICA-K
Oprawa oświetleniowa
Oprawa oświetleniowa
Oprawa oświetleniowa
Oprawa oświetleniowa LED
Oprawa oświetleniowa LED
Oprawa oświetleniowa LED
Oprawa oświetleniowa LED
Oprawa oświetleniowa LED
Oprawa oświetleniowa LED
Oprawa oświetleniowa LED
Oprawa oświetleniowa LED
Oprawa oświetleniowa LED
Przewód miedziany
TELE-FONICA-K
Przewód stalowo-aluminiowy
TELE-FONICA-K
TELE-FONICA-K
TERMOPROD
TERMOPROD
TERMOPROD
TERMOPROD
TERMOPROD
Przewód jezdny
Przewód jezdny
Odciąg prętowy słupa kotwowego
Odciąg prętowy słupa kotwowego
Odciąg prętowy słupa kotwowego
Odciąg prętowy słupa kotwowego
Odciąg prętowy słupa kotwowego
Numer
dopuszczenia
Okres/data
ważności
Podstawa
dopuszczenia
nie nadano
nie nadano
nie nadano
nie nadano
nie nadano
nie nadano
nie nadano
nie nadano
nie nadano
nie nadano
nie nadano
nie nadano
nie nadano
nie nadano
nie nadano
nie nadano
nie nadano
nie nadano
nie nadano
nie nadano
nie nadano
nie nadano
nie nadano
nie nadano
nie nadano
nie nadano
nie nadano
nie nadano
nie nadano
nie nadano
nie nadano
nie nadano
nie nadano
Starsze - SIEĆ
Starsze - SIEĆ
Starsze - SIEĆ
Starsze - SIEĆ
Starsze - SIEĆ
Starsze - SIEĆ
Starsze - SIEĆ
Starsze - SIEĆ
Starsze - SIEĆ
Starsze - SIEĆ
Starsze - SIEĆ
Starsze - SIEĆ
Starsze - SIEĆ
Starsze - SIEĆ
Starsze - SIEĆ
Starsze - SIEĆ
Starsze - SIEĆ
Starsze - SIEĆ
Starsze - SIEĆ
Starsze - OSW
Data ost.
Zmiany
lin nośnych 70÷150
stożkowa liny nośnej
rozjazdowy
równoległy lina, przewód jezdny
uniwersalny
do dwóch lin
do dwóch lin
do dwóch lin
liny uelastyczniającej
liny uelastyczniającej
liny uelastyczniającej
do dwóch lin
do dwóch lin
do dwóch lin
do dwóch lin
do dwóch lin
do dwóch lin
do dwóch lin
mostkowy
mostkowy
mostkowy
uszyniający do lin
szynowy
podłużny, wg. BN-67/9317-55
z linki Cu 95
z linki Cu 95
prętem Fe w izolacji
podłużny, z tulejką zaciskową
z linki Cu95 z tulejką zaciskową
z linki Cu95 z tulejką zaciskową
do połączeń szynowych
djp 100
70÷150
Wirowana żerdź ośw.
Konstrukcje wsporcze
strunobetonowe
wraz z osprzętem mocującym
Konstrukcje wsporcze
strunobetonowe
wraz z osprzętem mocującym
Konstrukcje wsporcze
strunobetonowe
wraz z osprzętem mocującym
EOP
b/n
b/n
b/n
b/n
b/n
b/n
b/n
b/n
b/n
b/n
b/n
b/n
b/n
b/n
b/n
b/n
b/n
b/n
b/n
b/n
b/n
b/n
b/n
b/n
b/n
b/n
b/n
b/n
b/n
b/n
b/n
b/n
b/n
ETG-1
b/n
nie nadano
Starsze - SIEĆ
160224
ETG-2
b/n
nie nadano
Starsze - SIEĆ
160224
ETG-3
b/n
nie nadano
Starsze - SIEĆ
160224
nie nadano
nie nadano
nie nadano
28 luty 2021
28 luty 2021
28 luty 2021
2020-12-31
2020-12-31
2020-12-31
2020-12-31
2020-12-31
31 maja 2021
nie nadano
Starsze - OSW
Starsze - OSW
Starsze - OSW
PW-17
PW-17
PW-17
ASTRO naświetlacz
CRIPTO naświetlacz
ROLLE naświetlacz
5120 -5÷8
5250 -5÷8
5380
5400 -5÷7
5420 -5
5500 -7
5500 -5
5500 -6
5520 -7
5520 -8
5520 -6
5560 -5
5570 -5
5570 -6
5570 -5
5570 -6
5580 -8
5580 -9
5590 -1÷3
5590 -1÷3
5590 -1÷3
5670 -1÷3
5680 -1, 2
5810 -1
5820 -1, 2
5830 -1, 2
5840 -1, 2
5910 -1, 2
5920 -1, 2
5930 -1, 2
6850 -1
6860 -1÷3
Stan na dzień: 2016-08-19
djp
120-120
70-70
95-95
25-120
25-150
25-95
95-70
120-95
120-95
150-70
150-95
150
185
120-120
70-120
95-120
L50 i AFL70
bez izolacji
w izolacji
bez izolacji
w izolacji
ze śrubą
COMETA
GIOVI
RODIO
1785, 1787, 1794
1713, 1714
3280, 3282
3270 STELIVIO 1 PLUS L
3273 STELIVIO 1
3274 STELIVIO 2
3275 MINI STELIVIO
3276 MINI STELIVIO
ECHO LED
b/n
b/n
b/n
D/IEN/02/2016
D/IEN/02/2016
D/IEN/02/2016
D/IEN/29/2015
D/IEN/29/2015
D/IEN/29/2015
D/IEN/29/2015
D/IEN/29/2015
D/IEN/05/2016
b/n
Starsze - SIEĆ
Starsze - SIEĆ
Starsze - SIEĆ
Starsze - SIEĆ
Starsze - SIEĆ
Starsze - SIEĆ
PW-17
Starsze - SIEĆ
wielodrutowy goły
9811 -6, 7, 8
wielodrutowy goły
9822 -7, 10
b/n
nie nadano
Starsze - SIEĆ
9871 -1, 3
9872 -1, 3
1540 -1÷3
1540 -11÷13
1550 -1÷3
1550 -11÷13
1560 -1÷3
b/n
b/n
b/n
b/n
b/n
b/n
b/n
nie nadano
nie nadano
nie nadano
nie nadano
nie nadano
nie nadano
nie nadano
Starsze - SIEĆ
Starsze - SIEĆ
Starsze - SIEĆ
Starsze - SIEĆ
Starsze - SIEĆ
Starsze - SIEĆ
Starsze - SIEĆ
Strona 19 z 26
Uwagi
160527
160527
160527
160527
160527
160527
160420
160420
160420
151216
151216
151216
151216
151216
160530
160411
Poprawiono opis
względem pliku źródł.
DOPUSZCZANIE ELEMENTÓW PODSYSTEMÓW I TECHNOLOGII PRZEZNACZONYCH DO STOSOWANIA NA LINIACH KOLEJOWYCH ZARZĄDZANYCH PRZEZ PKP POLSKIE LINIE KOLEJOWE S.A.
Wspólna lista Dopuszczeń wydanych wg. Procedury SMS PW-17 oraz procedur wcześniejszych – branża elektroenergetyki.
Logo podmiotu lub nazwa
skrócona *3)
TERMOPROD
TERMOPROD
TERMOPROD
TERMOPROD
TERMOPROD
TERMOPROD
TERMOPROD
TERMOPROD
TERMOPROD
TERMOPROD
TERMOPROD
TERMOPROD
TERMOPROD
TERMOPROD
TERMOPROD
TERMOPROD
TERMOPROD
TERMOPROD
TERMOPROD
TERMOPROD
TERMOPROD
TERMOPROD
TERMOPROD
TERMOPROD
TERMOPROD
TERMOPROD
TERMOPROD
TERMOPROD
TERMOPROD
TERMOPROD
TERMOPROD
TERMOPROD
TERMOPROD
TERMOPROD
TERMOPROD
TERMOPROD
TERMOPROD
TERMOPROD
TERMOPROD
TERMOPROD
TERMOPROD
TERMOPROD
TERMOPROD
TERMOPROD
TERMOPROD
TERMOPROD
TERMOPROD
TERMOPROD
TERMOPROD
TERMOPROD
TERMOPROD
TERMOPROD
TERMOPROD
TERMOPROD
TERMOPROD
TERMOPROD
TERMOPROD
TERMOPROD
TERMOPROD
TERMOPROD
TERMOPROD
TERMOPROD
TERMOPROD
TERMOPROD
Nr. w kat.
'KOLPROJEKT'
Opis produktu
Odciąg prętowy słupa kotwowego
Odciąg prętowy słupa kotwowego
Odciąg prętowy słupa kotwowego
Słup trakcyjny
Słup trakcyjny
Uchwyt przegubowy
Uchwyt przegubowy wysięgnikowy
Uchwyt przegubowy
Uchwyt podwieszeniowy
Uchwyt podwieszeniowy
Uchwyt przelotowy sztywny
Wyrównywacz przewodów jezdnych
Śruba rzymska
Przegubowy uchwyt
Uchwyt rolek linowych
Przegubowy uchwyt
Rolka linowa
Prowadnice ciężarów naprężających
Cięgła linowe urządzenia naprężającego
Uchwyt mocujący
Uchwyt do kotwień
Zabezpieczenie urządzenia naprężającego
Wsporniki ukośników
Uchwyt izolatora odciągu wysięgu
Uchwyt słupowy izolatora
Wsporniki ukośników
Uchwyt izolatora odciągu wysięgu
Uchwyt słupowy izolatora
Wsporniki ukośników
Łącznik kabłąkowy
Łącznik pojedynczy
Łącznik podwójny
Łącznik skręcony
Łącznik skręcony
Wspornik do dźwigara bramki
Uchwyt rolek linowych
Prowadnice ciężarów naprężających
Uchwyt prowadnic ciężarów naprężających
Uchwyt krańcowy
Uchwyt krańcowy
Uchwyt przelotowy
Uchwyt odciągowy
Złączka
Złączka
Uchwyt równoległy
Uchwyt odległościowy
Uchwyt równoległy
Uchwyt równoległy
Zacisk
Zacisk
Uchwyt
Uchwyt równoległy
Uchwyt równoległy
Uchwyt równoległy
Uchwyt równoległy
Zacisk
Zacisk
Zacisk
Łącznik szynowy
Łącznik szynowy
Łącznik szynowy
Połączenia uszyniające
Połączenia uszyniające
Połączenia uszyniające
z kratą trójkątną
dwuteownikowy
do przewodu jezdnego
do przewodu jezdnego
przewodu jezdnego
do lin nośnych
do lin nośnych
do lin nośnych
8,2 m
8,2 m
do kotwienia przewodów
rolki linowej
prowadnice na słupach bramek
na słupach przestrzennych
jednostronne
jednostronny
jednostronny
dwustronne
dwustronny
dwustronny
z uchwytami
izolatora odciągu wysięgu
75
170
450
i słupa przez dwa tory
wzdłużny
klinowy do przewodów jezdnych
liny nośnej
wahliwy żeliwny
przelotowy śrubowo -stożkowy
klinowa
stożkowa liny nośnej
podwójny
do 4 przew. jezdnych
potrójny
rozjazdowy
równoległy lina, przewód jezdny
równoległy do dwóch lin
liny uelastyczniającej
do dwóch lin
do dwóch lin
do dwóch lin
do dwóch lin
mostkowy
uszyniający do lin
szynowy
podłużny
z linki Cu 95
z linki Cu 95
prętem Fe w izolacji
linką Cu50 w izolacji
kablem YKY 1x50
Cu i Fe
Al. 120 dł. 300 mm
bez izolacji
w izolacji
1560 -11÷13
1570 -2
1580 -2
1611 -1÷5
1665 -1÷4
4110 -1
4120 -1÷4
4130 -1
4140 -1÷2
4150 -1
4160 -1
4410 -1
4420 -1
4430 -1
4440 -1÷7
4450 -1
4460 -1÷3
4470 -1÷4
4490 -1÷3
4560 -1
4570 -1
4600 -1, 2
4610 -1÷8, 10
4620 -1÷8, 10
4630 -1÷8, 10
4640 -5, 7, 8, 10
4650 -5, 7, 8, 10
4660 -5, 7, 8, 10
4670 -5, 7, 8, 10
4700 -1
4710 -1
4720 -1, 2
4730 -1
4740 -1
4850 -1÷5
5040 -1÷3
5070 -1, 2
5090 -1÷3
5110 -1÷4
5120 -5÷8
5160 -5, 7, 9, 0
5180 -6, 7, 0
5210 -1÷4
5250 -5÷8
5340 -1÷2
5350 -1
5360 -1
5380 -1
5400 -5÷7
5500 -5÷7
5520 -6÷8
5550 -5, 6
5560 -5
5570 -5, 6
5580 -8, 9
5590 -1÷3
5670 -1÷3
5680 -1, 2
5810 -1
5820 -1, 2
5830 -1, 2
5840 -1, 2
5850 -1, 2
5860 -1, 2
Strona 20 z 26
Stan na dzień: 2016-08-19
Numer
dopuszczenia
Okres/data
ważności
Podstawa
dopuszczenia
b/n
b/n
b/n
b/n
b/n
b/n
b/n
b/n
b/n
b/n
b/n
b/n
b/n
b/n
b/n
b/n
b/n
b/n
b/n
b/n
b/n
b/n
b/n
b/n
b/n
b/n
b/n
b/n
b/n
b/n
b/n
b/n
b/n
b/n
b/n
b/n
b/n
b/n
b/n
b/n
b/n
b/n
b/n
b/n
b/n
b/n
b/n
b/n
b/n
b/n
b/n
b/n
b/n
b/n
b/n
b/n
b/n
b/n
b/n
b/n
b/n
b/n
b/n
b/n
nie nadano
nie nadano
nie nadano
nie nadano
nie nadano
nie nadano
nie nadano
nie nadano
nie nadano
nie nadano
nie nadano
nie nadano
nie nadano
nie nadano
nie nadano
nie nadano
nie nadano
nie nadano
nie nadano
nie nadano
nie nadano
nie nadano
nie nadano
nie nadano
nie nadano
nie nadano
nie nadano
nie nadano
nie nadano
nie nadano
nie nadano
nie nadano
nie nadano
nie nadano
nie nadano
nie nadano
nie nadano
nie nadano
nie nadano
nie nadano
nie nadano
nie nadano
nie nadano
nie nadano
nie nadano
nie nadano
nie nadano
nie nadano
nie nadano
nie nadano
nie nadano
nie nadano
nie nadano
nie nadano
nie nadano
nie nadano
nie nadano
nie nadano
nie nadano
nie nadano
nie nadano
nie nadano
nie nadano
nie nadano
Starsze - SIEĆ
Starsze - SIEĆ
Starsze - SIEĆ
Starsze - SIEĆ
Starsze - SIEĆ
Starsze - SIEĆ
Starsze - SIEĆ
Starsze - SIEĆ
Starsze - SIEĆ
Starsze - SIEĆ
Starsze - SIEĆ
Starsze - SIEĆ
Starsze - SIEĆ
Starsze - SIEĆ
Starsze - SIEĆ
Starsze - SIEĆ
Starsze - SIEĆ
Starsze - SIEĆ
Starsze - SIEĆ
Starsze - SIEĆ
Starsze - SIEĆ
Starsze - SIEĆ
Starsze - SIEĆ
Starsze - SIEĆ
Starsze - SIEĆ
Starsze - SIEĆ
Starsze - SIEĆ
Starsze - SIEĆ
Starsze - SIEĆ
Starsze - SIEĆ
Starsze - SIEĆ
Starsze - SIEĆ
Starsze - SIEĆ
Starsze - SIEĆ
Starsze - SIEĆ
Starsze - SIEĆ
Starsze - SIEĆ
Starsze - SIEĆ
Starsze - SIEĆ
Starsze - SIEĆ
Starsze - SIEĆ
Starsze - SIEĆ
Starsze - SIEĆ
Starsze - SIEĆ
Starsze - SIEĆ
Starsze - SIEĆ
Starsze - SIEĆ
Starsze - SIEĆ
Starsze - SIEĆ
Starsze - SIEĆ
Starsze - SIEĆ
Starsze - SIEĆ
Starsze - SIEĆ
Starsze - SIEĆ
Starsze - SIEĆ
Starsze - SIEĆ
Starsze - SIEĆ
Starsze - SIEĆ
Starsze - SIEĆ
Starsze - SIEĆ
Starsze - SIEĆ
Starsze - SIEĆ
Starsze - SIEĆ
Starsze - SIEĆ
Data ost.
Zmiany
Uwagi
160413
160413
160415
160415
160404
160527
160527
160527
PW-17 nie stosuje się.
DOPUSZCZANIE ELEMENTÓW PODSYSTEMÓW I TECHNOLOGII PRZEZNACZONYCH DO STOSOWANIA NA LINIACH KOLEJOWYCH ZARZĄDZANYCH PRZEZ PKP POLSKIE LINIE KOLEJOWE S.A.
Wspólna lista Dopuszczeń wydanych wg. Procedury SMS PW-17 oraz procedur wcześniejszych – branża elektroenergetyki.
Logo podmiotu lub nazwa
skrócona *3)
Nr. w kat.
'KOLPROJEKT'
Opis produktu
TERMOPROD
TERMOPROD
TERMOPROD
TERMOPROD
TERMOPROD
TERMOPROD
TERMOPROD
TERMOPROD
TERMOPROD
TERMOPROD
TERMOPROD
TERMOPROD
TERMOPROD
TERMOPROD
TERMOPROD
TERMOPROD
TERMOPROD
TERMOPROD
TERMOPROD
TERMOPROD
TERMOPROD
TERMOPROD
TERMOPROD
TERMOPROD
TERMOPROD
TERMOPROD
TERMOPROD
TERMOPROD
TERMOPROD
Połączenie odłącznika z uszynieniem
Łącznik szynowy
Łącznik szynowy
Łącznik szynowy
Ukośnik rurowy
Odciąg ukośnika
Odciąg ukośnika
Odciąg ukośnika
Wysięgniki przewodu uszyniającego
Ramię odciągowe
Ramię odciągowe
Ramię odciągowe
Ramię odciągowe
Ramię odciągowe
Ramię odciągowe
Ramię odciągowe
Ramię odciągowe
Ramię odciągowe
Ramię odciągowe
Ciężar naprężający
Ciężar naprężający
Ciężar naprężający
Łącznik pojedynczy
Kołek gwintowany
Linka dławikowa z kołkiem
Uziom miedziowany
Odłącznik
Odłącznik
Skrzynka napędu ręcznego odłącznika
linką L50
podłużny, z tulejką zaciskową
z linki Cu95 z tulejką zaciskową
z linki Cu95 z tulejką zaciskową
TERMORAD
EOR Grzejniki rurkowe
bezstykowe do elektrycznego
ogrzewania rozjazdów
TERMORAD
EOR Radiatory
bezstykowe do grzejników rurkowych
THORN_PL
THORN_PL
THORN_PL
THORN_PL
TIM
TIM
TIM
TIM
TIM
TIM
TIM
TIM
TORPOL
TORPOL
TORPOL
TORPOL
TORPOL
TRAKCJA-PRK
TRAKCJA-PRK
TRAKCJA-PRK
TRAKCJA-PRK
TRAKCJA-PRK
TRAKCJA-PRK
TRAKCJA-PRK
TRAKCJA-PRK
TRAKCJA-PRK
TRAKCJA-PRK
TRAKCJA-PRK
TRAKCJA-PRK
TRAKCJA-PRK
TRAKCJA-PRK
Oprawa oświetleniowa
Oprawa oświetleniowa
Oprawa oświetleniowa
Oprawa oświetleniowa LED
Przewód miedziany
Przewód miedziany
Przewód miedziany
Przewód miedziany
Przewód miedziany
Przewód jezdny
Przewód jezdny
Przewód jezdny
Fundament palowy
Fundament palowy
Fundament palowy
Fundament palowy
Fundament palowy
Fundament palowy
Fundament palowy
Fundament palowy
Fundament palowy
Fundament palowy
Odciąg prętowy słupa kotwowego
Odciąg prętowy słupa kotwowego
Odciąg prętowy słupa kotwowego
Słup trakcyjny
Słup trakcyjny
Słup trakcyjny
Słup trakcyjny
Słup trakcyjny
Słup trakcyjny
5880 -1
5910 -1, 2
5920 -1, 2
5930 -1, 2
6001 -1÷14
6002 -1÷11
6007 -1÷14
6008 -1÷14
6130 -1÷3
6201 -1÷4
6202 -1
6203 -1
6204 -1, 2
6205 -1, 2
6206 -1, 2
6207 -1+3
6208 -1+3
6209 -1+3
6212 -1
6321 -1
6322 -1
6323 -1
6511 -1
6850 -1
6860 -1÷3
6920 -1÷3
7420 -1
7430 -1
7460 -1
bez izolacji
w izolacji
rurowego nieprzechylnego
rurowego przechylnego
rurowego przechylnego
lekkie
proste
łukowe
proste
łukowe
specjalne rozjazdowe
specjalne łukowe
specjalne rozjazdowe
specjalne łukowe
z otworem owalnym
żeliwny
z betonu THIOCRETE
z betonu THIOCRETE
płaski
do połączeń szynowych
ze śrubą
ze stykiem uszyniającym
wielodrutowy goły
wielodrutowy goły
wielodrutowy goły
wielodrutowy goły
wielodrutowy goły
słupa trakcyjnego
słupa trakcyjnego
słupa trakcyjnego
do kotwienia odciągów
do kotwienia odciągów
słupa trakcyjnego
słupa trakcyjnego
słupa trakcyjnego
odciągu prętowego
odciągu prętowego
z kratą trójkątną
z kratą trójkątną
z kratą trójkątną
dwuteownikowy
dwuteownikowy
kratowy
GKA 230 V
IMPACTFORCE
ORACLE
TROJKA
OXANE LED
Firmy ZPPE ELTRIM Sp. z o.o.
Firmy ZPPE ELTRIM Sp. z o.o.
Firmy ZPPE ELTRIM Sp. z o.o.
Firmy ZPPE ELTRIM Sp. z o.o.
Firmy Lamifil N.V.
Firmy Lamifil N.V.
Firmy EKS Isodraht GmbH
Firmy Lamifil N.V.
typu T-1; T-1G/T-1D
typu T-2; T-2G/T-2D
typu T-3; T-3G/T-3D
typu T-10
typu T-30
8,2 m
7,8 m
7,4 m
8,2 m
7,4 m
10,5 m dla wysięgu przez 2 t.
9811 -6, 7
9871 -1
9872 -3
9872 -1
1491
1492
1493
1495
1497
1491
1492
1493
1495
1497
1540
1550
1560
1611
1613
1614
1665
1667
1901
Strona 21 z 26
Stan na dzień: 2016-08-19
Numer
dopuszczenia
Okres/data
ważności
Podstawa
dopuszczenia
b/n
b/n
b/n
b/n
b/n
b/n
b/n
b/n
b/n
b/n
b/n
b/n
b/n
b/n
b/n
b/n
b/n
b/n
b/n
b/n
b/n
b/n
b/n
b/n
b/n
b/n
b/n
b/n
b/n
nie nadano
nie nadano
nie nadano
nie nadano
nie nadano
nie nadano
nie nadano
nie nadano
nie nadano
nie nadano
nie nadano
nie nadano
nie nadano
nie nadano
nie nadano
nie nadano
nie nadano
nie nadano
nie nadano
nie nadano
nie nadano
nie nadano
nie nadano
nie nadano
nie nadano
nie nadano
nie nadano
nie nadano
nie nadano
Starsze - SIEĆ
Starsze - SIEĆ
Starsze - SIEĆ
Starsze - SIEĆ
Starsze - SIEĆ
Starsze - SIEĆ
Starsze - SIEĆ
Starsze - SIEĆ
Starsze - SIEĆ
Starsze - SIEĆ
Starsze - SIEĆ
Starsze - SIEĆ
Starsze - SIEĆ
Starsze - SIEĆ
Starsze - SIEĆ
Starsze - SIEĆ
Starsze - SIEĆ
Starsze - SIEĆ
Starsze - SIEĆ
Starsze - SIEĆ
Starsze - SIEĆ
Starsze - SIEĆ
Starsze - SIEĆ
Starsze - SIEĆ
Starsze - SIEĆ
Starsze - SIEĆ
Starsze - SIEĆ
Starsze - SIEĆ
Starsze - SIEĆ
D/IEN/06/2014
2019-05-14
PW-17
D/IEN/06/2014
2019-05-14
PW-17
b/n
b/n
b/n
b/n
b/n
b/n
b/n
b/n
b/n
b/n
b/n
b/n
D/14/IEN/14/2013
D/14/IEN/14/2013
D/14/IEN/14/2013
D/14/IEN/14/2013
D/14/IEN/14/2013
b/n
b/n
b/n
b/n
b/n
b/n
b/n
b/n
b/n
b/n
b/n
b/n
b/n
b/n
nie nadano
nie nadano
nie nadano
nie nadano
nie nadano
nie nadano
nie nadano
nie nadano
nie nadano
nie nadano
nie nadano
nie nadano
2018-11-28
2018-11-28
2018-11-28
2018-11-28
2018-11-28
nie nadano
nie nadano
nie nadano
nie nadano
nie nadano
nie nadano
nie nadano
nie nadano
nie nadano
nie nadano
nie nadano
nie nadano
nie nadano
nie nadano
Starsze - OSW
Starsze - OSW
Starsze - OSW
Starsze - OSW
Starsze - SIEĆ
Starsze - SIEĆ
Starsze - SIEĆ
Starsze - SIEĆ
Starsze - SIEĆ
Starsze - SIEĆ
Starsze - SIEĆ
Starsze - SIEĆ
PW-17
PW-17
PW-17
PW-17
PW-17
Starsze - SIEĆ
Starsze - SIEĆ
Starsze - SIEĆ
Starsze - SIEĆ
Starsze - SIEĆ
Starsze - SIEĆ
Starsze - SIEĆ
Starsze - SIEĆ
Starsze - SIEĆ
Starsze - SIEĆ
Starsze - SIEĆ
Starsze - SIEĆ
Starsze - SIEĆ
Starsze - SIEĆ
Data ost.
Zmiany
Uwagi
160527
160527
160527
160404
160413
160413
160413
160413
160413
160413
PW-17 nie stosuje się.
DOPUSZCZANIE ELEMENTÓW PODSYSTEMÓW I TECHNOLOGII PRZEZNACZONYCH DO STOSOWANIA NA LINIACH KOLEJOWYCH ZARZĄDZANYCH PRZEZ PKP POLSKIE LINIE KOLEJOWE S.A.
Wspólna lista Dopuszczeń wydanych wg. Procedury SMS PW-17 oraz procedur wcześniejszych – branża elektroenergetyki.
Logo podmiotu lub nazwa
skrócona *3)
Nr. w kat.
'KOLPROJEKT'
Opis produktu
z wysięgiem przez 2 tory do
posadowienia na 2 palach
fundamentowych
z wysięgiem przez 2 tory do
posadowienia na 2 palach
fundamentowych
z wysięgiem przez 2 tory do
posadowienia na 2 palach
fundamentowych
TRAKCJA-PRK
Słup trakcyjny
TRAKCJA-PRK
Słup trakcyjny
TRAKCJA-PRK
Słup trakcyjny
TRAKCJA-PRK
TRAKCJA-PRK
TRAKCJA-PRK
TRAKCJA-PRK
TRAKCJA-PRK
TRAKCJA-PRK
TRAKCJA-PRK
TRAKCJA-PRK
TRAKCJA-PRK
TRAKCJA-PRK
TRAKCJA-PRK
TRAKCJA-PRK
TRAKCJA-PRK
TRAKCJA-PRK
TRAKCJA-PRK
TRAKCJA-PRK
TRAKCJA-PRK
TRAKCJA-PRK
TRAKCJA-PRK
TRAKCJA-PRK
TRAKCJA-PRK
TRAKCJA-PRK
TRAKCJA-PRK
TRAKCJA-PRK
TRAKCJA-PRK
TRAKCJA-PRK
TRAKCJA-PRK
TRAKCJA-PRK
TRAKCJA-PRK
TRAKCJA-PRK
TRAKCJA-PRK
TRAKCJA-PRK
TRAKCJA-PRK
VM-ELEKTRO
WIRBET
Wysięg przez dwa tory
Segment dźwigara
Segment dźwigara
Segment dźwigara
Segment dźwigara
Segment dźwigara
Segment dźwigara
Segment dźwigara
Segment dźwigara
Segment dźwigara
Segment dźwigara
Słup trakcyjny
Słup trakcyjny
Słup trakcyjny
Słup trakcyjny
Słup trakcyjny
Słup trakcyjny
Słup trakcyjny
Słup trakcyjny
Słup trakcyjny
Słup trakcyjny
Słup trakcyjny
Słup trakcyjny
Słup trakcyjny
Słup trakcyjny
Słup trakcyjny
Słup trakcyjny
Słup trakcyjny
Słup trakcyjny
Słup trakcyjny
Wspornik do dźwigara bramki
Odłącznikowy napęd silnikowy
Izolator sekcyjny
Oprawa oświetleniowa
ZAPEL
Izolator trakcyjny
ukośnika wysięgnika teownikowego
ZAPEL
Izolator trakcyjny kompozytowy
ukośnika wysięgnika teownikowego
ZAPEL
ZAPEL
ZAPEL
ZAPEL
ZAPEL
ZAPEL
ZAPEL
ZAPEL
ZEMEX
ZEMEX
ZEMEX
ZEMEX
ZEMEX
Izolator trakcyjny
Izolator trakcyjny kompozytowy
Izolator trakcyjny
Izolator trakcyjny
Izolator trakcyjny kompozytowy
Izolator trakcyjny
Izolator trakcyjny kompozytowy
Izolator trakcyjny
Uchwyt przelotowy
Uchwyt przelotowy
Uchwyt odciągowy
Uchwyt odciągowy
Zacisk
odciągu wysięgnika
odciągu wysięgnika
podwieszeniowy
podwieszeniowy
podwieszeniowy
ukośnika wysięgnika rurowego
ukośnika wysięgnika rurowego
liniowy
wahliwy żeliwny
wahliwy
przelotowy śrubowo -stożkowy
zaprasowywany
uszyniający do lin
środkowy
boczny
boczny
boczny
boczny
boczny
boczny
boczny
boczny
boczny
przelotowo-krańcowy bramki
krańcowy bramki
przelotowo-krańcowy bramki
krańcowy bramki
przelotowo-krańcowy bramki
krańcowy bramki
przelotowo-krańcowy bramki
krańcowy bramki
przelotowo-krańcowy bramki
przelotowo-krańcowy bramki
przelotowo-krańcowy bramki
przelotowo-krańcowy bramki
krańcowy bramki
krańcowy bramki
krańcowy bramki
krańcowy bramki
krańcowy bramki
krańcowy bramki
krańcowy bramki
i słupa przez dwa tory
Stan na dzień: 2016-08-19
Numer
dopuszczenia
Okres/data
ważności
Podstawa
dopuszczenia
Data ost.
Zmiany
‘(sł. o dł. 9500mm)
E-1905
1905
b/n
nie nadano
Starsze - SIEĆ
160415
‘(sł. o dł. 9000mm)
E-1906
1906
b/n
nie nadano
Starsze - SIEĆ
160415
‘(sł. o dł. 8200mm)
E-1907
1907
b/n
nie nadano
Starsze - SIEĆ
160415
1910
3013
3017
3018
3019
3020
3021
3022
3023
3024
3025
3031
3032
3033
3034
3035
3036
3037
3038
3111
3112
3113
3115
3116
3117
3121
3122
3125
3126
3127
4850
7470
7500 -1, 2
b/n
b/n
b/n
b/n
b/n
b/n
b/n
b/n
b/n
b/n
b/n
b/n
b/n
b/n
b/n
b/n
b/n
b/n
b/n
b/n
b/n
b/n
b/n
b/n
b/n
b/n
b/n
b/n
b/n
b/n
b/n
b/n
b/n
b/n
nie nadano
nie nadano
nie nadano
nie nadano
nie nadano
nie nadano
nie nadano
nie nadano
nie nadano
nie nadano
nie nadano
nie nadano
nie nadano
nie nadano
nie nadano
nie nadano
nie nadano
nie nadano
nie nadano
nie nadano
nie nadano
nie nadano
nie nadano
nie nadano
nie nadano
nie nadano
nie nadano
nie nadano
nie nadano
nie nadano
nie nadano
nie nadano
nie nadano
nie nadano
Starsze - SIEĆ
Starsze - SIEĆ
Starsze - SIEĆ
Starsze - SIEĆ
Starsze - SIEĆ
Starsze - SIEĆ
Starsze - SIEĆ
Starsze - SIEĆ
Starsze - SIEĆ
Starsze - SIEĆ
Starsze - SIEĆ
Starsze - SIEĆ
Starsze - SIEĆ
Starsze - SIEĆ
Starsze - SIEĆ
Starsze - SIEĆ
Starsze - SIEĆ
Starsze - SIEĆ
Starsze - SIEĆ
Starsze - SIEĆ
Starsze - SIEĆ
Starsze - SIEĆ
Starsze - SIEĆ
Starsze - SIEĆ
Starsze - SIEĆ
Starsze - SIEĆ
Starsze - SIEĆ
Starsze - SIEĆ
Starsze - SIEĆ
Starsze - SIEĆ
Starsze - SIEĆ
Starsze - SIEĆ
Starsze - SIEĆ
Starsze - OSW
160413
160414
160414
160414
160414
160414
160414
160414
160414
160414
160414
160414
160414
160414
160414
160414
160414
160414
160414
11,0 m
11,7 m
10,8 m
9,9 m
7,6 m
7,1 m
6,2 m
5,3 m
4,8 m
3,9 m
10,7 m
10,5 m
11,5 m
11,3 m
8,7 m
8,5 m
11,9 m
11,7 m
8,2 m, na jeden fundament
9,0 m, na jeden fundament
9,5 m, na jeden fundament
8,2 m, na jeden fundament
9,0 m, na jeden fundament
9,5 m, na jeden fundament
8,2 m, na dwa fundamenty
9,0 m, na dwa fundamenty
8,2 m, na dwa fundamenty
9,0 m, na dwa fundamenty
9,5 m, na dwa fundamenty
AM
160415
160314
Uwagi
Poza decyzją PKP PLK
Obecnie, jako RADPOL
7010 -1, 2
LT 40W-K NF 0114211 3 kV
LT 40K-K NF 0114110 3 kV
LT 40U-K NF 0111612 3 kV
LT 40R-K NF 0114210 3 kV
b/n
nie nadano
Starsze - SIEĆ
7010
D/IEN/20/2015
2020-08-24
PW-17
7020 -1
7020
7030 -1
7040 -1
7040
7100 -1
7100
7200
5160 -7, 9
5161
5180 -7
5181
5670
b/n
D/IEN/20/2015
b/n
b/n
D/IEN/20/2015
b/n
D/IEN/20/2015
b/n
b/n
b/n
b/n
b/n
b/n
nie nadano
2020-08-24
nie nadano
nie nadano
2020-08-24
nie nadano
2020-08-24
nie nadano
nie nadano
nie nadano
nie nadano
nie nadano
nie nadano
Starsze - SIEĆ
PW-17
Starsze - SIEĆ
Starsze - SIEĆ
PW-17
Starsze - SIEĆ
PW-17
Starsze - SIEĆ
Starsze - SIEĆ
Starsze - SIEĆ
Starsze - SIEĆ
Starsze - SIEĆ
Starsze - SIEĆ
Strona 22 z 26
150807
zamiennik
150807
zamiennik
150807
zamiennik
150807
zamiennik
DOPUSZCZANIE ELEMENTÓW PODSYSTEMÓW I TECHNOLOGII PRZEZNACZONYCH DO STOSOWANIA NA LINIACH KOLEJOWYCH ZARZĄDZANYCH PRZEZ PKP POLSKIE LINIE KOLEJOWE S.A.
Wspólna lista Dopuszczeń wydanych wg. Procedury SMS PW-17 oraz procedur wcześniejszych – branża elektroenergetyki.
Logo podmiotu lub nazwa
skrócona *3)
Nr. w kat.
'KOLPROJEKT'
Opis produktu
Numer
dopuszczenia
Stan na dzień: 2016-08-19
Okres/data
ważności
Podstawa
dopuszczenia
Data ost.
Zmiany
Uwagi
Uwagi różne
*1) Górna sztywna sieć trakcyjna typu CR2 oraz CR3HS do prędkości 160 km/h - zaprojektowana zgodnie z DTR dla górnej sztywnej sieci trakcyjnej produkcji Furrer + Frey AG i wykonana zgodnie z WTWiO - Warszawa, styczeń 2014 oraz posiad
*2) "Warunkowo bezterminowo" - Warunkiem uzyskania bezterminowego okresu ważności niniejszego dopuszczenia jest przeprowadzenie w przeciągu 5 lat badań eksploatacyjnych, po wykonaniu pierwszej instalacji na sieci PKP Polskie Lini
*3) Patrz: 'Wykaz producentów i dostawców'
Strona 23 z 26
DOPUSZCZANIE ELEMENTÓW PODSYSTEMÓW I TECHNOLOGII PRZEZNACZONYCH DO STOSOWANIA NA LINIACH KOLEJOWYCH
ZARZĄDZANYCH PRZEZ PKP POLSKIE LINIE KOLEJOWE S.A.
Wspólna lista Dopuszczeń wydanych wg. Procedury SMS PW-17 oraz procedur wcześniejszych – branża elektroenergetyki.
Logo lub nazwa skrócona
Wykaz producentów i dostawców
Pełna nazwa właściciela Dopuszczenia
ABLE
able Technologie
ALUMAST
ALUMAST S.A.
ALUMAST_BENITO
ALUMAST S.A.
ANIA
Centrum Elektryczne "Ania" Boguccy i Spółka Sp.j. Elektromarket,
AREX
Zakład Automatyki i Urządzeń Pomiarowych AREX Spółka z o.o
ART-MEDIA
Art-Media Dariusz Ratajczyk
ASTE
ASTE Sp. z o.o.
ATM
ATM Lightning Spółka z o.o.
AURALIGHT
Auralight Polska Sp. z o.o.
AZO-DIGITAL
AZO-DIGITAL Sp. z o.o.
BELOS-PLP
BELOS-PLP Spółka Akcyjna
BS-SYSTEM
BS System sp. z o. o.
BUSH_PL
Busch Polska Sp. z o.o.
CEBAPO
Centrum Badawcze Powłok Ochronnych CEBAPO sp. z o.o.
DALEKOVOD_PL
DALEKOVOD - POLSKA
DELTA-ZIENC
Przedsiębiorstwo „DELTA-ZIEŃĆ”
DRUT-PLAST
DRUT-PLAST Fabryka Kabli i Przewodów Sp. z o.o.
DRY-TECHNOLOGIS_LAFOGE
DRY TECHNOLOGIES Sp. z o.o.
ELBUD-IMPEX
Elbud - Impex Sp. z o.o.
ELBUD-PPE
ELBUD PPE Sp. z o.o.
ELEKTROPORCELAN
Elektroporcelan Louny A.S.
ELESTER-PKP
Elester-PKP Sp. z o.o
ELGO
ELGO Lighting Industries S.A.
ELMO
ELMO S.A.
ELPAR
Fabryka Kabli ELPAR Sp. z o.o.
ELTOM
Zakład Produkcji Aparatury Elektrycznej i Izolatorów ELTOM Tomasz Cisak
ELTRIM
Zakład Produkcji Przewodów Elektrycznych ELTRIM Sp. z o.o.
ELTRON
Eltron - Kabel Spółka Jawna; Krzysztof Rutkowski, Tadeusz Rutkowski
ELTTRONICA-IT
Elettronica Italiana Sp. z o.o.
ES-SYSTEM
ES-System S.A.
EURO-TECH
Przedsiębiorstwo Produkcyjno-Handlowe "EURO-TECH"
EXBUD-SKANSKA
EXBUD SKANSKA S.A.
FABRYKA-PRZEWODOW-EN
Fabryka Przewodów Energetycznych S.A.
FUK
Fabryka Urządzeń Kolejowych Sp. z o.o.
Furrer + Frey AG
Furrer + Frey AG
HSK-DATA
HSK-DATA Ltd. Sp. z o.o.
Uwagi
Dystrybutor f-my BENITO URBAN
do kwietnia 2015 r., jako: Art-Media S.C. Artur Biernacki, Dariusz Ratajczyk.
kwiecień 2015 r.: Spólka ART-MEDIA - przekształca się w sp. jednoosobową
Strona 24 z 26
DOPUSZCZANIE ELEMENTÓW PODSYSTEMÓW I TECHNOLOGII PRZEZNACZONYCH DO STOSOWANIA NA LINIACH KOLEJOWYCH
ZARZĄDZANYCH PRZEZ PKP POLSKIE LINIE KOLEJOWE S.A.
Wspólna lista Dopuszczeń wydanych wg. Procedury SMS PW-17 oraz procedur wcześniejszych – branża elektroenergetyki.
Logo lub nazwa skrócona
Wykaz producentów i dostawców
Pełna nazwa właściciela Dopuszczenia
Uwagi
HTI-BP_BS-SYSTEM
HTI-BP Sp. z o.o. Zachód Spółka Komandytowa
jako dystrybutor dla BS-SYSTEM
INSTYTUT-EZD
Instytut Elektrotechniki Zakład Doświadczalny III
INTERFREZ
Interfrez Sp. z o.o.
INTERFREZ-MIGAŁA
Interfrez Migała Sp. j.
INVOLT_ARTUR-FLURY
INVOLT Sp. z o.o.
jako dystrybutor firmy ARTUR-FLURY
INVOLT_ELTRIM
INVOLT Sp. z o.o.
jako dystrybutor firmy ELTRIM
INVOLT_IZODRAHT
INVOLT Sp. z o.o.
jako dystrybutor firmy IZODRAHT GMBH
INVOLT_TELE-FONIKA
INVOLT Sp. z o.o.
jako dystrybutor firmy TELE-FONIKA
ISOSYSTEM_SCHOMBURG
ISOSYSTEM Sp. z o.o.
Przedstawiciel producenta SCHOMBURG POLSKA Sp. z o.o.
JEDLICZE
ZPRE JEDLICZE Sp. z o.o.
KOLEN
KOLEN R. Jaworski i Wspólnicy Spółka Jawna
KOL-MINEX
Kol-Minex Sp. z o.o.
KOZBI
PPUH KOZBI Zbigniew Kowalski
KPB-KUTNO
Kutnowska Prefabrykacja Betonów Kutno Sp. z o.o.
KROMISS-BIS_A-FLURY
Kromiss-Bis Sp. z o.o. ARTHUR FLURY
KRULEN_NORKA
KRULEN Spółka z o.o.
KUCA
KUCA Sp. z o.o.
LA-FARGA
La Farga Lacambra S.A.U
LAPP-INS
Lapp Insulators Sp. z o.o.
LENA-LIGHTING
Lena Lighting S.A.
LUG-L-F
LUG Light Factory Sp. z o.o.
LUXIONA
LUXIONA POLAND S.A.
LUXMAT
Luxmat Sp. z o.o.
MABO
MABO Sp. z o.o.
MACHINEN & ANLAGEN
Machinen & Anlagen Service Gmbh Guben Niemcy
MARBET
MARBET-WIL Sp. z o.o.
MINER
Miner-PBG Sp. z o.o.
MIROSLAW-UJSKI
Wytwórnia Podkładów Strunobetonowych S.A.
MONAT
Wielobranżowa i Projektowa Spółka z o.o. "MONAT"
MOSTOSTAL-SIEDLCE
Mostostal Siedlce Spólka z o.o.
NTK-CABLES
ntk cables S.A.
PAMAR
PAMAR Kornelia Chłapek
PATEREK
ZNTK PATEREK S.A.
PFISTERER
Pfisterer Sp. z o.o.
PHILIPS_PL
Philips Lighting Poland S.A.
PIAB_SAFETRACK
Piab Polska Sp. z o.o.
Interfrez Sp. z o.o. powstała z doświadczenia Interfrez Migała Sp. j.
Dystrybutor f-my NORKA
Do dn.01.10.2014 r., jako MABO Adolf Bogacki
Dn. 13.02.2016 zmiana formy prawnej;
- dawniej jako: Polimex-Mostostal S.A. Zakład Wyrobów Stalowych
Przedstawiciel dla SAFETRACK BAAVHAMMAR AB, Szwecja
Strona 25 z 26
DOPUSZCZANIE ELEMENTÓW PODSYSTEMÓW I TECHNOLOGII PRZEZNACZONYCH DO STOSOWANIA NA LINIACH KOLEJOWYCH
ZARZĄDZANYCH PRZEZ PKP POLSKIE LINIE KOLEJOWE S.A.
Wspólna lista Dopuszczeń wydanych wg. Procedury SMS PW-17 oraz procedur wcześniejszych – branża elektroenergetyki.
Logo lub nazwa skrócona
Wykaz producentów i dostawców
Pełna nazwa właściciela Dopuszczenia
PINTSCH
PINTSCH ABE B.V. Holandia
PKP-EN_OU_W-WA
PKP Energetyka S.A. Oddział usługi w Warszawie
PKP-EN_PLN
PKP Energetyka S.A. Zakład Północny
PKP-EN_SLO
PKP Energetyka S.A. Zakład Robót Energetycznych w Słotwinach
PKP-EN_SWI
PKP Energetyka S.A. Zakład Świętokrzyski
PKP-EN_WSC
PKP Energetyka S.A. Zakład Wschodni
POLCYNK
POLCYNK Sp. z o.o.
POLFRANS_ORAPI
POLFANS Jacek Rybiński
PUMECH
PUMECH Sp. z o.o.
RABBIT
Rabbit Sp. z o.o.
RADPOL
Radpol S.A.
REVENGA_REVENGA
Revenga Ingenioros Polska Sp. z o.o.
RIBE
RIBE Elektroarmaturen GmbH&Co.KG.
R-K-O-S
Radomskie Konsorcjum Osprzętu Sieciowego Sp. z o.o.
ROSA
Z.P.S.O. „ROSA” Stanisław Rosa
SCHREDER_SCHREDER
Schreder Polska Sp. z o.o.
SCHREDER_SOCELEC
Schreder Polska Sp. z o.o.
SCHREDER_TUNGSRAM
Schreder Polska Sp. z o.o.
SESTO
SESTO Sp. z o.o., ul. Wygodna 23, 91-021 Łódź
SFAMASZ
Skierniewicka Fabryka Maszyn, Urządzeń i Konstrukcji "Sfamasz"
SPEC-MIN
Spec-Min Sp. z o.o
STANMAR
STANMAR Sp. z o.o.
STRUNOBET-MIGACZ
STRUNOBET-MIGACZ Sp. z o.o.
TECHNOLIGHT_DISANO
Biuro Techniczno-Handlowe TechnoLight
TELE-FONICA-K
Tele-Fonika Kable Sp. z o.o.
TERMOPROD
P.P.U.H. TERMOPROD
TERMORAD
TERMORAD s.c. Zakład Termoelektryczny H.Komosa K.Komosa
THORN_PL
Thorn Lighting Polska Sp. z o.o.
TIM
TIM S.A.
TORPOL
TORPOL S.A.
TRAKCJA-PRK
Trakcja Polska S.A.
VM-ELEKTRO
VM Elektro
WIRBET
WIRBET Spółka Akcyjna
ZAPEL
Zakłady Porcelany Elektrotechnicznej ZAPEL S.A.
ZEMEX
W.P.P.U.H "ZEMEX" Sp. z o.o.
Uwagi
Uznanie dla prod. "Słup trakcyjny 1611 11-15" dawniej wykonywanego dla f-my TRAKCE-TOR.
Przedstawiciel dla REVENGA INGENIEROS S.A. - Madryt, HISZPANIA
powstało w dniu 05.03.2012 r. powołane przez firmy : PPUH „TERMOPROD” Marek Czupryn oraz Kolejowy
Zakład Osprzętu Sieciowego Sp. z o.o. Radom
Autoryzowany dystrybutor grupy dla Disano-Italia
31.12.2014 przejęta przez RADPOL S.A. Człuchów; pozostał Zakład Produkcyjny w Ostrowie Wlkp.
Strona 26 z 26