Lp. Nazwa gminy Powierzchnia użytków rolnych w gminie w ha

Transkrypt

Lp. Nazwa gminy Powierzchnia użytków rolnych w gminie w ha
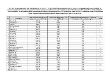
Dane do kryterium regionalnego wraz z punktacją, o którym mowa w § 11. ust. 2 pkt. 6 lit. a Rozporządzenia Ministra Rolnictwa i Rozwoju Wsi z dnia 4 września 2015 r. w
sprawie szczegółowych warunków i trybu przyznawania oraz wypłaty pomocy finansowej na operacje typu „Budowa lub modernizacja dróg lokalnych” w ramach poddziałania
„Wsparcie inwestycji związanych z tworzeniem, ulepszaniem lub rozbudową wszystkich rodzajów małej infrastruktury, w tym inwestycji w energię odnawialną i w oszczędzanie
energii” objętego Programem Rozwoju Obszarów Wiejskich na lata 2014–2020 (Dz. U. poz. 1414)
Lp.
Nazwa gminy
1
2
3
4
5
6
7
8
9
10
11
12
13
14
15
16
17
18
19
20
21
22
23
24
25
26
27
28
29
Alwernia (3)
Andrychów (3)
Babice (2)
Biały Dunajec (2)
Biecz (3)
Biskupice (2)
Bobowa (3)
Bochnia (2)
Bolesław (2)
Bolesław (2)
Borzęcin (2)
Brzesko (3)
Brzeszcze (3)
Brzeźnica (2)
Budzów (2)
Bukowina Tatrzańska (2)
Bystra-Sidzina (2)
Charsznica (2)
Chełmek (3)
Chełmiec (2)
Chrzanów (3)
Ciężkowice (3)
Czarny Dunajec (2)
Czchów (3)
Czernichów (2)
Czorsztyn (2)
Dąbrowa Tarnowska (3)
Dębno (2)
Dobczyce (3)
Powierzchnia użytków rolnych w
gminie w ha (stan na 2010 r.)
1964,59
3247,55
866,17
1675,05
5147,08
1660,90
2927,36
5704,85
2685,85
913,83
4068,20
3960,94
1386,58
2822,79
2772,31
4496,13
2578,78
6107,69
359,09
4229,02
824,01
5000,68
9033,14
2725,08
3789,34
1552,74
6191,02
4281,79
1748,38
Powierzchnia ogółem gminy w ha
(stan na 2010 r.)
7565
10039
5404
3523
9825
4114
4977
13087
3570
4071
10270
10266
4560
6643
7356
13186
8052
7845
2732
11197
7944
10338
21735
6643
8422
6216
11646
8160
6639
Udział powierzchni użytków rolnych w gminie w
stosunku do powierzchni gminy ogółem
26%
32%
16%
48%
52%
40%
59%
44%
75%
22%
40%
39%
30%
42%
38%
34%
32%
78%
13%
38%
10%
48%
42%
41%
45%
25%
53%
52%
26%
Punkty
0
0
0
1
2
1
2
1
2
0
1
1
0
1
1
0
0
2
0
1
0
1
1
1
1
0
2
2
0
30
31
32
33
34
35
36
37
38
39
40
41
42
43
44
45
46
47
48
49
50
51
52
53
54
55
56
57
58
59
60
61
62
63
64
65
Dobra (2)
Drwinia (2)
Gdów (2)
Gnojnik (2)
Gołcza (2)
Gorlice (2)
Gręboszów (2)
Gromnik (2)
Gródek nad Dunajcem (2)
Grybów (2)
Igołomia-Wawrzeńczyce (2)
Iwanowice (2)
Iwkowa (2)
Jabłonka (2)
Jerzmanowice-Przeginia (2)
Jodłownik (2)
Jordanów (2)
Kalwaria Zebrzydowska (3)
Kamienica (2)
Kamionka Wielka (2)
Kęty (3)
Klucze (2)
Kłaj (2)
Kocmyrzów-Luborzyca (2)
Koniusza (2)
Korzenna (2)
Koszyce (2)
Kościelisko (2)
Kozłów (2)
Krościenko nad Dunajcem (2)
Krynica-Zdrój (3)
Krzeszowice (3)
Książ Wielki (2)
Lanckorona (2)
Laskowa (2)
Libiąż (3)
4693,65
3572,31
5995,46
2620,08
6375,0
4524,14
3537,37
3039,95
3515,57
7083,52
4459,87
4818,17
2448,77
8822,80
4058,85
4772,77
3176,60
2993,27
2379,37
2067,72
2618,80
2965,89
1758,69
5360,99
6459,09
6106,75
4761,38
2128,33
4778,23
2134,01
4405,70
2956,79
7828,19
1845,25
3206,10
549,17
10991
10833
10872
5499
9002
10285
4851
6973
8819
15315
6279
7109
4722
21273
6814
7219
9245
7526
9518
6498
7608
11950
6498
8081
8852
10695
6606
13668
8575
5712
14513
13904
13783
4043
7248
5707
43%
33%
55%
48%
71%
44%
73%
44%
40%
46%
71%
68%
52%
41%
60%
66%
34%
40%
25%
32%
34%
25%
27%
66%
73%
57%
72%
16%
56%
37%
30%
21%
57%
46%
44%
10%
1
0
2
1
2
1
2
1
1
1
2
2
2
1
2
2
0
1
0
0
0
0
0
2
2
2
2
0
2
1
0
0
2
1
1
0
66
67
68
69
70
71
72
73
74
75
76
77
78
79
80
81
82
83
84
85
86
87
88
89
90
91
92
93
94
95
96
97
98
99
100
101
Limanowa (2)
Lipinki (2)
Lipnica Murowana (2)
Lipnica Wielka (2)
Lisia Góra (2)
Liszki (2)
Lubień (2)
Łabowa (2)
Łapanów (2)
Łapsze Niżne (2)
Łącko (2)
Łososina Dolna (2)
Łukowica (2)
Łużna (2)
Maków Podhalański (3)
Mędrzechów (2)
Michałowice (2)
Miechów (3)
Mogilany (2)
Moszczenica (2)
Mszana Dolna (2)
Mucharz (2)
Muszyna (3)
Myślenice (3)
Nawojowa (2)
Niedźwiedź (2)
Niepołomice (3)
Nowe Brzesko (2)
Nowy Targ (2)
Nowy Wiśnicz (3)
Ochotnica Dolna (2)
Olesno (2)
Olkusz (3)
Osiek (2)
Oświęcim (2)
Pałecznica (2)
7162,12
2452,56
2789,63
2115,71
4488,07
2939,14
2515,87
2706,38
3314,79
4464,61
4937,13
3744,11
3678,55
3157,24
3050,56
2183,26
2715,56
10940,18
1424,33
2042,51
7895,55
667,69
2257,24
5513,84
2137,95
2430,92
4268,50
4712,37
8097,47
3813,99
3913,12
5398,71
4899,36
3134,79
2046,0
4021,90
15223
6646
6030
6736
10432
7207
7510
11915
7170
12579
13295
8476
6965
5627
10871
4440
5113
14836
4363
3762
17002
3731
14144
15352
5021
7422
9627
5442
20768
8216
14120
7760
15080
4076
7484
4788
47%
37%
46%
31%
43%
41%
34%
23%
46%
35%
37%
44%
53%
56%
28%
49%
53%
74%
33%
54%
46%
18%
16%
36%
43%
33%
44%
87%
39%
46%
28%
70%
32%
77%
27%
84%
1
1
1
0
1
1
0
0
1
0
1
1
2
2
0
1
2
2
0
2
1
0
0
1
1
0
1
2
1
1
0
2
0
2
0
2
102
103
104
105
106
107
108
109
110
111
112
113
114
115
116
117
118
119
120
121
122
123
124
125
126
127
128
129
130
131
132
133
134
135
136
137
Pcim (2)
Piwniczna-Zdrój (3)
Pleśna (2)
Podegrodzie (2)
Polanka Wielka (2)
Poronin (2)
Proszowice (3)
Przeciszów (2)
Raba Wyżna (2)
Rabka-Zdrój (3)
Raciechowice (2)
Racławice (2)
Radgoszcz (2)
Radłów (3)
Radziemice (2)
Ropa (2)
Ryglice (3)
Rytro (2)
Rzepiennik Strzyżewski (2)
Rzezawa (2)
Sękowa (2)
Siepraw (2)
Skała (3)
Skawina (3)
Skrzyszów (2)
Słaboszów (2)
Słomniki (3)
Słopnice (2)
Spytkowice (2) [wadowicki]
Spytkowice (2) [nowotarski]
Stary Sącz (3)
Stryszawa (2)
Stryszów (2)
Sułkowice (3)
Sułoszowa (2)
Szaflary (2)
2869,65
2332,51
3360,60
3187,43
1953,79
2877,91
7774,80
2526,56
28755,17
2372,39
3097,85
3875,47
5048,37
4232,69
4173,02
2040,90
5283,97
620,66
3827,15
3025,97
4278,30
1620,21
3761,20
3037,15
3690,52
5809,96
7820,12
2656,31
2419,54
1462,18
3226,12
3720,25
1791,01
1970,37
4016,24
3752,11
8896
12646
8306
6473
2389
8362
10002
3546
8902
6916
6115
5911
8810
8619
5797
4911
11711
4190
7071
8635
19480
3185
7483
9984
8602
7677
11298
5685
4990
3218
10088
11381
4590
6038
5338
5427
32%
18%
40%
49%
82%
34%
78%
71%
323%
34%
51%
66%
57%
49%
72%
42%
45%
15%
54%
35%
22%
51%
50%
30%
43%
76%
69%
47%
48%
45%
32%
33%
39%
33%
75%
69%
0
0
1
1
2
0
2
2
2
0
2
2
2
1
2
1
1
0
2
0
0
2
1
0
1
2
2
1
1
1
0
0
1
0
2
2
138
139
140
141
142
143
144
145
146
147
148
149
150
151
152
153
154
155
156
157
158
159
160
161
162
163
164
165
166
167
168
Szczawnica (3)
Szczucin (3)
Szczurowa (2)
Szerzyny (2)
Świątniki Górne (3)
Tarnów (2)
Tokarnia (2)
Tomice (2)
Trzciana (2)
Trzebinia (3)
Trzyciąż (2)
Tuchów (3)
Tymbark (2)
Uście Gorlickie (2)
Wadowice (3)
Wieliczka (3)
Wielka Wieś (2)
Wieprz (2)
Wierzchosławice (2)
Wietrzychowice (2)
Wiśniowa (2)
Wojnicz (3)
Wolbrom (3)
Zabierzów (2)
Zakliczyn (3)
Zator (3)
Zawoja (2)
Zembrzyce (2)
Zielonki (2)
Żabno (3)
Żegocina (2)
1306,63
6676,86
7091,86
4274,09
741,74
3054,27
2087,73
2212,54
2541,56
903,64
6045,60
4361,96
1521,65
8088,24
3686,24
3546,58
2126,96
4585,86
1961,03
2788,67
3078,51
2751,85
9380,08
3290,36
5105,59
2084,16
2669,31
1082,93
2674,78
5863,86
1670,61
8790
11948
13492
8200
2035
8272
6863
4153
4409
10540
9573
9986
3270
28780
11283
9967
4827
7442
7515
4840
6710
7931
14678
9942
12206
5163
12878
3920
4858
10156
3489
15%
56%
53%
52%
36%
37%
30%
53%
58%
9%
63%
44%
47%
28%
33%
36%
44%
62%
26%
58%
46%
35%
64%
33%
42%
40%
21%
28%
55%
58%
48%
Źródło danych: Bank Danych Lokalnych, Główny Urząd Statystyczny (dostęp: 1 kwietnia 2016 r.)
Powierzchnia ogółem gminy - Kategoria: PODZIAŁ TERYTORIALNY; Grupa: POWIERZCHNIA GEODEZYJNA KRAJU (DANE GUGIK); Podgrupa: POWIERZCHNIA; Wymiary: OGÓŁEM W HA; 2010
Powierzchnia użytków rolnych w gminie - Kategoria: POWSZECHNE SPISY ROLNE; Grupa: PSR 2010 - WG SIEDZIBY GOSPODARSTWA; Podgrupa: UŻYTKOWANIE GRUNTÓW (NTS-5, 2010; Wymiary:
GOSPODARSTWA ROLNE OGÓŁEM; POWIERZCHNIA; UŻYTKI ROLNE OGÓŁEM; 2010
0
2
2
2
1
1
0
2
2
0
2
1
1
0
0
1
1
2
0
2
1
0
2
0
1
1
0
0
2
2
1