Zakup odzieży i obuwia roboczego dla pracowników SP ZOZ

Transkrypt

Zakup odzieży i obuwia roboczego dla pracowników SP ZOZ
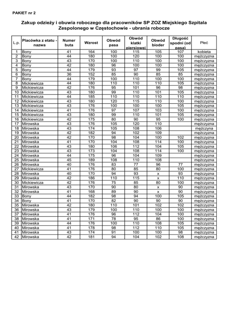
PAKIET nr 2
Zakup odzieży i obuwia roboczego dla pracowników SP ZOZ Miejskiego Szpitala
Zespolonego w Częstochowie - ubrania robocze
L.p.
1
2
3
4
5
6
7
8
9
10
11
12
13
14
15
16
17
18
19
20
21
22
23
24
25
26
27
28
29
30
31
32
33
34
35
36
37
38
39
40
41
42
Placówka z etatu nazwa
Bony
Bony
Bony
Bony
Bony
Bony
Bony
Mickiewicza
Mickiewicza
Mickiewicza
Mickiewicza
Mickiewicza
Mickiewicza
Mickiewicza
Mickiewicza
Mickiewicza
Mirowska
Mirowska
Mirowska
Mirowska
Mirowska
Mirowska
Mirowska
Mirowska
Mirowska
Mirowska
Mickiewicza
Mirowska
Mirowska
Mickiewicza
Mirowska
Mirowska
Bony
Bony
Mirowska
Mirowska
Mirowska
Mirowska
Mirowska
Mirowska
Mirowska
Mirowska
Numer
buta
Wzrost
Obwód
pasa
41
44
43
42
44
36
44
44
42
43
44
43
43
41
43
42
43
43
42
42
41
43
43
44
45
40
41
40
42
42
43
41
44
41
42
43
41
41
44
41
43
42
164
180
170
180
179
152
179
180
176
180
185
180
176
176
180
175
176
174
182
170
170
180
173
175
189
176
176
170
186
176
170
168
182
170
180
179
176
171
176
178
174
181
100
100
100
96
93
85
100
110
95
99
110
120
100
97
99
80
105
105
94
98
104
106
104
96
108
83
80
94
110
75
90
89
98
82
110
100
96
78
100
98
91
94
Obwód
klatki
piersiowej
115
120
110
100
97
90
110
110
101
110
110
115
100
107
110
90
120
108
102
104
108
112
108
104
110
77
85
93
115
85
80
90
94
90
101
110
112
95
110
112
100
104
Obwód
bioder
105
100
100
100
99
85
100
110
96
101
110
110
100
103
101
95
110
106
109
100
114
104
114
109
108
96
80
x
x
80
x
x
100
90
102
100
104
86
108
110
100
102
Długość
spodni (od
pasa)
107
100
100
100
105
85
100
105
98
105
110
100
105
100
105
100
102
100
105
100
77
100
93
110
100
90
90
105
90
102
100
100
100
105
105
98
108
Płeć
kobieta
mężczyzna
mężczyzna
mężczyzna
mężczyzna
mężczyzna
mężczyzna
mężczyzna
mężczyzna
mężczyzna
mężczyzna
mężczyzna
mężczyzna
mężczyzna
mężczyzna
mężczyzna
mężczyzna
mężczyna
mężczyzna
mężczyzna
mężczyzna
mężczyzna
mężczyzna
mężczyzna
mężczyzna
mężczyzna
mężczyzna
mężczyzna
mężczyzna
mężczyzna
mężczyzna
mężczyzna
mężczyzna
mężczyzna
mężczyzna
mężczyzna
mężczyzna
mężczyzna
mężczyzna
mężczyzna
mężczyzna
mężczyzna