zakres tematyczny - Projekt METODA NA KRYZYS

Transkrypt

zakres tematyczny - Projekt METODA NA KRYZYS
Projekt współfinansowany ze środków
Unii Europejskiej w ramach Europejskiego Funduszu Społecznego
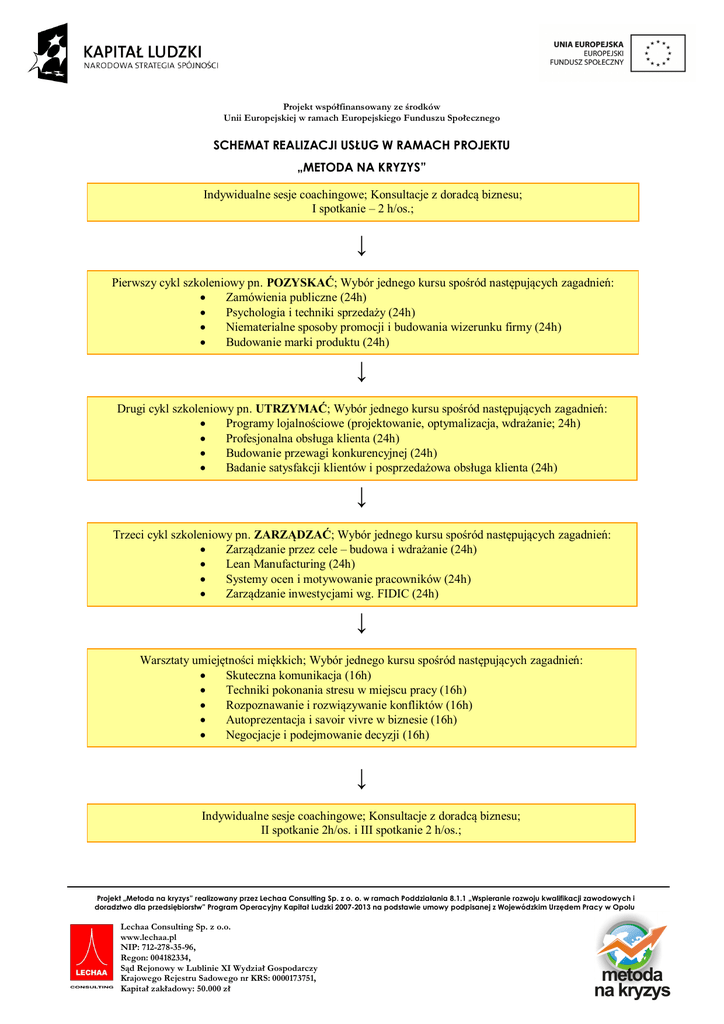
SCHEMAT REALIZACJI USŁUG W RAMACH PROJEKTU
„METODA NA KRYZYS”
Indywidualne sesje coachingowe; Konsultacje z doradcą biznesu;
I spotkanie – 2 h/os.;
↓
Pierwszy cykl szkoleniowy pn. POZYSKAĆ; Wybór jednego kursu spośród następujących zagadnień:

Zamówienia publiczne (24h)

Psychologia i techniki sprzedaży (24h)

Niematerialne sposoby promocji i budowania wizerunku firmy (24h)

Budowanie marki produktu (24h)
↓
Drugi cykl szkoleniowy pn. UTRZYMAĆ; Wybór jednego kursu spośród następujących zagadnień:

Programy lojalnościowe (projektowanie, optymalizacja, wdrażanie; 24h)

Profesjonalna obsługa klienta (24h)

Budowanie przewagi konkurencyjnej (24h)

Badanie satysfakcji klientów i posprzedażowa obsługa klienta (24h)
↓
Trzeci cykl szkoleniowy pn. ZARZĄDZAĆ; Wybór jednego kursu spośród następujących zagadnień:

Zarządzanie przez cele – budowa i wdrażanie (24h)

Lean Manufacturing (24h)

Systemy ocen i motywowanie pracowników (24h)

Zarządzanie inwestycjami wg. FIDIC (24h)
↓
Warsztaty umiejętności miękkich; Wybór jednego kursu spośród następujących zagadnień:

Skuteczna komunikacja (16h)

Techniki pokonania stresu w miejscu pracy (16h)

Rozpoznawanie i rozwiązywanie konfliktów (16h)

Autoprezentacja i savoir vivre w biznesie (16h)

Negocjacje i podejmowanie decyzji (16h)
↓
Indywidualne sesje coachingowe; Konsultacje z doradcą biznesu;
II spotkanie 2h/os. i III spotkanie 2 h/os.;
Projekt „Metoda na kryzys” realizowany przez Lechaa Consulting Sp. z o. o. w ramach Poddziałania 8.1.1 „Wspieranie rozwoju kwalifikacji zawodowych i
doradztwo dla przedsiębiorstw” Program Operacyjny Kapitał Ludzki 2007-2013 na podstawie umowy podpisanej z Wojewódzkim Urzędem Pracy w Opolu
Lechaa Consulting Sp. z o.o.
www.lechaa.pl
NIP: 712-278-35-96,
Regon: 004182334,
Sąd Rejonowy w Lublinie XI Wydział Gospodarczy
Krajowego Rejestru Sadowego nr KRS: 0000173751,
Kapitał zakładowy: 50.000 zł
Projekt współfinansowany ze środków
Unii Europejskiej w ramach Europejskiego Funduszu Społecznego
ZAKRES TEMATYCZNY
INDYWIDUALNE SESJE COACHINGOWE – DORADCA BIZNESU
Przed
rozpoczęciem
kursów
uczestnicy
projektu
wezmą
udział
w indywidualnych sesjach coachingowych, które mają na określić cele
szkoleniowe, a następnie wdrożyć je w życie. Cykle coachingowe umożliwią
wzmocnienie
siły
organizacyjnej
firmy
poprzez
jednostkowy
rozwój
pracowników.
Pierwsza sesja coachingowa (2h/1 os.)
Pierwsze spotkanie obejmie m.in. omówienie obowiązków związanych
z wykonywanym stanowiskiem w pracy, celów organizacji (przedsiębiorstwa),
w której uczestnik pracuje, celów uczestnika projektu w jego pracy
zawodowej oraz na podstawie deficytów wiedzy i umiejętności określona
zostanie ścieżka uczestnictwa w projekcie.
Druga sesja coachingowa (2h/1 os.)
Drugie spotkanie odbędzie się po zakończeniu udziału w kursach przez
uczestnika projektu. Spotkanie polegać będzie na weryfikacji prawidłowości
dotychczasowej ścieżki udziału w projekcie.
Trzecia sesja coachingowa (2h/1 os.)
Trzecie spotkanie odbędzie się po zakończeniu udziału w kursach przez
uczestnika projektu. Jego celem będzie weryfikacja zdobytej wiedzy oraz
wprowadzenie tej wiedzy do codziennych czynności zawodowych.
Projekt „Metoda na kryzys” realizowany przez Lechaa Consulting Sp. z o. o. w ramach Poddziałania 8.1.1 „Wspieranie rozwoju kwalifikacji zawodowych i
doradztwo dla przedsiębiorstw” Program Operacyjny Kapitał Ludzki 2007-2013 na podstawie umowy podpisanej z Wojewódzkim Urzędem Pracy w Opolu
Lechaa Consulting Sp. z o.o.
www.lechaa.pl
NIP: 712-278-35-96,
Regon: 004182334,
Sąd Rejonowy w Lublinie XI Wydział Gospodarczy
Krajowego Rejestru Sadowego nr KRS: 0000173751,
Kapitał zakładowy: 50.000 zł
Projekt współfinansowany ze środków
Unii Europejskiej w ramach Europejskiego Funduszu Społecznego
ZAKRES TEMATYCZNY
CYKLE SZKOLENIOWE
Cykle składają się z powiązanych ze sobą trzydniowych szkoleń
w wymiarze 24h. Każde szkolenie w cyklu stanowi zamkniętą całość. Każdy
uczestnik projektu weźmie udział w szkoleniach wybranych w procesie
badania potrzeb na etapie rekrutacji do projektu. Łącznie każdy Beneficjent
Ostateczny objęty zostanie trzema szkoleniami (jednym szkoleniem z każdego
cyklu). Szkolenia wzajemnie się uzupełniają. Cykl I to nabywanie wiedzy
pozwalającej pozyskiwać klientów i zlecenia. Cykl II to metody utrzymywania
relacji z klientami, spełnianie ich oczekiwań oraz potrzeb. Cykl III to
nabywanie wiedzy niezbędnej do prawidłowego funkcjonowania firmy.
Wiedza ta związana jest z zarządzaniem.
Pierwszy cykl szkoleniowy pn. POZYSKAĆ:
 Zamówienia publiczne (24h)
 Psychologia i techniki sprzedaży (24h)
 Niematerialne sposoby promocji i budowania wizerunku firmy
(24h)
 Budowanie marki produktu (24h)
Drugi cykl szkoleniowy pn. UTRZYMAĆ:
 Programy
lojalnościowe
(projektowanie,
optymalizacja,
wdrażanie (24h)
 Profesjonalna obsługa klienta (24h)
 Budowanie przewagi konkurencyjnej (24h)
 Badanie satysfakcji klientów i posprzedażowa obsługa klienta
(24h)
Projekt „Metoda na kryzys” realizowany przez Lechaa Consulting Sp. z o. o. w ramach Poddziałania 8.1.1 „Wspieranie rozwoju kwalifikacji zawodowych i
doradztwo dla przedsiębiorstw” Program Operacyjny Kapitał Ludzki 2007-2013 na podstawie umowy podpisanej z Wojewódzkim Urzędem Pracy w Opolu
Lechaa Consulting Sp. z o.o.
www.lechaa.pl
NIP: 712-278-35-96,
Regon: 004182334,
Sąd Rejonowy w Lublinie XI Wydział Gospodarczy
Krajowego Rejestru Sadowego nr KRS: 0000173751,
Kapitał zakładowy: 50.000 zł
Projekt współfinansowany ze środków
Unii Europejskiej w ramach Europejskiego Funduszu Społecznego
Trzeci cykl szkoleniowy pn. ZARZĄDZAĆ:
 Zarządzanie przez cele – budowa i wdrażanie (24h)
 Lean Manufacturing (24h)
 Systemy ocen i motywowanie pracowników (24h)
 Zarządzanie inwestycjami wg. FIDIC (24h)
Projekt „Metoda na kryzys” realizowany przez Lechaa Consulting Sp. z o. o. w ramach Poddziałania 8.1.1 „Wspieranie rozwoju kwalifikacji zawodowych i
doradztwo dla przedsiębiorstw” Program Operacyjny Kapitał Ludzki 2007-2013 na podstawie umowy podpisanej z Wojewódzkim Urzędem Pracy w Opolu
Lechaa Consulting Sp. z o.o.
www.lechaa.pl
NIP: 712-278-35-96,
Regon: 004182334,
Sąd Rejonowy w Lublinie XI Wydział Gospodarczy
Krajowego Rejestru Sadowego nr KRS: 0000173751,
Kapitał zakładowy: 50.000 zł
Projekt współfinansowany ze środków
Unii Europejskiej w ramach Europejskiego Funduszu Społecznego
ZAKRES TEMATYCZNY
I CYKL SZKOLENIOWY: POZYSKAĆ
KURS - ZAMÓWIENIA PUBLICZNE
CZAS TRWANIA – 24H
CHARAKTERYSTYKA SZKOLENIA:
Kurs konwersatoryjno-wykładowy. Ma na celu przybliżenie teoretycznej i praktycznej
strony funkcjonowania prawa zamówień publicznych oraz sposobu interpretacji, a także
najczęściej popełnianych błędów z perspektywy potencjalnych wykonawców. Tematyka
dobrana została dla sektora mikro/małych/średnich przedsiębiorstw. Uczestnictwo w
zajęciach pozwoli podnieść jakość ofert składanych przez przedsiębiorców w ramach
postępowań o udzielenie zamówień publicznych.
LP
MODUŁ
1.
Wprowadzenie
do zamówień
publicznych
2.
Przygotowanie i
złożenie oferty
ELEMENTY MODUŁU
1. Charakterystyka ustawy Prawo zamówień
publicznych i aktów z nią związanych
2. Uczestnictwo w postępowaniu: Osoby fizyczne i
osoby prawne
3. Zasady udzielania zamówień: uczciwa konkurencja,
równość, jawność, bezstronność i obiektywizm,
pisemność
4. Tryby udzielania zamówień
5. Miejsce i tryb publikacji ogłoszeń
6. Ogłoszenia o planowanych zamówieniach
7. Sposób przekazywania ogłoszeń i ich
dokumentowanie
8. Sposób porozumiewania się w postępowaniu
9. Przygotowanie i przeprowadzenie postępowania
przez Zamawiającego
10. Wykluczenie osób występujących po stronie
zamawiającego
11. Warunki udziału w postępowaniu
12. Formalne wymogi ofert
13. Oferta w rozumieniu przepisów kodeksu cywilnego
14. Oferta wariantowa i częściowa
15. Kryteria oceny ofert
16. Dokumenty załączone do oferty: forma i aktualność
1. Składanie ofert
2. Formy wadium, zatrzymanie i zwrot wadium
3. Okres związania ofertą
LICZBA
GODZIN
8
8
Projekt „Metoda na kryzys” realizowany przez Lechaa Consulting Sp. z o. o. w ramach Poddziałania 8.1.1 „Wspieranie rozwoju kwalifikacji zawodowych i
doradztwo dla przedsiębiorstw” Program Operacyjny Kapitał Ludzki 2007-2013 na podstawie umowy podpisanej z Wojewódzkim Urzędem Pracy w Opolu
Lechaa Consulting Sp. z o.o.
www.lechaa.pl
NIP: 712-278-35-96,
Regon: 004182334,
Sąd Rejonowy w Lublinie XI Wydział Gospodarczy
Krajowego Rejestru Sadowego nr KRS: 0000173751,
Kapitał zakładowy: 50.000 zł
Projekt współfinansowany ze środków
Unii Europejskiej w ramach Europejskiego Funduszu Społecznego
4.
5.
6.
7.
8.
9.
10.
11.
3.
Umowy w
sprawach
zamówień
publicznych
12.
1.
2.
3.
4.
5.
6.
7.
8.
9.
10.
11.
Otwarcie ofert
Badanie ofert
Przesłanki odrzucenia oferty
Oferta z rażąco niską ceną
Poprawianie oczywistych omyłek pisarskich i omyłek
rachunkowych
Zawiadomienie o wyborze oferty najkorzystniejszej
Przesłanki unieważnienia postępowania,
zawiadomienie o wszczęciu kolejnego
postępowania
Zawarcie umowy, możliwość ponownego wyboru
najkorzystniejszej oferty
Dokumentowanie postępowań o zamówienie
Forma pisemna i jawność umów
Solidarna odpowiedzialność wykonawców
Czas trwania umowy (wyjątki)
Zakaz zmian zawartej umowy
Odstąpienie od umowy,
Nieważność umowy
Zabezpieczenie należytego wykonania umowy:
zasady wnoszenia, formy zabezpieczenia,
zaspokojenie zamawiającego
Podmioty uprawnione do wnoszenia środków
ochrony prawnej: wykonawcy, uczestnicy konkursów,
organizacje przedsiębiorców
Protest: wymogi formalne, termin złożenia, sposób
rozpatrzenia
Odwołanie: wymogi formalne, termin złożenia,
postępowanie przed zespołem arbitrów
Skarga do sądu
8
Projekt „Metoda na kryzys” realizowany przez Lechaa Consulting Sp. z o. o. w ramach Poddziałania 8.1.1 „Wspieranie rozwoju kwalifikacji zawodowych i
doradztwo dla przedsiębiorstw” Program Operacyjny Kapitał Ludzki 2007-2013 na podstawie umowy podpisanej z Wojewódzkim Urzędem Pracy w Opolu
Lechaa Consulting Sp. z o.o.
www.lechaa.pl
NIP: 712-278-35-96,
Regon: 004182334,
Sąd Rejonowy w Lublinie XI Wydział Gospodarczy
Krajowego Rejestru Sadowego nr KRS: 0000173751,
Kapitał zakładowy: 50.000 zł
Projekt współfinansowany ze środków
Unii Europejskiej w ramach Europejskiego Funduszu Społecznego
ZAKRES TEMATYCZNY
I CYKL SZKOLENIOWY: POZYSKAĆ
KURS – PSYCHOLOGIA I TECHNIKI SPRZEDAŻY
CZAS TRWANIA – 24H
CHARAKTERYSTYKA SZKOLENIA:
Kurs konwersatoryjno-warsztatowy. Ma na celu przybliżenie teoretycznej i praktycznej
strony mechanizmów nabywania towarów i usług przez klientów. Uczestnictwo w zajęciach
pomoże uczestnikom rozwinąć umiejętności rozpoznawania i wzbudzania potrzeb klientów,
prezentacji korzyści oraz ceny, zarządzania ustępstwami i odpowiadania na zastrzeżenia.
Szkolenie odnosi się do realiów handlowych oraz zawiera dużą dawkę ćwiczeń związanych z
finalizowaniem sprzedaży.
LP
1.
2.
3.
MODUŁ
ELEMENTY MODUŁU
1. Identyfikacja, charakterystyka i ocena czynników
wpływających na sprzedaż
2. Sprzedaż dostosowana do charakterystyki
nabywców
3. Proces decyzyjny
Wprowadzenie
4. Typowe sytuacje zakupowe
do technik
5. Źródła wiedzy o klientach
sprzedaży
6. Znajomość oferty konkurencyjnej
7. Proces skutecznej sprzedaży bezpośredniej
8. Selekcja i profilowanie klientów
9. Obsługa posprzedażowa klientów
10. Wpływ satysfakcji klienta na firmę
1. Pierwsze wrażenie i zasady autoprezentacji
a. Strategie przełamywania lodów
b. Zwiększane wiarygodności
2. Wzbudzanie sympatii:
Autoprezentacja
a. Technika współpracy,
i mechanizmy
b. Wyrażanie zainteresowania,
psychologiczne
c. Technika podobieństwa,
w procesie
d. Stosowanie komplementów i przejawianie
sprzedaży
sympatii
3. Mowa ciała i wygląd handlowca
4. Zasady postępowania z klientami kluczowymi –
elementy savoir vivre
Zaawansowana 1. Aktywne słuchanie i badanie potrzeb klientów
analiza procesu
a. Zasady mówienia i słuchania w trakcie rozmowy
LICZBA
GODZIN
8
8
8
Projekt „Metoda na kryzys” realizowany przez Lechaa Consulting Sp. z o. o. w ramach Poddziałania 8.1.1 „Wspieranie rozwoju kwalifikacji zawodowych i
doradztwo dla przedsiębiorstw” Program Operacyjny Kapitał Ludzki 2007-2013 na podstawie umowy podpisanej z Wojewódzkim Urzędem Pracy w Opolu
Lechaa Consulting Sp. z o.o.
www.lechaa.pl
NIP: 712-278-35-96,
Regon: 004182334,
Sąd Rejonowy w Lublinie XI Wydział Gospodarczy
Krajowego Rejestru Sadowego nr KRS: 0000173751,
Kapitał zakładowy: 50.000 zł
Projekt współfinansowany ze środków
Unii Europejskiej w ramach Europejskiego Funduszu Społecznego
sprzedaży
handlowej
b. Zadawanie pytań sondujących
c. Model rozmowy handlowej
d. Wzbudzanie potrzeb: zadawanie pytań
sugerujących i znaczenie parafrazowania
2. Prezentacja oferty
a. Zasady prezentacji w trakcie rozmowy
handlowej
b. Prezentacja w trakcie prelekcji
c. Język korzyści i język zmysłów
d. Model Cecha – Korzyść – Dowód - Przykład
e. Style komunikacji perswazyjnej: Argumentacja
jednostronna czy dwustronna, Argumenty
emocjonalne czy racjonalne, Dane statystyczne czy
jednostkowy przykład?
3. Prezentacja ceny i zarządzanie ustępstwami
a. Zasady prezentowania ceny
b. Zasady negocjacji cenowych
Projekt „Metoda na kryzys” realizowany przez Lechaa Consulting Sp. z o. o. w ramach Poddziałania 8.1.1 „Wspieranie rozwoju kwalifikacji zawodowych i
doradztwo dla przedsiębiorstw” Program Operacyjny Kapitał Ludzki 2007-2013 na podstawie umowy podpisanej z Wojewódzkim Urzędem Pracy w Opolu
Lechaa Consulting Sp. z o.o.
www.lechaa.pl
NIP: 712-278-35-96,
Regon: 004182334,
Sąd Rejonowy w Lublinie XI Wydział Gospodarczy
Krajowego Rejestru Sadowego nr KRS: 0000173751,
Kapitał zakładowy: 50.000 zł
Projekt współfinansowany ze środków
Unii Europejskiej w ramach Europejskiego Funduszu Społecznego
ZAKRES TEMATYCZNY
I CYKL SZKOLENIOWY: POZYSKAĆ
KURS – NIEMATERIALNE SPOSOBY PROMOCJI I BUDOWANIA
WIZERUNKU FIRMY
Bez
względu na
rodzaj
działalności
jest potrzebna
reklama. Na
zajęciach
przedstawionych zostanie kilka sposobów na niematerialną i nisko kosztową promocję
własnej firmy. Tylko duże przedsiębiorstwa stać na reklamę w telewizji bądź ogólnopolskich
gazetach, mimo to Alternatywnych sposobów na rozreklamowanie małej lub średniej firmy
jest wiele.
LP
1.
2.
MODUŁ
Wprowadzenie
Narzędzia
promocji
ELEMENTY MODUŁU
1.
2.
3.
4.
5.
6.
W jakim celu chcemy się zajmować promocją?
Co chcemy przez to osiągnąć?
W czym może nam to pomóc?
Określenie grupy docelowej
Analiza możliwych działań promocyjnych
Plan promocji i kanałów dystrybucyjnych
1. Organizacja spotkań i uczestnictwo w nich
a. Konferencje
b. Sympozja
c. Szkolenia
2. Dlaczego warto zorganizować event?
a. Jaki event zorganizować?
b. Ustalanie celów
c. Program i harmonogram wydarzenia
3. Obecność na forach internetowych i portalach
społecznościowych, czyli ePR
a. Jak przeanalizować swoją stronę www pod
kątem adekwatności jej struktury i treści dla
klientów?
b. Optymalizacja serwisu
c. Promocja w internecie
d. Działalność na forach
e. Działalność na portalach społecznościowych
4. Kontakty z mediami
a. Prasa
b. Radio
c. Telewizja
5. Marketing szeptany
6. Marketing wirusowy
LICZBA
GODZIN
4
8
Projekt „Metoda na kryzys” realizowany przez Lechaa Consulting Sp. z o. o. w ramach Poddziałania 8.1.1 „Wspieranie rozwoju kwalifikacji zawodowych i
doradztwo dla przedsiębiorstw” Program Operacyjny Kapitał Ludzki 2007-2013 na podstawie umowy podpisanej z Wojewódzkim Urzędem Pracy w Opolu
Lechaa Consulting Sp. z o.o.
www.lechaa.pl
NIP: 712-278-35-96,
Regon: 004182334,
Sąd Rejonowy w Lublinie XI Wydział Gospodarczy
Krajowego Rejestru Sadowego nr KRS: 0000173751,
Kapitał zakładowy: 50.000 zł
Projekt współfinansowany ze środków
Unii Europejskiej w ramach Europejskiego Funduszu Społecznego
3.
Znaczenie
kontaktów
bizesowych
4.
Ocena
skuteczności
działań
promocyjnych i
wizerunkowych
1. Dlaczego kontakty biznesowe są takie przydatne?
2. Jak utrzymywać relacje biznesowe?
3. Przysługa, za przysługę, czyli przykłady
podtrzymywania relacji biznesowych
4. Jak to jest mieć dużo krewnych? Czy mi to pomoże?
8
1. Mechanizmy persfazji w reklamie
2. Utrwalanie bodźców
3. Weryfikacja efektywności reklamy
4
Projekt „Metoda na kryzys” realizowany przez Lechaa Consulting Sp. z o. o. w ramach Poddziałania 8.1.1 „Wspieranie rozwoju kwalifikacji zawodowych i
doradztwo dla przedsiębiorstw” Program Operacyjny Kapitał Ludzki 2007-2013 na podstawie umowy podpisanej z Wojewódzkim Urzędem Pracy w Opolu
Lechaa Consulting Sp. z o.o.
www.lechaa.pl
NIP: 712-278-35-96,
Regon: 004182334,
Sąd Rejonowy w Lublinie XI Wydział Gospodarczy
Krajowego Rejestru Sadowego nr KRS: 0000173751,
Kapitał zakładowy: 50.000 zł
Projekt współfinansowany ze środków
Unii Europejskiej w ramach Europejskiego Funduszu Społecznego
ZAKRES TEMATYCZNY
I CYKL SZKOLENIOWY: POZYSKAĆ
KURS – BUDOWANIE MARKI PRODUKTU
CZAS TRWANIA – 24H
CHARAKTERYSTYKA SZKOLENIA:
Udział w tych zajęciach pozwoli na zwiększenie wiedzy dotyczącej budowania marki.
Uczestnicy poznają praktycznie użyteczne informacje w zakresie strategii budowania
rynkowego wizerunku (image) marki, określania pożądanego pozycjonowania marki/marek
w otoczeniu rynkowym oraz zapoznają się z elementami budowania tożsamości marki.
LP
1.
2.
ELEMENTY MODUŁU
LICZBA
GODZIN
Zmiany zachodzące w marketingu
Orientacja marketingowa w małej i średniej firmie
Marketing a sprzedaż
Znak firmowy, tożsamość i wizerunek firmy
Marka firmy i marki produktów
Narzędzia komunikacji marketingowej
4
MODUŁ
Wprowadzanie
w temat
5.
6.
7.
8.
9.
10.
1.
2.
3.
Co powinniśmy
wiedzieć o naszym 4.
odbiorcy
5.
6.
7.
1.
2.
3.
Czym jest marka?
4.
Jak budować
markę firmy i
produktów
3.
4.
5.
6.
7.
8.
4.
5.
6.
7.
Zaspokojenie potrzeb a zachwyt klienta
Grupa docelowa, kim jest nasz odbiorca
Lojalność klientów
Proces podejmowania decyzji zakupowych
Rozum i emocje w odbiorze marki
Reakcje klienta na zabiegi marketingowe
Satysfakcja i dysonans pozakupowy
Architektura marki, czyli dopasowanie firmy i oferty
rynkowej
Budowanie spójnego wizerunku marki w oparciu o
elementy marketingu mix
Poziomy produktu, produkt materialny i niematerialny
Cechy produktu, a wartości i korzyści dla klienta
Osobowość i skojarzenia w odbiorze marki
Obietnica marki – wytrwałość w jej dotrzymywaniu
Poziomy znaczenia marki
Nazwy i loga, czyli symbolika marki
Diagnozowanie marki, ocena stanu obecnego
Definiowanie pożądanego odbioru
System budowy świadomości marki (branding)
Zastosowanie marki w prezentacji i oznakowaniu
firmy
4
8
8
Projekt „Metoda na kryzys” realizowany przez Lechaa Consulting Sp. z o. o. w ramach Poddziałania 8.1.1 „Wspieranie rozwoju kwalifikacji zawodowych i
doradztwo dla przedsiębiorstw” Program Operacyjny Kapitał Ludzki 2007-2013 na podstawie umowy podpisanej z Wojewódzkim Urzędem Pracy w Opolu
Lechaa Consulting Sp. z o.o.
www.lechaa.pl
NIP: 712-278-35-96,
Regon: 004182334,
Sąd Rejonowy w Lublinie XI Wydział Gospodarczy
Krajowego Rejestru Sadowego nr KRS: 0000173751,
Kapitał zakładowy: 50.000 zł
Projekt współfinansowany ze środków
Unii Europejskiej w ramach Europejskiego Funduszu Społecznego
8. Księga identyfikacji wizualnej – formalny zapis symboli
i nośników
9. Opakowania, stylistyka i wzornictwo produktów
10. Narzędzia marketingu w budowaniu marki –
zintegrowana komunikacja marki
11. Działania reklamowe i promocyjne, Public Relations
12. Nowoczesne instrumenty komunikacji z klientem
przydatne w małej i średniej firmie
13. Pracownicy w procesie budowania marki
Projekt „Metoda na kryzys” realizowany przez Lechaa Consulting Sp. z o. o. w ramach Poddziałania 8.1.1 „Wspieranie rozwoju kwalifikacji zawodowych i
doradztwo dla przedsiębiorstw” Program Operacyjny Kapitał Ludzki 2007-2013 na podstawie umowy podpisanej z Wojewódzkim Urzędem Pracy w Opolu
Lechaa Consulting Sp. z o.o.
www.lechaa.pl
NIP: 712-278-35-96,
Regon: 004182334,
Sąd Rejonowy w Lublinie XI Wydział Gospodarczy
Krajowego Rejestru Sadowego nr KRS: 0000173751,
Kapitał zakładowy: 50.000 zł
Projekt współfinansowany ze środków
Unii Europejskiej w ramach Europejskiego Funduszu Społecznego
ZAKRES TEMATYCZNY
II CYKL SZKOLENIOWY: UTRZYMAĆ
KURS – PROGRAMY LOJALNOŚCIOWE
CZAS TRWANIA – 24H
CHARAKTERYSTYKA SZKOLENIA:
Uczestnicy
szkolenia
poznają
takie zagadnienia, jak zasady
funkcjonowania
nowoczesnych programów lojalnościowych, poznanie etapów i zasad tworzenia programu
lojalnościowego, poznanie sprawdzonych metod budżetowania i określania kosztów
programu czy zapoznanie z kluczowymi aspektami organizacji i logistyki programów
lojalnościowych. Uczestnictwo w kursie pozwoli na zdobycie umiejętności efektywnego
zarządzania takim programem oraz umożliwi poznanie wskaźników pomiaru rentowności
programów lojalnościowych.
LP
MODUŁ
1.
LOJALNOŚĆ
– wprowadzenie
i podstawowe
zagadnienia
2.
Lojalność w szerszej
perspektywie
ELEMENTY MODUŁU
1.
2.
3.
4.
5.
6.
7.
8.
1.
2.
3.
4.
1.
3.
Program
lojalnościowy
4.
Wdrożenie
programu
lojalnościowego
1.
Co to jest lojalność?
Definicje
Lojalność jako postawa
Lojalność jako zachowanie
Lojalność jako postawa i zachowanie
Proces powstawania efektu lojalności klienta
Podstawowa struktura i standardowa klasyfikacja lojalności
Lojalny Klient - mit czy rzeczywistość?
Wartość postrzegana przez Klienta
Satysfakcja Klienta
Wewnętrzna organizacja firmy a Klient (opis struktury,
zależności i przykłady)

Interesariusze

Procesy

Zasoby

Organizacja
Wewnętrzne i zewnętrzne warunki kształtowania lojalności
Program lojalnościowy
a. Model tworzenia programu
b. Ustalenie celów programu
c. Segmentacja i budowa zaangażowania
d. Konflikty w programach lojalnościowych
e. Case study
Organizacja promocji sprzedaży w programie
a. Cele promocji i grupa docelowa
b. Organizacja i realizacja promocji
c. Case study
LICZBA
GODZIN
8
8
4
4
Projekt „Metoda na kryzys” realizowany przez Lechaa Consulting Sp. z o. o. w ramach Poddziałania 8.1.1 „Wspieranie rozwoju kwalifikacji zawodowych i
doradztwo dla przedsiębiorstw” Program Operacyjny Kapitał Ludzki 2007-2013 na podstawie umowy podpisanej z Wojewódzkim Urzędem Pracy w Opolu
Lechaa Consulting Sp. z o.o.
www.lechaa.pl
NIP: 712-278-35-96,
Regon: 004182334,
Sąd Rejonowy w Lublinie XI Wydział Gospodarczy
Krajowego Rejestru Sadowego nr KRS: 0000173751,
Kapitał zakładowy: 50.000 zł
Projekt współfinansowany ze środków
Unii Europejskiej w ramach Europejskiego Funduszu Społecznego
ZAKRES TEMATYCZNY
II CYKL SZKOLENIOWY: UTRZYMAĆ
KURS – PROFESJONALNA OBSŁUGA KLIENTA
CZAS TRWANIA – 24H
CHARAKTERYSTYKA SZKOLENIA:
Główny potencjał firmy to zadowoleni klienci. Nie sam produkt czy usługa decyduje
o sukcesie firmy, lecz gotowość i profesjonalne podejście do procesu obsługi klienta.
Szkolenie to przeznaczone jest dla wszystkich, którzy mają na co dzień kontakt z klientem, a
więc budują wizerunek firmy. Skupia się ono na dwóch biegunach pracy: pokazuje jak dbać
o interesy klienta dbając jednocześnie o interes firmy oraz jak sobie radzić z trudnymi
sytuacjami czy trudnymi klientami.
LP
MODUŁ
1.
Podstawowe
zasady
profesjonalnej
i efektywnej
obsługi klienta
2.
Budowanie
pozytywnych
relacji w
kontakcie
z klientem
3.
Psychologiczne
aspekty kontaktu
z klientem
4.
Etapy
nawiązywania
kontaktu z
klientem
ELEMENTY MODUŁU
1. Jakość obsługi klienta a realizacja celów
biznesowych firmy
2. Cechy idealnego pracownika Działu obsługi
klienta
3. Elementy niezbędne oraz ryzykowne
(niepożądane) w kontaktach z klientami
4. Sposoby odkrywania i zaspokajania potrzeb
klientów Firmy
1. Empatia jako fundament pozytywnych relacji
2. Umiejętność dostosowania się jako funkcja
pozytywnej relacji z klientem
3. Drzewo umiejętności – opracowanie zestawu
umiejętności niezbędnych dla profesjonalnego
handlowca
1. Psychologiczna sylwetka klienta i jej wpływ na
procesy decyzyjne klienta Typologia „trudnych
klientów”
2. Trafne zdefiniowanie stylu zachowania klienta
kluczem do poznania i oceny jego oczekiwań
1. Nawiązanie kontaktu
2. Identyfikacja typu, sytuacji i dążeń klienta
3. Sposoby prezentacji rozwiązania
4. Reakcja na obiekcje i negocjacje
5. Zamknięcie kontaktu (techniki ”zamknięcia”,
LICZBA
GODZIN
4
4
4
4
Projekt „Metoda na kryzys” realizowany przez Lechaa Consulting Sp. z o. o. w ramach Poddziałania 8.1.1 „Wspieranie rozwoju kwalifikacji zawodowych i
doradztwo dla przedsiębiorstw” Program Operacyjny Kapitał Ludzki 2007-2013 na podstawie umowy podpisanej z Wojewódzkim Urzędem Pracy w Opolu
Lechaa Consulting Sp. z o.o.
www.lechaa.pl
NIP: 712-278-35-96,
Regon: 004182334,
Sąd Rejonowy w Lublinie XI Wydział Gospodarczy
Krajowego Rejestru Sadowego nr KRS: 0000173751,
Kapitał zakładowy: 50.000 zł
Projekt współfinansowany ze środków
Unii Europejskiej w ramach Europejskiego Funduszu Społecznego
1.
2.
5.
Podstawowe
elementy
komunikacji
werbalnej
i niewerbalne
3.
4.
5.
6.
Trudne sytuacje
w kontakcie
z klientem
1.
2.
3.
4.
reakcja na manipulację, budowanie relacji,
techniki wywierania wpływu)
Aktywne słuchanie - jak słychać klienta?
Techniki zadawania pytań – cele pytań, jak
zbierać informacje, jak kontrolować przebieg
rozmowy, sugerowanie na „tak”, jak nie
zadawać pytań
Argumentowanie i uzasadnianie
Konstruktywna odmowa - jak powiedzieć
klientowi “nie”
Mowa ciała jako jeden z czynników komunikacji
pozawerbalnej
Formy reagowania na pretensje i zarzuty klienta
Zdenerwowany klient – jak zmienić wroga w
przyjaciela?
Przejmowanie kontroli nad rozmową i emocjami
klienta
Rozwiązywanie sytuacji trudnych
4
4
Projekt „Metoda na kryzys” realizowany przez Lechaa Consulting Sp. z o. o. w ramach Poddziałania 8.1.1 „Wspieranie rozwoju kwalifikacji zawodowych i
doradztwo dla przedsiębiorstw” Program Operacyjny Kapitał Ludzki 2007-2013 na podstawie umowy podpisanej z Wojewódzkim Urzędem Pracy w Opolu
Lechaa Consulting Sp. z o.o.
www.lechaa.pl
NIP: 712-278-35-96,
Regon: 004182334,
Sąd Rejonowy w Lublinie XI Wydział Gospodarczy
Krajowego Rejestru Sadowego nr KRS: 0000173751,
Kapitał zakładowy: 50.000 zł
Projekt współfinansowany ze środków
Unii Europejskiej w ramach Europejskiego Funduszu Społecznego
ZAKRES TEMATYCZNY
II CYKL SZKOLENIOWY: UTRZYMAĆ
KURS – BUDOWANIE PRZEWAGI KONKURENCYJNEJ
CZAS TRWANIA – 24H
CHARAKTERYSTYKA SZKOLENIA:
Przedstawione na zajęciach informacje pozwolą uczestnikom kursu ugruntować swoją
wiedzę z zakresu zarządzania i staną się impulsem do określenia optymalnych rozwiązań
prowadzących do budowy przewagi własnego przedsiębiorstwa.
LP
1.
2.
3.
4.
MODUŁ
ELEMENTY MODUŁU
1. Istota marki korporacyjnej
2. Czynniki sprzyjające wykorzystaniu marki
korporacyjnej
Zarządzanie
3. Zalety i wady stosowania marki korporacyjnej
marką
4. Specyfika wizerunku marki korporacyjnej
korporacyjną
5. Kluczowe decyzje w zarządzaniu marką
korporacyjną
6. Strategiczne wyzwania w procesie zarządzania
marką korporacyjną
1. Wpływ wybranych czynników na rozwój koncepcji
społecznej odpowiedzialności przedsiębiorstw
2. Korzyści osiągane przez przedsiębiorstwa z tytułu
Uwarunkowania
stosowania CSR
rozwoju
3. Działania społeczne podejmowane przez
społecznej
przedsiębiorstwa
odpowiedzialno
4. Działania przedsiębiorstw na rzecz poprawy
ści
standardu życia i zadowolenia pracowników
przedsiębiorstw
5. Wpływ podejmowanych działań na wyniki
a
finansowe
6. Zaangażowanie partnerów biznesowych w
społeczną odpowiedzialność
Społeczna
odpowiedzialno 1. Przykłady interesariuszy
ść biznesu
2. Kodeksy etyki w przedsiębiorstwie
3. Możliwości kształcenia i rozwoju w organizacji
wobec
interesariuszy
4. Korzyści wynikające z angażowania się w działania
wewnętrznych
na rzecz personelu
organizacji
Kapitał ludzki
1. Pojęcie kapitału ludzkiego
jako element
2. Poziom i struktura podaży w Polsce
LICZBA
GODZIN
3
4
3
4
Projekt „Metoda na kryzys” realizowany przez Lechaa Consulting Sp. z o. o. w ramach Poddziałania 8.1.1 „Wspieranie rozwoju kwalifikacji zawodowych i
doradztwo dla przedsiębiorstw” Program Operacyjny Kapitał Ludzki 2007-2013 na podstawie umowy podpisanej z Wojewódzkim Urzędem Pracy w Opolu
Lechaa Consulting Sp. z o.o.
www.lechaa.pl
NIP: 712-278-35-96,
Regon: 004182334,
Sąd Rejonowy w Lublinie XI Wydział Gospodarczy
Krajowego Rejestru Sadowego nr KRS: 0000173751,
Kapitał zakładowy: 50.000 zł
Projekt współfinansowany ze środków
Unii Europejskiej w ramach Europejskiego Funduszu Społecznego
5.
6.
7.
otoczenia
przedsiębiorstw
a
Znaczenie
szkoleń w
działalności
przedsiębiorstw
a
3. Pożądane zmiany w zasobach pracy w Polsce
4. Perspektywy kształtowania się poziomu i jakości
kapitału ludzkiego w Polsce
1.
2.
3.
4.
Istota szkoleń pracowniczych
Proces szkolenia
Korzyści z prowadzenia szkoleń
Pozytywne i negatywne zależności ostatnich dekad
1. Istota pozycjonowania
2. Rodzaje strategii pozycjonowania
Strategie
a. Pozycjonowanie konkurencyjne
pozycjonowani
b. Pozycjonowanie imitacyjne
a produktu
c. Ze względu na cechy jakościowe/korzyści
d. Ze względu na klienta
Informatyczne
1. Istota interakcji i przesyłu informacji
systemy
2. Elementy systemów informacyjnych
zarządzania i
3. Kategorie systemów informatycznych
ich
4. Korzyści i przeciwskazania do inwestowania w
bezpieczeństwo
systemy informatyczne
3
4
3
Projekt „Metoda na kryzys” realizowany przez Lechaa Consulting Sp. z o. o. w ramach Poddziałania 8.1.1 „Wspieranie rozwoju kwalifikacji zawodowych i
doradztwo dla przedsiębiorstw” Program Operacyjny Kapitał Ludzki 2007-2013 na podstawie umowy podpisanej z Wojewódzkim Urzędem Pracy w Opolu
Lechaa Consulting Sp. z o.o.
www.lechaa.pl
NIP: 712-278-35-96,
Regon: 004182334,
Sąd Rejonowy w Lublinie XI Wydział Gospodarczy
Krajowego Rejestru Sadowego nr KRS: 0000173751,
Kapitał zakładowy: 50.000 zł
Projekt współfinansowany ze środków
Unii Europejskiej w ramach Europejskiego Funduszu Społecznego
ZAKRES TEMATYCZNY
II CYKL SZKOLENIOWY: UTRZYMAĆ
KURS – BUDOWANIE SATYSFAKCJI KLIENTÓW I POSPRZEDAŻOWA
OBSŁUGA KLIENTA
CZAS TRWANIA – 24H
CHARAKTERYSTYKA SZKOLENIA:
Prawidłowa, przynosząca zyski działalność organizacji w znacznej mierze powinna
wykorzystywać badanie satysfakcji klienta. Jest to obszar firmy, który należy kontrolować na
bieżąco i który mobilizuje pracowników do ciągłego doskonalenia, poprawy jakości
wytwarzanych produktów i usług, a co za tym idzie zwiększenia satysfakcji klientów Kurs
umożliwi przygotowanie się do inicjatyw na rzecz utrzymania klienta.
LP
1.
2.
3.
4.
5.
6.
7.
8.
9.
MODUŁ
Badanie satysfakcji klienta, jako czynnik wpływający na sukces
przedsiębiorstwa
Wymagania ISO 9001:2000 w odniesieniu do analizy zadowolenia klienta
Czynniki wymuszające badanie zadowolenia klienta
Metody zbierania informacji o kształtowaniu się satysfakcji klienta
/metody bezpośrednie, metody pośrednie/
Zasady budowy i wykorzystania kwestionariusza /zasady formułowania
pytań, projektowania kwestionariusza i poszczególnych jego części,
skale pomiarowe - dobór w konkretnych badaniach, określanie
wielkości próby, analiza rzetelności badań/
Analiza danych ankietowych /metody statystyczne, prezentowanie
danych ankietowych/
Metoda CSI /Customer Satisfaction Index/, metoda SERVQUAL, metoda
CIT /Customer Incident Techniques/, metoda Myster Shopping - istota,
tworzenie, rezultaty stosowania
Analiza zmian w zadowoleniu klientów
Praktyczne wykorzystanie informacji o kształtowaniu się satysfakcji
klienta /przedstawienie i analiza przykładowych procedur badania
satysfakcji klienta/
LICZBA
GODZIN
2
2
3
3
3
2
3
2
4
Projekt „Metoda na kryzys” realizowany przez Lechaa Consulting Sp. z o. o. w ramach Poddziałania 8.1.1 „Wspieranie rozwoju kwalifikacji zawodowych i
doradztwo dla przedsiębiorstw” Program Operacyjny Kapitał Ludzki 2007-2013 na podstawie umowy podpisanej z Wojewódzkim Urzędem Pracy w Opolu
Lechaa Consulting Sp. z o.o.
www.lechaa.pl
NIP: 712-278-35-96,
Regon: 004182334,
Sąd Rejonowy w Lublinie XI Wydział Gospodarczy
Krajowego Rejestru Sadowego nr KRS: 0000173751,
Kapitał zakładowy: 50.000 zł
Projekt współfinansowany ze środków
Unii Europejskiej w ramach Europejskiego Funduszu Społecznego
ZAKRES TEMATYCZNY
III CYKL SZKOLENIOWY: ZARZĄDZAĆ
KURS – ZARZĄDZANIE PRZEZ CELE – BUDOWA I WDRAŻANIE
CZAS TRWANIA – 24H
CHARAKTERYSTYKA SZKOLENIA:
Zdobycie umiejętności kierowania organizacją za pomocą dobrze sformułowanych
celów jest niezwykle cenne. Efektem zastosowania zdobytych umiejętności będzie nie tylko
przejrzystość oczekiwań, ale też umiejętność motywowania do ich osiągania i wzrost
rzetelności
oceny
ich
realizacji.
Wiedza
i
umiejętności
z tego zakresu wyraźnie poprawiają jakość zarządzania, a co za tym idzie, również
efektywność pracy zespołu.
LP
MODUŁ
1.
Wprowadzenie do
zarządzania przez
cele i wyniki
ELEMENTY MODUŁU
LICZBA
GODZIN
1. Skuteczność - zdolność do realizacji celów.
2. Rozpoznanie "dołka", - kiedy wyznaczyć nowy cel.
3
3. Coaching, jako wsparcie do osiągania celów.
1. Czym jest zarządzanie przez cele.
2. Zasady i kluczowe elementy ZPC.
2.
Zarządzanie przez
cele
3. "Pułapki" ZPC - na starcie.
3
4. Gdzie i kiedy stosować ZPC.
5. Wady i zalety ZPC.
1. Określenie obszarów odpowiedzialności.
3.
Przygotowanie
lidera do
zarządzania
przez cele
2. Określenie wkładu w realizację celów.
4
3. Wybór obszarów celów.
4. Określenie i wybór wskaźników oceny działania.
1. Cele ogólne, szczegółowe i zasada SMART.
4.
Wyznaczanie celów 2. Proces planowania celów i określanie priorytetów.
4
Projekt „Metoda na kryzys” realizowany przez Lechaa Consulting Sp. z o. o. w ramach Poddziałania 8.1.1 „Wspieranie rozwoju kwalifikacji zawodowych i
doradztwo dla przedsiębiorstw” Program Operacyjny Kapitał Ludzki 2007-2013 na podstawie umowy podpisanej z Wojewódzkim Urzędem Pracy w Opolu
Lechaa Consulting Sp. z o.o.
www.lechaa.pl
NIP: 712-278-35-96,
Regon: 004182334,
Sąd Rejonowy w Lublinie XI Wydział Gospodarczy
Krajowego Rejestru Sadowego nr KRS: 0000173751,
Kapitał zakładowy: 50.000 zł
Projekt współfinansowany ze środków
Unii Europejskiej w ramach Europejskiego Funduszu Społecznego
1. Elementy ZPC, a strategia firmy.
2. Współpraca w zespole, zadania i status zespołu.
5.
Przygotowanie 3. Zrozumienie miejsca zespołu w realizacji celów
zespołu do ZPC
organizacji.
4
4. Narzędzia liderów: metoda warsztatowa
ukierunkowania celów zespołu.
6.
Motywacja i
komunikacja
zespołu w realizacji
celów
1. Elementy efektywnej motywacji.
3
2. Komunikacja we współpracy zespołu.
1. Kontrola realizacji celów
7.
Pomiar i ocena
wyników działania
zespołu
2. Rozmowy monitorujące i oceniające
3
3. Punkty milowe i odpowiedzialność za wyniki
Projekt „Metoda na kryzys” realizowany przez Lechaa Consulting Sp. z o. o. w ramach Poddziałania 8.1.1 „Wspieranie rozwoju kwalifikacji zawodowych i
doradztwo dla przedsiębiorstw” Program Operacyjny Kapitał Ludzki 2007-2013 na podstawie umowy podpisanej z Wojewódzkim Urzędem Pracy w Opolu
Lechaa Consulting Sp. z o.o.
www.lechaa.pl
NIP: 712-278-35-96,
Regon: 004182334,
Sąd Rejonowy w Lublinie XI Wydział Gospodarczy
Krajowego Rejestru Sadowego nr KRS: 0000173751,
Kapitał zakładowy: 50.000 zł
Projekt współfinansowany ze środków
Unii Europejskiej w ramach Europejskiego Funduszu Społecznego
ZAKRES TEMATYCZNY
III CYKL SZKOLENIOWY: ZARZĄDZAĆ
KURS – LEAN MANUFACTURING
CZAS TRWANIA – 24H
CHARAKTERYSTYKA SZKOLENIA:
Lean
Manufacturing
jest
filozofią
zarządzania,
polegającą
na
nieustannym
eliminowaniu marnotrawstwa, zdefiniowanego jako wszystkie czynności, inwestycje i procesy
nie dodające wartości do produktu lub usługi z punktu widzenia klienta. Istotą Lean
Manufacturing jest nieustanne zwiększanie wydajności pracy, aby umożliwić przedsiębiorstwu
konkurowanie z sukcesem na rynku. Osiąga się go nie poprzez redukcję w zatrudnieniu czy
zwiększanie obciążenia
pracą,
lecz
dzięki
zaangażowaniu
wszystkich
pracowników
w permanentny proces doskonalenia systemu, proces oparty przede wszystkim na zdrowym
rozsądku.
LP
MODUŁ
ELEMENTY MODUŁU
LICZBA
GODZIN
1. Podstawowe definicje
2. Filozofia „szczupłego wytwarzania”
1.
Wprowadzenie do 3. Trochę historii
Lean Management 4. Podstawowe zasady Lean
4
5. Narzędzia wykorzystywane w Lean Manufacturing
6. Dlaczego wdrażać i stosować narzędzia Lean
1. 7 typów marnotrawstwa
2. Czynności generujące wartość dodaną
2.
Identyfikacja
marnotrawstwa
3. Czynności nie dodające wartości
4
4. Marnotrawstwo oczywiste
5. Marnotrawstwo ukryte
3.
Lean a system
produkcyjny Toyoty 1. „Domek” Toyoty
(TPS)
8
Projekt „Metoda na kryzys” realizowany przez Lechaa Consulting Sp. z o. o. w ramach Poddziałania 8.1.1 „Wspieranie rozwoju kwalifikacji zawodowych i
doradztwo dla przedsiębiorstw” Program Operacyjny Kapitał Ludzki 2007-2013 na podstawie umowy podpisanej z Wojewódzkim Urzędem Pracy w Opolu
Lechaa Consulting Sp. z o.o.
www.lechaa.pl
NIP: 712-278-35-96,
Regon: 004182334,
Sąd Rejonowy w Lublinie XI Wydział Gospodarczy
Krajowego Rejestru Sadowego nr KRS: 0000173751,
Kapitał zakładowy: 50.000 zł
Projekt współfinansowany ze środków
Unii Europejskiej w ramach Europejskiego Funduszu Społecznego
2. Heijunka
3. Jidoka
4. JIT
5. One Piece Flow
6. System ciągniony
7. Kanban
8. Chaku-chaku
1. Lead Time
2. Mapa stanu obecnego
3. Mapa stanu przyszłego
4.
Mapowanie
strumienia wartości
(VSM)
4. Selekcja
8
5. Sotowanie
6. Sprzątanie
7. Standaryzacja
8. Samodyscyplina
Projekt „Metoda na kryzys” realizowany przez Lechaa Consulting Sp. z o. o. w ramach Poddziałania 8.1.1 „Wspieranie rozwoju kwalifikacji zawodowych i
doradztwo dla przedsiębiorstw” Program Operacyjny Kapitał Ludzki 2007-2013 na podstawie umowy podpisanej z Wojewódzkim Urzędem Pracy w Opolu
Lechaa Consulting Sp. z o.o.
www.lechaa.pl
NIP: 712-278-35-96,
Regon: 004182334,
Sąd Rejonowy w Lublinie XI Wydział Gospodarczy
Krajowego Rejestru Sadowego nr KRS: 0000173751,
Kapitał zakładowy: 50.000 zł
Projekt współfinansowany ze środków
Unii Europejskiej w ramach Europejskiego Funduszu Społecznego
ZAKRES TEMATYCZNY
III CYKL SZKOLENIOWY: ZARZĄDZAĆ
KURS – SYSTEMY OCEN I MOTYWOWANIE PRACOWNIKÓW
CZAS TRWANIA – 24H
CHARAKTERYSTYKA SZKOLENIA:
Celem szkolenia jest przekazanie wiedzy i nauczenie jak buduje się system ocen
pracowniczych. System ocen powinien być tak zbudowany, aby stał się pozytywnym
motywatorem do pracy.
Jest to szkolenie dla pracowników działów HR, kadr, dla
kierowników średniego i wyższego szczebla, którzy aktywnie uczestniczą w ocenie
pracowników oraz w tworzeniu systemów ocen.
LP
MODUŁ
ELEMENTY MODUŁU
LICZBA
GODZIN
1. Teoria Maslowa
1.
Podstawowe teorie
2. Teoria Herzberga
motywacyjne
4
3. Teoria Mc Gregora
1. Motywowanie przez nagradzanie i karanie
2. Pomysły na działania motywujące
3. Finansowe i pozafinansowe motywatory
2.
Zasady
motywowanie
pracowników
4. Komunikacja z pracownikiem
5. Motywowanie przez delegowanie uprawnień
6
6. Czego potrzebują ludzie by być zmotywowanym?
7. Postawa menedżera a motywacja pracownika
8. Pochwała i krytyka – jak je stosować by były
skuteczne
1. Motywacyjny system wynagradzania za pracę
3.
Systemy
motywacyjne
2. Planowanie ścieżek rozwoju i kariery
4
3. Zaangażowanie stopniowane
Projekt „Metoda na kryzys” realizowany przez Lechaa Consulting Sp. z o. o. w ramach Poddziałania 8.1.1 „Wspieranie rozwoju kwalifikacji zawodowych i
doradztwo dla przedsiębiorstw” Program Operacyjny Kapitał Ludzki 2007-2013 na podstawie umowy podpisanej z Wojewódzkim Urzędem Pracy w Opolu
Lechaa Consulting Sp. z o.o.
www.lechaa.pl
NIP: 712-278-35-96,
Regon: 004182334,
Sąd Rejonowy w Lublinie XI Wydział Gospodarczy
Krajowego Rejestru Sadowego nr KRS: 0000173751,
Kapitał zakładowy: 50.000 zł
Projekt współfinansowany ze środków
Unii Europejskiej w ramach Europejskiego Funduszu Społecznego
1. Słabe i mocne strony systemów ocen
2. Tworzenie formularzy oceny i arkuszy
4.
Zasady
obserwacyjnych
prowadzenia oceny
pracowniczej
3. Przygotowanie pracowników do wdrożenia
6
systemu ocen
4. Udzielanie informacji zwrotnej
5.
Prowadzenie
rozmów
motywującooceniających z
pracownikiem
1. Efektywna rozmowa
2. Etapy prowadzenia rozmowy
4
3. Umiejętności interpersonalne podczas
rozmowy
Projekt „Metoda na kryzys” realizowany przez Lechaa Consulting Sp. z o. o. w ramach Poddziałania 8.1.1 „Wspieranie rozwoju kwalifikacji zawodowych i
doradztwo dla przedsiębiorstw” Program Operacyjny Kapitał Ludzki 2007-2013 na podstawie umowy podpisanej z Wojewódzkim Urzędem Pracy w Opolu
Lechaa Consulting Sp. z o.o.
www.lechaa.pl
NIP: 712-278-35-96,
Regon: 004182334,
Sąd Rejonowy w Lublinie XI Wydział Gospodarczy
Krajowego Rejestru Sadowego nr KRS: 0000173751,
Kapitał zakładowy: 50.000 zł
Projekt współfinansowany ze środków
Unii Europejskiej w ramach Europejskiego Funduszu Społecznego
ZAKRES TEMATYCZNY
III CYKL SZKOLENIOWY: ZARZĄDZAĆ
KURS – ZARZĄDZANIE INWESTYCJAMI WG. FIDIC
CZAS TRWANIA – 24H
CHARAKTERYSTYKA SZKOLENIA:
Uczestnicy szkolenia zdobędą wiedzę w zakresie ogólnych i szczegółowych przepisów
warunków kontraktowych FIDIC. Szkolenie ma za zadanie przygotować osoby uczestniczące
w procesie inwestycyjnym (projektowanie, realizacja, nadzór) do realizowania go zgodnie
z wymaganiami międzynarodowymi. Warunki kontraktowe FIDIC są podstawą do zawierania
umów finansowanych przez Bank Światowy oraz wszelkiego rodzaju Fundusze Strukturalne
oraz Fundusze Spójności. Są one stosowane przede wszystkim przy robotach inżynieryjnobudowlanych przy zawieraniu umów w drodze przetargów, zarówno międzynarodowych, jak
i krajowych.
LP
MODUŁ
ELEMENTY MODUŁU
LICZBA
GODZIN
1. FIDIC - Międzynarodowa Organizacja
(Niezależnych) Inżynierów Konsultantów
2. Ogólne zasady realizacji projektów inwestycyjnych
według procedur FIDIC
3. Podmioty kontraktu
1.
Wprowadzenie
4. Prawa i obowiązki Zamawiającego oraz
Wykonawcy w realizacji projektu
5.
8
Inżynier Kontraktu: uprawnienia, obowiązki w
procesie inwestycyjnym
6. Zasady i metodyka współdziałania zamawiającego,
Wykonawcy i Inżyniera w ramach kontraktu
2.
Uwarunkowania
1. prawo budowlane
stosowania
procedur FIDIC w
2. prawo cywilne
warunkach polskich
uregulowań
3. prawo zamówień publicznych
prawnych
4
Projekt „Metoda na kryzys” realizowany przez Lechaa Consulting Sp. z o. o. w ramach Poddziałania 8.1.1 „Wspieranie rozwoju kwalifikacji zawodowych i
doradztwo dla przedsiębiorstw” Program Operacyjny Kapitał Ludzki 2007-2013 na podstawie umowy podpisanej z Wojewódzkim Urzędem Pracy w Opolu
Lechaa Consulting Sp. z o.o.
www.lechaa.pl
NIP: 712-278-35-96,
Regon: 004182334,
Sąd Rejonowy w Lublinie XI Wydział Gospodarczy
Krajowego Rejestru Sadowego nr KRS: 0000173751,
Kapitał zakładowy: 50.000 zł
Projekt współfinansowany ze środków
Unii Europejskiej w ramach Europejskiego Funduszu Społecznego
1. procedury Zamówień Publicznych
3.
Warunki
Szczegółowe FIDIC
2. zasady sporządzania dokumentacji ofertowej
(przetargowej)
4
3. wymagania w stosunku do SIWZ zgodnie z PZP a
rodzaj Warunków Kontraktowych FIDIC
1. zarys ogólny, przyczyny wprowadzenia
zmian
2. wprowadzenie do Warunków Ogólnych
3. wprowadzenie do Warunków Szczególnych
4.
Tworzenie
Warunków
Kontraktowych
FIDIC
4. przegląd dokumentów Kontraktu
5. standardy FIDIC w projektach unijnych
4
6. zakres i reguły stosowania
7. wymogi formalne poszczególnych
programów
8. praktyczne aspekty wykorzystania
procedur w realizacji projektów unijnych
1. budżet projektu
5.
Rozliczanie
kontraktów
2. wymogi synchronizacji budżetu i
harmonogramu
4
3. metodyka monitorowania, raportowania
Projekt „Metoda na kryzys” realizowany przez Lechaa Consulting Sp. z o. o. w ramach Poddziałania 8.1.1 „Wspieranie rozwoju kwalifikacji zawodowych i
doradztwo dla przedsiębiorstw” Program Operacyjny Kapitał Ludzki 2007-2013 na podstawie umowy podpisanej z Wojewódzkim Urzędem Pracy w Opolu
Lechaa Consulting Sp. z o.o.
www.lechaa.pl
NIP: 712-278-35-96,
Regon: 004182334,
Sąd Rejonowy w Lublinie XI Wydział Gospodarczy
Krajowego Rejestru Sadowego nr KRS: 0000173751,
Kapitał zakładowy: 50.000 zł
Projekt współfinansowany ze środków
Unii Europejskiej w ramach Europejskiego Funduszu Społecznego
ZAKRES TEMATYCZNY
WARSZTATY UMIEJĘTNOŚCI MIĘKKICH
Celem warsztatów jest wzrost umiejętności miękkich w zakresie
tematycznym, w którym coach zdiagnozował obszary deficytowe. Zajęcia
prowadzone będą aktywnymi metodami przez trenerów posiadających
niezbędne
do
poszczególnych
tego
doświadczenie.
obszarów
umiejętności
Liczba
edycji
miękkich
będzie
warsztatów
zależna
z
od
zainteresowania uczestników projektu i wyników cyklów coachingowych.
Tematyka warsztatów umiejętności miękkich:





Skuteczna komunikacja (16h)
Techniki pokonania stresu w miejscu pracy (16h)
Rozpoznawanie i rozwiązywanie konfliktów (16h)
Autoprezentacja i savoir vivre w biznesie (16h)
Negocjacje i podejmowanie decyzji (16h)
Projekt „Metoda na kryzys” realizowany przez Lechaa Consulting Sp. z o. o. w ramach Poddziałania 8.1.1 „Wspieranie rozwoju kwalifikacji zawodowych i
doradztwo dla przedsiębiorstw” Program Operacyjny Kapitał Ludzki 2007-2013 na podstawie umowy podpisanej z Wojewódzkim Urzędem Pracy w Opolu
Lechaa Consulting Sp. z o.o.
www.lechaa.pl
NIP: 712-278-35-96,
Regon: 004182334,
Sąd Rejonowy w Lublinie XI Wydział Gospodarczy
Krajowego Rejestru Sadowego nr KRS: 0000173751,
Kapitał zakładowy: 50.000 zł
Projekt współfinansowany ze środków
Unii Europejskiej w ramach Europejskiego Funduszu Społecznego
ZAKRES TEMATYCZNY
WARSZTATY UMIEJĘTNOŚCI MIĘKKICH
KURS – SKUTECZNA KOMUNIKACJA
CZAS TRWANIA – 16H
CHARAKTERYSTYKA SZKOLENIA:
Celem szkolenia jest przegląd i poprawa kompetencji niezbędnych do realizacji
celów biznesowych zarówno w aspekcie pracy indywidualnej jak i zespołowej, szczególnie
poprzez nabycie przez uczestników dodatkowych umiejętności z zakresu komunikacji.
LP
1.
2.
3.
4.
5.
MODUŁ
ELEMENTY MODUŁU
1. Koło komunikacji i najważniejsze elementy
decydujące o zrozumieniu przekazywanego
komunikatu
2. Intonacja – jeden z kluczowych czynników
wywierania wpływu
Podstawowe
3. Postawa empatii (wczucia) w sytuację rozmówcy
zasady
4. Lejek komunikacyjny – od tego co mówimy d tego
komunikacji
co odbiorca zapamiętuje
5. Przekazywanie informacji zwrotnej
6. Sztuka oddzielenie informacji kluczowej od szumu
informacyjnego
7. Skąd się bierze plotka?
8. Przepływ informacji pionowy i poziomy
1. Słuchanie – jeden z najważniejszych elementów
Komunikacja
komunikacji
werbalna
2. Mowa ciała – niewerbalny przekaz informacji
i niewerbalna
3. Parafraza – sztuka powtórzeń i hamowania emocji
1. Jak budować satysfakcjonujące relacje z klientem,
podwładnymi, współpracownikami i przełożonymi
Emocje
2. Postawa empatii (wczucia) w sytuację rozmówcy
3. Budowanie samoświadomości zarządzania
emocjami
1. Rozpoznawanie i obrona przed manipulacją
Sztuka
2. Sztuka argumentowania i wywierania wpływu
argumentowania 3. Teoria dwóch mózgów – umiejętność dobru
i perswazji
argumentacji
4. Przekonywanie innych do swoich racji
Komunikacja
1. Sztuka prowadzenia rozmów
w praktyce
2. Tworzenie kultury zarządzania informacją
LICZBA
GODZIN
4
2
2
4
2
Projekt „Metoda na kryzys” realizowany przez Lechaa Consulting Sp. z o. o. w ramach Poddziałania 8.1.1 „Wspieranie rozwoju kwalifikacji zawodowych i
doradztwo dla przedsiębiorstw” Program Operacyjny Kapitał Ludzki 2007-2013 na podstawie umowy podpisanej z Wojewódzkim Urzędem Pracy w Opolu
Lechaa Consulting Sp. z o.o.
www.lechaa.pl
NIP: 712-278-35-96,
Regon: 004182334,
Sąd Rejonowy w Lublinie XI Wydział Gospodarczy
Krajowego Rejestru Sadowego nr KRS: 0000173751,
Kapitał zakładowy: 50.000 zł
Projekt współfinansowany ze środków
Unii Europejskiej w ramach Europejskiego Funduszu Społecznego
ZAKRES TEMATYCZNY
WARSZTATY UMIEJĘTNOŚCI MIĘKKICH
KURS – TECHNIKI POKONANIA STRESU W MIEJSCU PRACY
CZAS TRWANIA – 16H
CHARAKTERYSTYKA SZKOLENIA:
Szkolenie ma na celu przysposobić uczestników do radzenia sobie ze stresem
i czynnikami stresowymi - dzięki wyposażeniu w techniki i narzędzia rozładowania stresu oraz
pogłębienia wiedzy o jego wpływie na organizm człowieka. To szkolenie dla wszystkich, którzy
chcą dowiedzieć się, jak przeciwdziałać negatywnym skutkom stresu oraz uzyskać zestaw
ćwiczeń i wskazówek pomocnych do radzenia sobie z presją stresu.
LP
MODUŁ
1.
Stres
2.
Mój stres
3.
Wypalenie
zawodowe
4.
Metoda ośmiu
kroków
ELEMENTY MODUŁU
1. Identyfikacja czynników stresowych występujących
w środowisku
2. zawodowym
3. Wpływ stresu na efektywność działania.
4. Geneza stresu.
5. Kategorie zachowania w sytuacji stresowej- style
działania.
1. Wpływ osobowości na stres
2. Gdzie magazynuję stres w moim ciele
3. Zarządzanie emocjami
4. Moje poczucie kontroli
5. Moje czynniki ochrony przed stresem
1. Wypalenie zawodowe- czym naprawdę jest
2. Czy grozi Ci wypalenie, symptomy- autodiagnoza
3. Pięć obszarów zapobiegania wypaleniu
zawodowemu
1. Osiem kroków do zarządzania stresem w pracy
2. Metoda ośmiu kroków
3. Konkretne techniki dostosowane do konkretnej
osoby do walki ze stresem
LICZBA
GODZIN
4
4
4
4
Projekt „Metoda na kryzys” realizowany przez Lechaa Consulting Sp. z o. o. w ramach Poddziałania 8.1.1 „Wspieranie rozwoju kwalifikacji zawodowych i
doradztwo dla przedsiębiorstw” Program Operacyjny Kapitał Ludzki 2007-2013 na podstawie umowy podpisanej z Wojewódzkim Urzędem Pracy w Opolu
Lechaa Consulting Sp. z o.o.
www.lechaa.pl
NIP: 712-278-35-96,
Regon: 004182334,
Sąd Rejonowy w Lublinie XI Wydział Gospodarczy
Krajowego Rejestru Sadowego nr KRS: 0000173751,
Kapitał zakładowy: 50.000 zł
Projekt współfinansowany ze środków
Unii Europejskiej w ramach Europejskiego Funduszu Społecznego
ZAKRES TEMATYCZNY
WARSZTATY UMIEJĘTNOŚCI MIĘKKICH
KURS – ROZPOZNAWANIE I ROZWIĄZYWANIE KONFLIKTÓW
CZAS TRWANIA – 16H
CHARAKTERYSTYKA SZKOLENIA:
Szkolenie rozwija umiejętności związane z rozpoznawaniem źródeł konfliktu i jego
rozwiązywaniem. W trakcie ćwiczeń uczestnicy poznają teoretycznie i praktycznie różnice
pomiędzy rywalizacyjnym, a kooperacyjnym podejściem do rozwiązywania konfliktów.
Warsztaty zwiększają świadomość własnych skłonności w myśleniu o konflikcie oraz rozwijają
umiejętność zarządzania emocjami. Celem jest nauczenie się przez uczestników lepszych
i skuteczniejszych sposobów kierowania konfliktem.
LP
1.
2.
3.
MODUŁ
1.
2.
3.
4.
Konflikt 5.
wprowadzenie
6.
7.
8.
9.
1.
Zrozumienie
2.
źródeł konfliktów
3.
1.
2.
3.
4.
5.
Przebieg konfliktu 6.
7.
8.
9.
10.
11.
12.
ELEMENTY MODUŁU
Czym jest konflikt – definicja
Pozytywne i negatywne skutki konfliktu
Typologia i rodzaje konfliktów
Interpersonalne
Międzygrupowe
Ukryte
Jawne
Motywów mieszanych
O sumie zerowej
Najczęstsze przyczyny konfliktu w grupie
Teoria potrzeb
Teoria zasobów
Fazy i dynamika konfliktu
Style reakcji w sytuacjach konfliktowych
Autodiagnoza zachowania w sytuacjach
konfliktowych (kwestionariusz)
Unikanie
Uleganie
Rywalizacja
Kompromis
Współpraca
skrypty zachowania w konflikcie
Wygrany – przegrany
Na pół wygrany – na pół przegrany
Brak rozwiązania
LICZBA
GODZIN
4
2
4
Projekt „Metoda na kryzys” realizowany przez Lechaa Consulting Sp. z o. o. w ramach Poddziałania 8.1.1 „Wspieranie rozwoju kwalifikacji zawodowych i
doradztwo dla przedsiębiorstw” Program Operacyjny Kapitał Ludzki 2007-2013 na podstawie umowy podpisanej z Wojewódzkim Urzędem Pracy w Opolu
Lechaa Consulting Sp. z o.o.
www.lechaa.pl
NIP: 712-278-35-96,
Regon: 004182334,
Sąd Rejonowy w Lublinie XI Wydział Gospodarczy
Krajowego Rejestru Sadowego nr KRS: 0000173751,
Kapitał zakładowy: 50.000 zł
Projekt współfinansowany ze środków
Unii Europejskiej w ramach Europejskiego Funduszu Społecznego
13. Przegrany ‐ wygrany
4.
Komunikacja
w konflikcie
5.
Zamienianie
konfliktu
we współpracę
14. Wygrany – wygrany
1. Wyznaczniki dobrej komunikacji w sytuacjach
konfliktowych
2. Zniekształcenia komunikacji w konflikcie
3. Elementy asertywności w konflikcie
1. Metody rozwiązywania konfliktów
2. Etapy rozwiązywania konfliktu
3. Kreatywne metody poszukiwania rozwiązywania
sytuacji konfliktowych
2
4
Projekt „Metoda na kryzys” realizowany przez Lechaa Consulting Sp. z o. o. w ramach Poddziałania 8.1.1 „Wspieranie rozwoju kwalifikacji zawodowych i
doradztwo dla przedsiębiorstw” Program Operacyjny Kapitał Ludzki 2007-2013 na podstawie umowy podpisanej z Wojewódzkim Urzędem Pracy w Opolu
Lechaa Consulting Sp. z o.o.
www.lechaa.pl
NIP: 712-278-35-96,
Regon: 004182334,
Sąd Rejonowy w Lublinie XI Wydział Gospodarczy
Krajowego Rejestru Sadowego nr KRS: 0000173751,
Kapitał zakładowy: 50.000 zł
Projekt współfinansowany ze środków
Unii Europejskiej w ramach Europejskiego Funduszu Społecznego
ZAKRES TEMATYCZNY
WARSZTATY UMIEJĘTNOŚCI MIĘKKICH
KURS – AUTOPREZENTACJA I SAVOIR VIVRE W BIZNESIE
CZAS TRWANIA – 16H
CHARAKTERYSTYKA SZKOLENIA:
Znajomość reguł biznesowego savoir-vivre jest niezbędna we współczesnym świecie.
Konferencje, wystąpienia publiczne czy wizyty gości z zagranicy to szczególne sytuacje,
w których dobre maniery przekładają się na właściwe relacje z ludźmi czy intratne kontrakty.
Warto być do takich sytuacji należycie przygotowanym.
LP
1.
2.
3.
4.
5.
MODUŁ
1.
2.
3.
Autoprezentacja
4.
– pierwszy
5.
kontakt
6.
7.
8.
1.
2.
3.
Językowy savoir
4.
vivre
5.
6.
7.
1.
2.
Przyjęcia
3.
biznesowe
4.
5.
1.
Wizerunek i
2.
mowa ciała
3.
4.
1.
2.
Savoir vivre przy
3.
stole
4.
5.
ELEMENTY MODUŁU
Autoprezentacja – pierwszy kontakt
Dobre pierwsze wrażenie
Powitanie
Wizytówki
Wygląd wizytówki
Jak podawać wizytówkę
W jakich sytuacjach jest ona niezbędna
Analiza mocnych i słabych stron
Tytułowanie
Przechodzenie na „TY”
Prowadzenie konwersacji
„Small talk”
Przyjmowane komplementów
Aktywne słuchanie
Kultura języka
Etykieta przyjęć na stojąco
Zaproszenia
Przyjęcia ogrodowe
Przyjęcia wieczorne
Upominki i prezenty
Ubiór kobiety i mężczyzny
Dress code
Mowa ciała – gesty
Gafy i wpadki
Nakrycie stołu – rodzaje sztućców, zastawy, szkła
Dobór alkoholu
Przemówienia i toasty
Wejście i wyjście z restauracjio
Przygotowanie i prowadzenie spotkań
LICZBA
GODZIN
4
2
2
2
2
Projekt „Metoda na kryzys” realizowany przez Lechaa Consulting Sp. z o. o. w ramach Poddziałania 8.1.1 „Wspieranie rozwoju kwalifikacji zawodowych i
doradztwo dla przedsiębiorstw” Program Operacyjny Kapitał Ludzki 2007-2013 na podstawie umowy podpisanej z Wojewódzkim Urzędem Pracy w Opolu
Lechaa Consulting Sp. z o.o.
www.lechaa.pl
NIP: 712-278-35-96,
Regon: 004182334,
Sąd Rejonowy w Lublinie XI Wydział Gospodarczy
Krajowego Rejestru Sadowego nr KRS: 0000173751,
Kapitał zakładowy: 50.000 zł
Projekt współfinansowany ze środków
Unii Europejskiej w ramach Europejskiego Funduszu Społecznego
6.
Sytuacje
biznesowe
1.
2.
3.
4.
Ubiór kobiety i mężczyzny
Dress code
Mowa ciała – gesty
Gafy i wpadki
4
Projekt „Metoda na kryzys” realizowany przez Lechaa Consulting Sp. z o. o. w ramach Poddziałania 8.1.1 „Wspieranie rozwoju kwalifikacji zawodowych i
doradztwo dla przedsiębiorstw” Program Operacyjny Kapitał Ludzki 2007-2013 na podstawie umowy podpisanej z Wojewódzkim Urzędem Pracy w Opolu
Lechaa Consulting Sp. z o.o.
www.lechaa.pl
NIP: 712-278-35-96,
Regon: 004182334,
Sąd Rejonowy w Lublinie XI Wydział Gospodarczy
Krajowego Rejestru Sadowego nr KRS: 0000173751,
Kapitał zakładowy: 50.000 zł
Projekt współfinansowany ze środków
Unii Europejskiej w ramach Europejskiego Funduszu Społecznego
ZAKRES TEMATYCZNY
WARSZTATY UMIEJĘTNOŚCI MIĘKKICH
KURS – NEGOCJACJE I PODEJMOWANIE DECYZJI
CZAS TRWANIA – 16H
CHARAKTERYSTYKA SZKOLENIA:
Uczestnicy szkolenia będą rozwijać swój praktyczny warsztat negocjatora oraz własne
obszary kompetencyjne w zakresie planowania i podejmowania w ich wyniku decyzji.
Ustalania strategii i taktyki prowadzonych rozmów, wykorzystywania technik negocjacyjnych
oraz podstawowych reguł rządzących skutecznymi negocjacjami. Ponadto nauczą się, w jaki
sposób dostrzegać słabe strony partnerów w negocjacjach i jak je wykorzystywać, aby
osiągnąć zaplanowane cele. Podczas szkolenia zostaną przeanalizowane najczęściej
popełniane błędy w procesie negocjacji. Uczestnicy dowiedzą się również jak rozpoznawać
i jak się bronić się przed manipulacjami stosowanymi przez nieuczciwych negocjatorów.
LP
1.
2.
3.
4.
MODUŁ
ELEMENTY MODUŁU
1. Definiowanie sytuacji negocjacyjnej (na podstawie
symulacji negocjacji trójstronnych)
2. Zarys podstawowych różnic w percepcji procesu
Czym są
negocjacyjnego
negocjacje?
3. Czynniki determinujące sukces w negocjacjach
4. Fazy negocjacji
5. Rola i funkcja faz negocjacji
6. Zakres negocjacji
7. Zachowania moderujące przebieg procesu
1. Przygotowanie wspomagające efektywne
Jak przygotować
negocjacje - teoria, a praktyka
się do
2. Elastyczność w reakcji na zmianę sytuacji
negocjacji?
negocjacyjnej
3. Postrzeganie nieujawnionych celów kontrahenta
1. Zaawansowane techniki zadawania pytań
Umiejętności
2. Słuchanie
negocjatora
3. Stres - wróg czy sojusznik?
4. Test postaw negocjacyjnych
1. Formy komunikowania się w procesie negocjacji.
Skuteczne
2. Bariery utrudniające skuteczne porozumiewanie się z
porozumiewanie
innymi ludźmi oraz techniki usprawniające wymianę
się podczas
informacji.
negocjacji
3. Kształtowanie umiejętności asertywnego
zachowania się podczas negocjacji.
LICZBA
GODZIN
4
4
4
4
Projekt „Metoda na kryzys” realizowany przez Lechaa Consulting Sp. z o. o. w ramach Poddziałania 8.1.1 „Wspieranie rozwoju kwalifikacji zawodowych i
doradztwo dla przedsiębiorstw” Program Operacyjny Kapitał Ludzki 2007-2013 na podstawie umowy podpisanej z Wojewódzkim Urzędem Pracy w Opolu
Lechaa Consulting Sp. z o.o.
www.lechaa.pl
NIP: 712-278-35-96,
Regon: 004182334,
Sąd Rejonowy w Lublinie XI Wydział Gospodarczy
Krajowego Rejestru Sadowego nr KRS: 0000173751,
Kapitał zakładowy: 50.000 zł
Projekt współfinansowany ze środków
Unii Europejskiej w ramach Europejskiego Funduszu Społecznego
Projekt „Metoda na kryzys” realizowany przez Lechaa Consulting Sp. z o. o. w ramach Poddziałania 8.1.1 „Wspieranie rozwoju kwalifikacji zawodowych i
doradztwo dla przedsiębiorstw” Program Operacyjny Kapitał Ludzki 2007-2013 na podstawie umowy podpisanej z Wojewódzkim Urzędem Pracy w Opolu
Lechaa Consulting Sp. z o.o.
www.lechaa.pl
NIP: 712-278-35-96,
Regon: 004182334,
Sąd Rejonowy w Lublinie XI Wydział Gospodarczy
Krajowego Rejestru Sadowego nr KRS: 0000173751,
Kapitał zakładowy: 50.000 zł