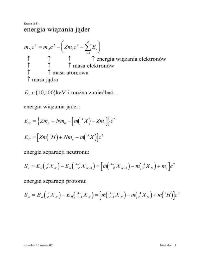
energia wiązania jąder

Transkrypt

energia wiązania jąder
Krane (65)
energia wiązania jąder
Z


2
mN c = m A c −  Zme c − ∑ Ei 


i =1
↑
↑
↑
↑ energia wiązania elektronów
↑
↑
↑ masa elektronów
↑
↑ masa atomowa
↑ masa jądra
2
2
E i ∈(10,100) keV i można zaniedbać…
energia wiązania jąder:
{
]}
[
E B = Zmp + Nmn − m( A X ) − Zme c 2
[
]
E B = Zm( 1 H ) + Nmn − m( A X ) c 2
energia separacji neutronu:
[
]
Sn = E B ( ZA X N ) − E B ( A−Z1 X N −1 ) = m( A−Z1 X N −1 ) − m( ZA X N ) + mn c 2
energia separacji protonu:
[
]
S p = E B ( ZA X N ) − E B ( ZA−−11 X N ) = m( ZA−−11 X N ) − m( ZA X N ) + m( 1 H ) c 2
t.pawlak 10 marca 02
bind.doc 1
Krane (849)
jednostka masy atomowej:
1u = 931.502 MeV/c2.
(z definicji masa atomowa 12C wynosi 12 u)
cząstka
elektron
proton
neutron
deuteron
alfa
atom wodoru
MeV/c2
0.511
938.280
939.573
1875.628
3727.409
938.791
2.5
Wykazać, że swobodny neutron jest cząstką nietrwałą ze
względu na rozpad β-.
n → p + e - + ~ν e
τ = 887 s ≅ 15 min
cτ = 2.659 ⋅ 108 km
mn = 939.566 MeV
mp = 938.272 MeV
mn - mp = 1.293 MeV
me = 0.511 MeV
mν ≅ 0
mn > mp + me
Q = 0.782 MeV
2.6
t.pawlak 10 marca 02
bind.doc 2
W naturalnym składzie izotopowym potasu (Z = 19)
znajduje się około 0.012 % izotopu 40K. Czy jest to izotop
trwały?
→ 4020Ca + e- + ~νe
τ = 1.32 ⋅ 109 y
40
19K
[ β- - 89 %, ε - 11 % ]
M(4020Ca) = 39.963 u
[ u = M(126C)/12 = 931.494 MeV ]
= 37224.9 MeV
M(4019K) = 37226.2 MeV
M(4019K) - M(4020Ca) - me = 0.8 MeV
Q = 0.3 MeV
t.pawlak 10 marca 02
bind.doc 3
2.7
W jaki sposób mogą rozpadać się jądra nietrwałego
izotopu miedzi 64Cu?
Z = 29.
M(6429Cu) = 59550.2 MeV
M(6430Zn) = 59549.6 MeV = M(6429Cu) - me - 0.1 MeV
[β- - 39 %, ε - 42 % ]
M(6428Ni) = 59548.5 MeV = M(6429Cu) - me - 1.2 MeV
[β+ - 19 %]
τ = 12.7 h
2.8
Obliczyć stosunek defektu masy cząstki α do masy tej
cząstki.
mp + mn
∆m 2(m p + m n ) − m α
x=
=
=2
−1
mα
mα
mα
mn = 939.566 MeV
mp = 938.272 MeV
mn + mp = 1877.838 MeV
mα = 3727.409 MeV
x = 7.6 ⋅ 10-3
t.pawlak 10 marca 02
bind.doc 4
2.9
Obliczyć i porównać enegie wiązania jądra helu 4He
(cząstka α) i jądra deuteru 2D (deuteron d).
mn = 939.566 MeV
mp = 938.272 MeV
md = 1875.628 MeV
mα = 3727.409 MeV
mn + mp = 1877.838 MeV
2mn +2 mp = 3755.676 MeV
EB(42He) = 28.267 MeV
ε(42He) = 7.067 MeV
EB(21D) = 2.21
ε(21D) = 1.10 MeV
2.11
Który nukleon, proton czy neutron, jest silniej związany w
jądrze 14N?
M(147N) = 13043.779 MeV
M(137N) = 12114.768 MeV
M(136C) = 12112.547 MeV
mn = 939.566 MeV
mp = 938.272 MeV
Sn(147N) = M(137N) + mn - M(147N) = 10.555 MeV
Sp(147N) = M(136C) + mp - M(147N) = 7.040 MeV
t.pawlak 10 marca 02
bind.doc 5
2.10
Obliczyć energię wiązania jąder 12C, 16O, 20Ne.
Podobne obliczenia wykonać przyjmując, że wymienione
jądra zbudowane są z cząstek α. Wyznaczyć energie
wiązania przypadające średnio na jeden nukleon i na
jedną cząstkę α.
M(126C) = 11177.928 MeV
M(168O) = 14899.167 MeV
M(2010Ne) = 18622.834 MeV
mn + mp = 1877.838 MeV
mα = 3727.409 MeV
EB(126C) = 89.100 MeV
EB(168O) = 123.537 MeV
EB(2010Ne) = 155.546 MeV
ε(126C) = 7.425 MeV
ε(168O) = 7.721 MeV
ε(2010Ne) = 7.777 MeV
EB(3α) = 4.299 MeV ε(3α) = 1.433 MeV
EB(4α) = 10.469 MeV ε(4α) = 2.617 MeV
EB(5α) = 14.211 MeV ε(5α) = 2.842 MeV
t.pawlak 10 marca 02
bind.doc 6
2.12
W którym z jąder 20Ne, 21Ne czy 22Ne neutron jest
związany najsilniej, a w którym najsłabiej?
M(1910Ne) =
M(2010Ne) =
M(2110Ne) =
M(2210Ne) =
mn = 939.566 MeV
Sn(2010Ne) = M(1910Ne) + mn - M(2010Ne) =
Sn(2110Ne) = M(2010Ne) + mn - M(2110Ne) =
Sn(2210Ne) = M(2110Ne) + mn - M(2210Ne) =
2.13
W wyniku wychwytu termicznego neutronu przez jądro
27
Al powstaje wzbudzone jadro 28Al. Obliczyć energię
wzbudzenia.
M(2713Al) =
M(2813Al) =
mn = 939.566 MeV
E*(2813Al) = M(2713Al) + mn - M(2813Al) =
t.pawlak 10 marca 02
bind.doc 7
2.14
Korzystając z półempirycznej formuły Weizsäckera
określić dla jakich jąder możliwy jest energetycznie proces
samorzutnego rozszczepienia na dwa jednakowe
fragmenty.
A Z
∆E = 2E B  ,  − E B (A, Z ) > 0
 2 2
2.15
Obliczyć energię wydzielającą się w procesie syntezy jądra
16
O z jądra 12C i cząstki α.
t.pawlak 10 marca 02
bind.doc 8
2.16
Energie wiązania przypadające średnio na jeden nukleon
w jądrach 2H, 4He, 6Li są odpowiednio równe: 1.10 MeV,
7.07 MeV oraz 5.33 MeV. Obliczyć energię jaka wydzieli
się w procesie tworzenia dwóch cząstek α z jąder 2H i 6Li.
∆E = M(2H) +M(6Li) – 2M(4He) =
= mp + mn - 2ε(2H ) + 3mp + 3mn - 6ε(6Li) +
- 2[2mp + 2mn - 4ε(4He)] =
= 8ε(4He) - 2ε(2H ) - 6ε(6Li) = 22.38 MeV
2.17
Syntezy jądra 4He można dokonać przez połączenie (fuzję)
dwóch jader 2H albo przez połączenie jądra 3H i protonu
lub przez połączenie 3He i neutronu. W którym z tych
procesów wydzieli się największa energia?
∆E1 = 2M(2H) - M(4He)
∆E2 = M(3H) + mp - M(4He)
∆E3 = M(3He) + mn - M(4He)
t.pawlak 10 marca 02
bind.doc 9
t.pawlak 10 marca 02
bind.doc 10