Nazwa wnioskodawcy Tytuł operacji Całkowity koszt operacji [PLN z

Transkrypt

Nazwa wnioskodawcy Tytuł operacji Całkowity koszt operacji [PLN z
Ilość
Liczba
uzyska
mieszkań nych
ców
punktó
miejscow
w
ości*
operacj
i
Nazwa
wnioskodawcy
Tytuł
operacji
Całkowity koszt operacji
[PLN z VAT]
Koszty kwalifikowalne
operacji
[PLN]
Wnioskowana kwota
pomocy
[PLN]
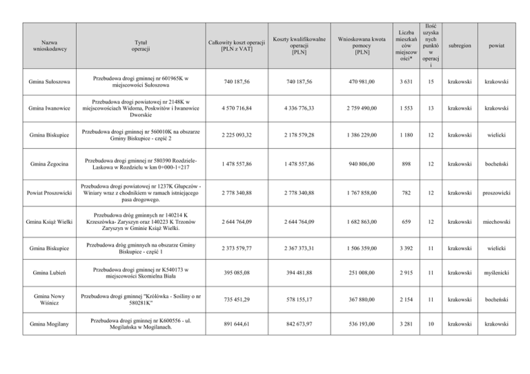
Gmina Sułoszowa
Przebudowa drogi gminnej nr 601965K w
miejscowości Sułoszowa
740 187,56
740 187,56
470 981,00
3 631
Gmina Iwanowice
Przebudowa drogi powiatowej nr 2148K w
miejscowościach Widoma, Poskwitów i Iwanowice
Dworskie
4 570 716,84
4 336 776,33
2 759 490,00
Gmina Biskupice
Przebudowa drogi gminnej nr 560010K na obszarze
Gminy Biskupice - część 2
2 225 093,32
2 178 579,28
Gmina Żegocina
Przebudowa drogi gminnej nr 580390 RozdzieleLaskowa w Rozdzielu w km 0+000-1+217
1 478 557,86
Powiat Proszowicki
Przebudowa drogi powiatowej nr 1237K Głupczów Winiary wraz z chodnikiem w ramach istniejącego
pasa drogowego.
Gmina Książ Wielki
subregion
powiat
15
krakowski
krakowski
1 553
13
krakowski
krakowski
1 386 229,00
1 180
12
krakowski
wielicki
1 478 557,86
940 806,00
898
12
krakowski
bocheński
2 778 340,88
2 778 340,88
1 767 858,00
782
12
krakowski
proszowicki
Przebudowa dróg gminnych nr 140214 K
Krzeszówka- Zaryszyn oraz 140223 K Trzonów
Zaryszyn w Gminie Książ Wielki.
2 644 764,09
2 644 764,09
1 682 863,00
659
12
krakowski
miechowski
Gmina Biskupice
Przebudowa dróg gminnych na obszarze Gminy
Biskupice - część 1
2 373 579,77
2 367 373,31
1 506 359,00
3 392
11
krakowski
wielicki
Gmina Lubień
Przebudowa drogi gminnej nr K540173 w
miejscowości Skomielna Biała
395 085,08
394 481,88
251 008,00
2 915
11
krakowski
myślenicki
Gmina Nowy
Wiśnicz
Przebudowa drogi gminnej "Królówka - Sośliny o nr
580281K"
735 451,29
578 155,17
367 880,00
2 154
11
krakowski
bocheński
Gmina Mogilany
Przebudowa drogi gminnej nr K600556 - ul.
Mogilańska w Mogilanach.
891 644,61
842 673,97
536 193,00
3 281
10
krakowski
krakowski
Gmina KocmyrzówLuborzyca
Przebudowa odcinków dróg gminnych w
miejscowościach: Czulice (K600347), GoszczeWilków (K600278), Łososkowice (K600298), Prusy
(K600313) i Skorzeszowice (K600292) na terenie
gminy Kocmyrzów-Luborzyca
3 321 219,94
3 257 862,38
2 072 977,00
2 998
10
krakowski
krakowski
Gmina Rzezawa
Przebudowa drogi gminnej - ul. Kolorowej polegająca
na przebudowie jezdni drogi, budowie chodnika z
budową kanalizacji deszczowej, przebudowie
istniejących zjazdów w miejscowości Rzezawa, gmina
Rzezawa
430 318,90
418 182,24
266 089,00
2 824
10
krakowski
bocheński
Gmina Osiek
Przebudowa drogi powiatowej wraz z budową
chodnika, odwodnienia, przebudową zjazdów w ciągu
drogi powiatowej Nr 1758 K ul. Główna w Osieku na
odcinku od km 4+580 do km 6+590 w granicach
istniejącego pasa drogowego
2 529 557,91
2 529 557,91
1 609 557,00
6 862
14
Małopolska
Zachodnia
oświęcimski
Gmina Osiek
Przebudowa drogi powiatowej Nr 1814 K ul.
Starowiejska w Osieku w km od 1+785 do km 5+315
2 001 649,72
1 994 338,35
1 268 997,00
6 862
14
Małopolska
Zachodnia
oświęcimski
Gmina Spytkowice
Przebudowa dróg gminnych w miejscowościach
Spytkowice i Ryczów na terenie Gminy Spytkowice
599 480,50
599 480,50
381 449,00
6 696
11
Małopolska
Zachodnia
wadowicki
Gmina Kalwaria
Zebrzydowska
Przebudowa drogi gminnej K 470083 - Brody Zebrzydowice w km 1+325 - 2 + 320 w miejscowości
Brody i Zebrzydowice w Gminie Kalwaria
Zebrzydowska
2 207 923,84
2 061 120,41
1 311 490,00
4 629
11
Małopolska
Zachodnia
wadowicki
Gmina Kalwaria
Zebrzydowska
Przebudowa drogi gminnej G000068 – ul.
Partyzantów w zakresie: przebudowy jezdni i
chodnika wraz z remontem zjazdów w m. Kalwaria
Zebrzydowska, Gmina Kalwaria Zebrzydowska w km
0+000 – 0+448
512 610,31
459 839,59
292 595,00
4 426
11
Małopolska
Zachodnia
wadowicki
Powiat Chrzanowski
Przebudowa części DP 1014K, ul. Piłsudskiego pomiędzy skrzyżowaniami z DW 780 a ul. Wiklinową
o dł. ok. 3,858 km w sołectwie Zagórze
2 769 694,49
2 761 204,83
1 756 954,00
3 077
11
Małopolska
Zachodnia
chrzanowski
Powiat Wadowicki
Przebudowa drogi powiatowej nr 1769 K Spytkowice
- Bachowice - Witanowice w m. Bachowice w km
2+827-3+527
775 065,70
727 400,28
462 844,00
2 323
11
Małopolska
Zachodnia
wadowicki
Gmina Kalwaria
Zebrzydowska
Przebudowa drogi "Na Sumerówkę" w miejscowości
Zebrzydowice w km 0+000-0+313
287 943,90
263 681,21
167 780,00
1 991
11
Małopolska
Zachodnia
wadowicki
Gmina Kalwaria
Zebrzydowska
Przebudowa drogi gminnej nr K 470093 w m. Leńcze i
Podolany
1 664 294,83
1 603 324,86
1 020 195,00
1 869
11
Małopolska
Zachodnia
wadowicki
Gmina Wieprz
Przebudowa drogi gminnej nr G000032 Gierałtowice
Przecznica Zbójecka
3 472 765,09
2 795 567,35
1 778 819,00
1 299
11
Małopolska
Zachodnia
wadowicki
Gmina Libiąż
Przebudowa dróg gminnych - ulic: Klubowej, Piastów,
Ściegiennego w Żarkach
409 921,37
409 921,37
260 832,00
3 818
10
Małopolska
Zachodnia
chrzanowski
Gmina Budzów
Przebudowa i rozbudowa drogi gminnej "Zimziele"
Nr K 440035 w miejscowości Budzów
1 225 563,63
1 195 445,43
760 661,00
2 886
12
podhalański
suski
41 041431,43
39 416 817,04
25 080 906,00