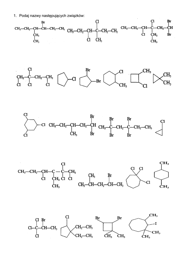
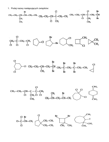
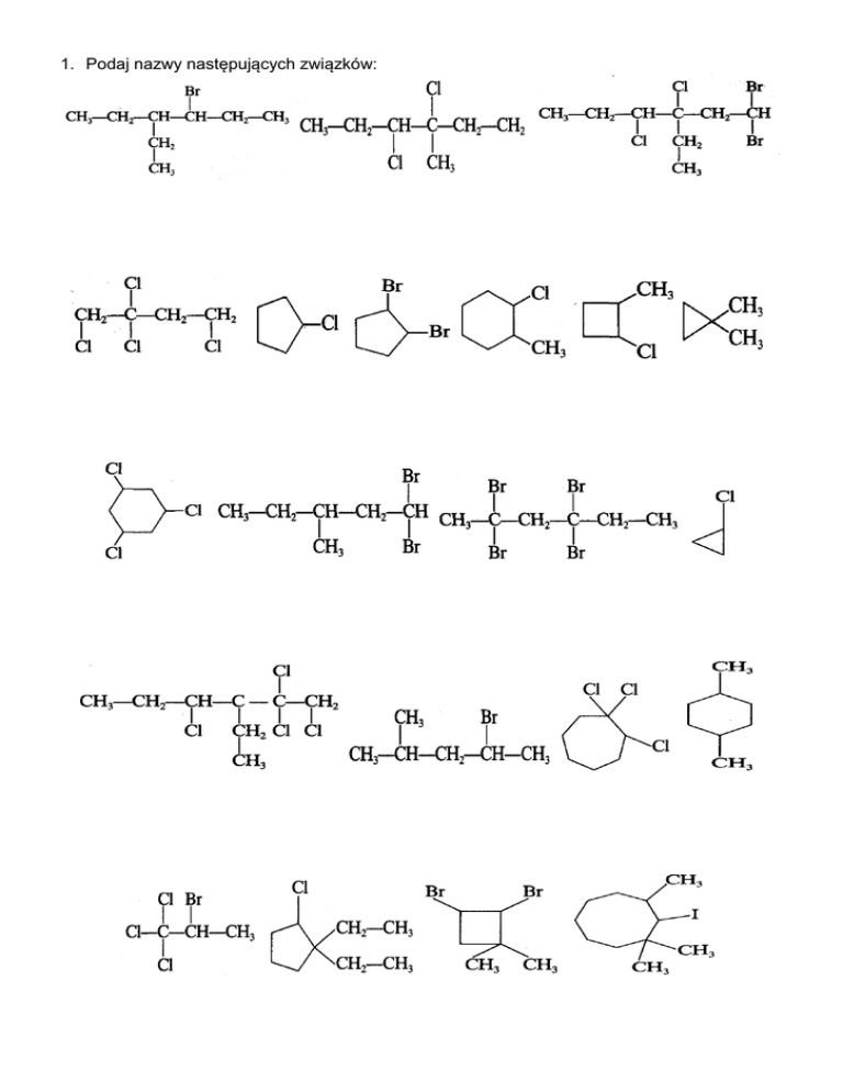
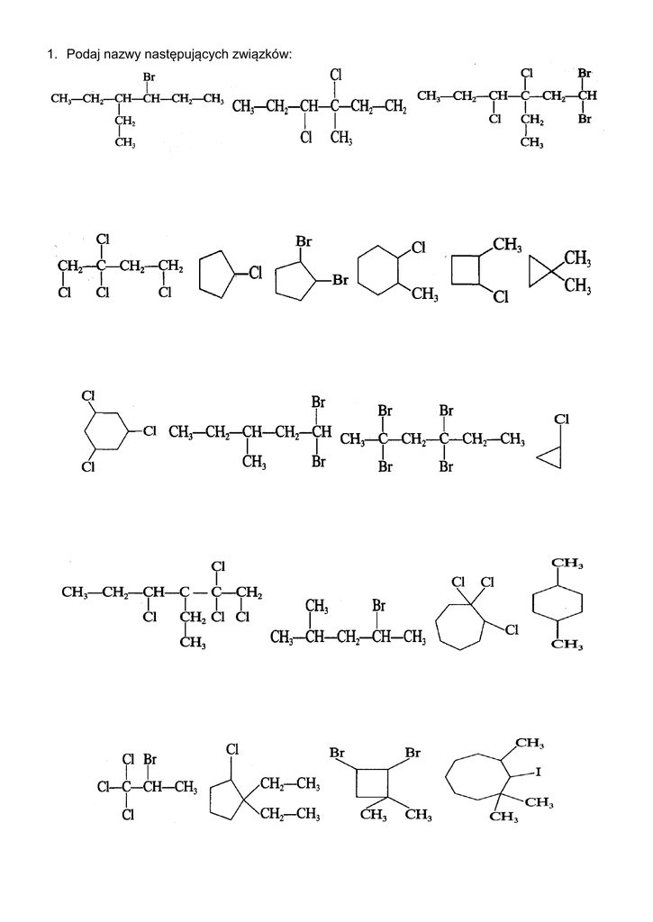
1. Podaj nazwy następujących związków

Transkrypt

1. Podaj nazwy następujących związków
1. Podaj nazwy następujących związków:
2. Spośród podanych nazw wybierz prawidłową nazwę przedstawionego wzorem związku:
3. Narysuj wzory izomerów związku o wzorze sumarycznym C4H8Cl2 i podaj ich nazwy.
4. Freony to substancje niszczące warstwę ozonu. W skład freonów wchodzą pierwiastki:
a) Węgiel azot fluor
c) Węgiel chlor brom
b) Węgiel tlen jod
d) Węgiel chlor fluor
5. Narysuj wzory półstrukturalne oraz zapisz nazwy chloropochodnych o wzorze C 4H9Cl
6. Oblicz wydajność reakcji otrzymywania chlorometanu, jeśli wiesz, że do reakcji użyto 28 dm3
metanu, a otrzymano 25 dm3 chlorometanu. Obie objętości zostały zmierzone w warunkach
normalnych.
7. Reakcja chlorowania metanu przebiega z wydajnością 85%. Oblicz masę otrzymanego
chlorometanu, jeśli do reakcji chlorowania użyto 40 g metanu.
8. Oblicz, ile moli metanu należy poddać chlorowaniu, aby otrzymać 50 moli chlorometanu.
Wydajność reakcji chlorowania jest równa 80%.
9. Oblicz zwartość procentową (% masowy) pierwiastków w etanie:
10. Oblicz zwartość procentową (% masowy) pierwiastków w pentanie:
11. Podaj wzory sumaryczne i nazwy alkanu, którego masa cząsteczkowa wynosi 72 u
12. Podaj wzory sumaryczne i nazwy alkanu, którego masa cząsteczkowa wynosi 128 u
13. Podaj wzór sumaryczny i nazwę alkanu, który zawiera 84,37% węgla i 15,63% wodoru
14. Produktami spalania niecałkowitego 1 cząsteczki pewnego węglowodoru są 3 atomy węgla i
4 cząsteczki wody. Jaki węglowodór poddano spaleniu? Napisz równanie tej reakcji.
15. Oblicz rzeczywisty wzór węglowodoru, którego gęstość w warunkach normalnych wynosi
2,59 g/dm3 i zawiera 82,8% węgla
16. Oblicz rzeczywisty wzór węglowodoru o M=30g/mol jeżeli w reakcji spalania 1,5 g tego
związku otrzymano 4,4g CO2 i parę wodną.
17. Spalono związek o masie 5,17g i otrzymano 10,32g CO2 oraz 4,32g H2O.
Masa cząsteczkowa tego węglowodoru wynosi 88u.
18. Ustal wzór rzeczywisty związku zawierającego wagowo 44,83% potasu, 18,4% siarki i
36,77% tlenu, jeśli wiesz, że wzór najprostszy tego związku jest jednocześnie jego wzorem
rzeczywistym.
19. Wyznacz wzór empiryczny związku zawierającego wagowo 85,7% węgla i 14,3% wodoru.
20. Wyznacz wzór sumaryczny związku zawierającego wagowo 48,65% węgla, 8,11% wodoru
oraz tlen. Wzór empiryczny tego związku jest jednocześnie jego wzorem sumarycznym.
21. Wyznacz wzór rzeczywisty związku zawierającego wagowo 22,4% węgla, 2,8% wodoru i
brom, jeśli wiesz, że jego masa molowa wynosi 214 g/mol.
22. Spalono pewną ilość węglowodoru, uzyskując 17,6 g CO2 i 9 g H2O.
Wyznacz wzór empiryczny spalonego związku.
23. Spalono 9,2 g związku organicznego, otrzymując 17,6 g CO2 oraz 10,8 g wody. Ustal wzór
sumaryczny spalanego związku, jeśli wiesz, że jego masa molowa jest równa 46 g/mol.
24. Spalono 3 mole alkanu, zużywając w tym celu 537,6 dm 3 tlenu (odmierzonego w warunkach
normalnych). Ustal wzór sumaryczny spalonego związku.