Równanie prostej

Transkrypt

Równanie prostej
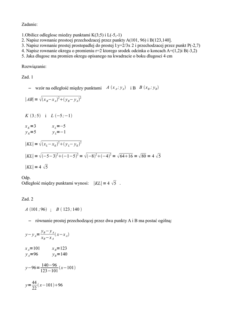
Zadanie:
1.Obilicz odleglosc miedzy punktami K(3;5) i L(-5,-1)
2. Napisz rownanie prostoej przechodzacej przez punkty A(101, 96) i B(123,140].
3. Napisz rownanie prostej prostopadlej do prostej l:y=2/3x 2 i przechodzacej przez punkt P(-2,7)
4. Napisz rownanie okregu o promieniu r=2 ktorego srodek odcinka o koncach A=(1,2)i B(-3,2)
5. Jaka dlugosc ma promien okregu opisanego na kwadracie o boku dlugosci 4 cm
Rozwiązanie:
Zad. 1
– wzór na odległość między punktami
A  x A ; yA i B B  xB ; yB
∣AB∣ =   x B−x A 2 y B− y A 2
K 3 ; 5 i
L −5 ;−1
x K =3
y K=5
x L =−5
y L=−1
∣KL∣ =   x L − x K 2 y L− y K 2
∣KL∣ =  −5−32−1−52 =  −82−42 =  6416 =  80 = 4  5
∣KL∣ = 4  5
Odp.
Odległość między punktami wynosi: ∣KL∣ = 4  5 .
Zad. 2
A 101 ; 96 ;
B  123 ;140 
– równanie prostej przechodzącej przez dwa punkty A i B ma postać ogólną:
y− y A=
x A=101
y A=96
y−96=
y=
yB − y A
 x−x A 
x B −x A
x B=123
y B =140
140−96
 x−101
123−101
44
 x−10196
22
y=2 x−10196
y=2 x−20296
y=2 x−106
Odp.
Rownanie prostoej przechodzacej przez punkty A i B ma postać:
Zad. 3
2
l : y = x2
3
P −2 ; 7 – punkt, przez który przechodzi prosta
– warunek prostopadłości:
l : y =a 1 x b1
k : y=a 2 xb2
to:
a 1∗a 2=−1
Niech
2
l : y = x2
3
gdzie a 1=
2
3
Prosta prostopadła do prostej l będzie miała postać ogólną:
k : y=a 2 xb2
a 1∗a 2=−1
a 2=
a 2=
−1
a1
−1
3
=−
2
2
3
więc prosta k będzie miała postać
k : y=−
3
xb 2
2
y=2 x−106
Prosta k przechodzi przez punkt, więc punkt P musi spełniać poniŜsze równanie
k : y=−
3
xb 2
2
P −2 ; 7
gdzie
3
7=− ∗−2b 2
2
7=3b 2
b 2=3−7
b 2=−4
3
k : y= x−4
2
Odp.
3
Prosta prostopadła do prostej l i przechodząca przez punkt P ma postać: k : y= x−4
2
Zad. 4
r =2 - promień okręgu
A=1 ; 2 i B−3 ; 2 - współrzędne końców odcinka
śeby napisać równanie okręgu, najpierw obliczymy współrzędne środka odcinka AB
– wzór na środek odcinka o końcach A i B na płaszczyźnie
S= x S ; y S =
x A x B y A y B
;

2
2
– obliczamy środek odcinka AB
x A=1
y A=2
S=
x B=−3
y B =2
1−3 22
;

2
2
S= x S ; y S =−1 ; 2
- równanie okręgu o środku S (a;b) i promieniu r
 x−a2− x−b 2 =r 2
Dla
r =2 i
S= x S ; y S =a ;b=−1 ; 2
równanie okręgu ma postać
 x12− x−22 =2 2
 x12− x−22 =4
Odp.
Dla środka odcinka AB o współrzędnych
postać:  x12− x−22 =4 .
S=−1 ;2 i promieniu r =2 równanie okręgu ma
Zad. 4
Promień okręgu opisanego na kwadracie ma długość połowy przekątnej kwadratu. JeŜeli bok
kwadratu ma wymar a=4 cm to przekątną obliczymy z wazoru:
d =a
 2 - przekątna kwadratu
d = 4 2
Jak wspomniano powyŜej, promień koła opisanego na kwadracie jest równy połowie przekątnej:
R=
1
d
2
R=
1
∗ 4 2
2
R =2
 2 cm
Odp.
Promien okregu opisanego na kwadracie o boku dlugosci 4 cm wynosi
R = 2  2 cm .