1 0, !4!3!2 1 ) ≤ +≈ ≤≤ + + ++≈ xxx tgx bxxxxx eax

Transkrypt

1 0, !4!3!2 1 ) ≤ +≈ ≤≤ + + ++≈ xxx tgx bxxxxx eax
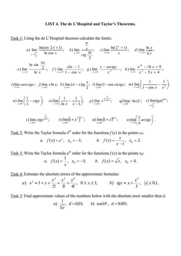
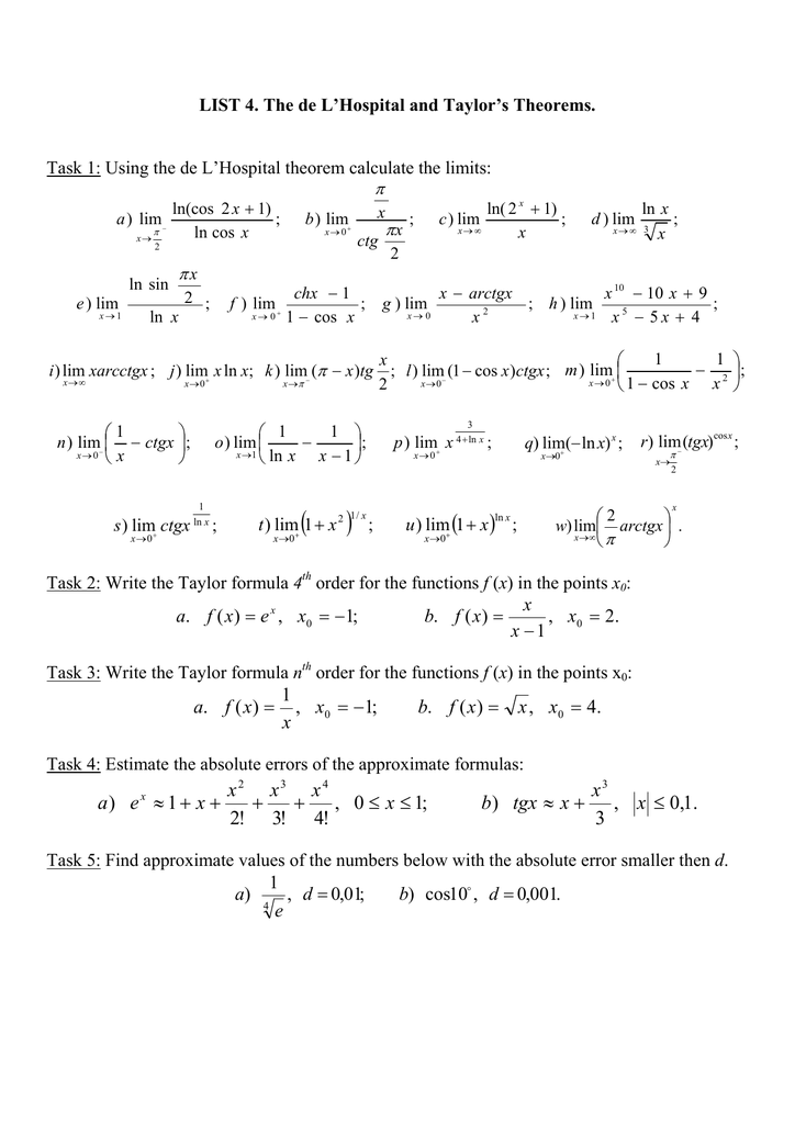
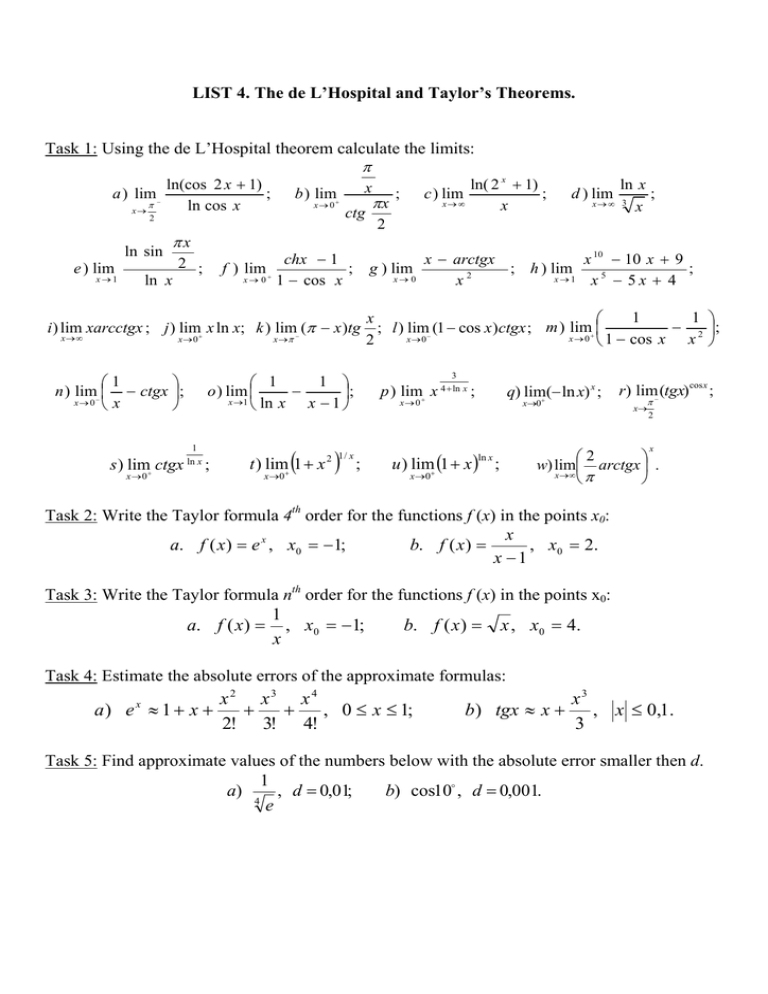
LIST 4. The de L’Hospital and Taylor’s Theorems.
Task 1: Using the de L’Hospital theorem calculate the limits:
π
x ;
b ) lim+
x→ 0
πx
ctg
2
ln(cos 2 x + 1)
;
a ) lim −
π
ln cos x
x→
2
πx
2 ;
ln x
ln sin
e ) lim
x→1
f ) lim +
x→ 0
chx − 1
;
1 − cos x
g ) lim
x→ 0
i ) lim xarcctgx ; j ) lim+ x ln x; k ) lim− (π − x )tg
x→∞
x→0
1

n ) lim−  − ctgx ;
x→ 0  x

s ) lim+ ctgx
x→0
x →π
1 
 1
o ) lim 
−
;
x →1 ln x
x −1

1
ln x
;
(
t ) lim+ 1 + x
x →0
)
2 1/ x
ln( 2 x + 1)
;
c ) lim
x→ ∞
x
d ) lim
ln x
;
x
x→ ∞ 3
x − arctgx
x 10 − 10 x + 9
;
h
)
lim
;
x→1
x2
x5 − 5x + 4
1
1 
x

− 2 ;
; l ) lim− (1 − cos x )ctgx ; m ) lim+ 
x → 0  1 − cos x
x→0
x 
2
3
p ) lim+ x 4 + ln x ;
q) lim+ (− ln x) x ;
x→ 0
;
x→0
r) lim− (tgx) cos x ;
π
x→
2
2

w) lim arctgx  .
x →∞ π


u ) lim+ (1 + x ) ;
x
ln x
x →0
Task 2: Write the Taylor formula 4th order for the functions f (x) in the points x0:
x
a. f ( x ) = e x , x0 = −1;
b. f ( x ) =
, x 0 = 2.
x −1
Task 3: Write the Taylor formula nth order for the functions f (x) in the points x0:
a. f ( x ) =
1
, x0 = −1;
x
b. f ( x ) =
x , x 0 = 4.
Task 4: Estimate the absolute errors of the approximate formulas:
x2 x3 x 4
a) e ≈ 1 + x +
+
+
, 0 ≤ x ≤ 1;
2! 3! 4!
x
x3
b) tgx ≈ x + , x ≤ 0,1.
3
Task 5: Find approximate values of the numbers below with the absolute error smaller then d.
1
a) 4 , d = 0,01;
b) cos10o , d = 0,001.
e