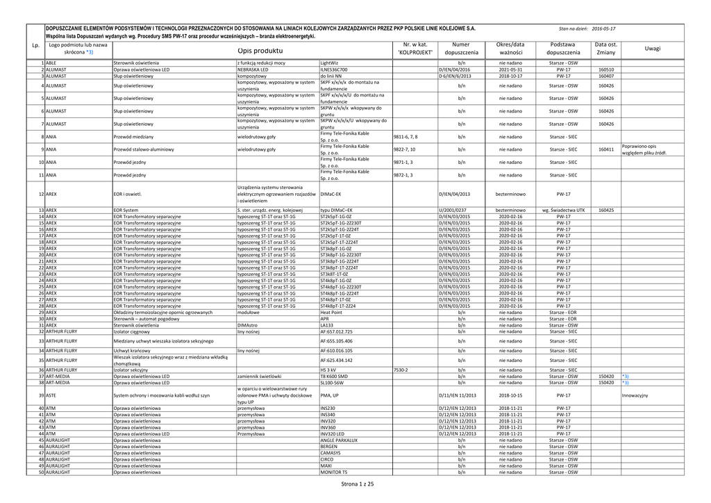
Opis produktu

Transkrypt

Opis produktu
DOPUSZCZANIE ELEMENTÓW PODSYSTEMÓW I TECHNOLOGII PRZEZNACZONYCH DO STOSOWANIA NA LINIACH KOLEJOWYCH ZARZĄDZANYCH PRZEZ PKP POLSKIE LINIE KOLEJOWE S.A.
Wspólna lista Dopuszczeń wydanych wg. Procedury SMS PW-17 oraz procedur wcześniejszych – branża elektroenergetyki.
Logo podmiotu lub nazwa
skrócona *3)
Lp.
1 ABLE
2 ALUMAST
3 ALUMAST
Sterownik oświetlenia
Oprawa oświetleniowa LED
Słup oświetleniowy
4 ALUMAST
Słup oświetleniowy
5 ALUMAST
Słup oświetleniowy
6 ALUMAST
Słup oświetleniowy
7 ALUMAST
Słup oświetleniowy
8 ANIA
Przewód miedziany
wielodrutowy goły
9 ANIA
Przewód stalowo-aluminiowy
wielodrutowy goły
10 ANIA
Przewód jezdny
11 ANIA
Przewód jezdny
12 AREX
EOR i oswietl.
13
14
15
16
17
18
19
20
21
22
23
24
25
26
27
28
29
30
31
32
AREX
AREX
AREX
AREX
AREX
AREX
AREX
AREX
AREX
AREX
AREX
AREX
AREX
AREX
AREX
AREX
AREX
AREX
AREX
ARTHUR FLURY
EOR System
EOR Transformatory separacyjne
EOR Transformatory separacyjne
EOR Transformatory separacyjne
EOR Transformatory separacyjne
EOR Transformatory separacyjne
EOR Transformatory separacyjne
EOR Transformatory separacyjne
EOR Transformatory separacyjne
EOR Transformatory separacyjne
EOR Transformatory separacyjne
EOR Transformatory separacyjne
EOR Transformatory separacyjne
EOR Transformatory separacyjne
EOR Transformatory separacyjne
EOR Transformatory separacyjne
Okładziny termoizolacyjne opornic ogrzewanych
Sterownik – automat pogodowy
Sterownik oświetlenia
Izolator cięgnowy
33 ARTHUR FLURY
Miedziany uchwyt wieszaka izolatora sekcyjnego
34 ARTHUR FLURY
36 ARTHUR FLURY
37 ART-MEDIA
38 ART-MEDIA
Uchwyt krańcowy
Wieszak izolatora sekcyjnego wraz z miedziana wkładką
chomątkową
Izolator sekcyjny
Oprawa oświetleniowa LED
Oprawa oświetleniowa LED
39 ASTE
System ochrony i mocowania kabli wzdłuż szyn
40
41
42
43
44
45
46
47
48
49
50
Oprawa oświetleniowa
Oprawa oświetleniowa
Oprawa oświetleniowa
Oprawa oświetleniowa
Oprawa oświetleniowa LED
Oprawa oświetleniowa
Oprawa oświetleniowa
Oprawa oświetleniowa
Oprawa oświetleniowa
Oprawa oświetleniowa
Oprawa oświetleniowa
35 ARTHUR FLURY
ATM
ATM
ATM
ATM
ATM
AURALIGHT
AURALIGHT
AURALIGHT
AURALIGHT
AURALIGHT
AURALIGHT
Nr. w kat.
'KOLPROJEKT'
Opis produktu
z funkcją redukcji mocy
NEBRASKA LED
kompozytowy
kompozytowy, wyposażony w system
uszynienia
kompozytowy, wyposażony w system
uszynienia
kompozytowy, wyposażony w system
uszynienia
kompozytowy, wyposażony w system
uszynienia
LightWiz
ILNES36C700
do linii NN
SKPF x/x/x/x do montażu na
fundamencie
SKPF x/x/x/x/U do montażu na
fundamencie
SKPW x/x/x/x wkopywany do
gruntu
SKPW x/x/x/x/U wkopywany do
gruntu
Firmy Tele-Fonika Kable
Sp. z o.o.
Firmy Tele-Fonika Kable
Sp. z o.o.
Firmy Tele-Fonika Kable
Sp. z o.o.
Firmy Tele-Fonika Kable
Sp. z o.o.
Okres/data
ważności
Podstawa
dopuszczenia
Data ost.
Zmiany
nie nadano
2021-05-31
2018-10-17
Starsze - OSW
PW-17
PW-17
160510
160407
b/n
nie nadano
Starsze - OSW
160426
b/n
nie nadano
Starsze - OSW
160426
b/n
nie nadano
Starsze - OSW
160426
b/n
nie nadano
Starsze - OSW
160426
9811-6, 7, 8
b/n
nie nadano
Starsze - SIEC
9822-7, 10
b/n
nie nadano
Starsze - SIEC
9871-1, 3
b/n
nie nadano
Starsze - SIEC
9872-1, 3
b/n
nie nadano
Starsze - SIEC
D/IEN/04/2013
bezterminowo
PW-17
U/2001/0237
D/IEN/03/2015
D/IEN/03/2015
D/IEN/03/2015
D/IEN/03/2015
D/IEN/03/2015
D/IEN/03/2015
D/IEN/03/2015
D/IEN/03/2015
D/IEN/03/2015
D/IEN/03/2015
D/IEN/03/2015
D/IEN/03/2015
D/IEN/03/2015
D/IEN/03/2015
D/IEN/03/2015
b/n
b/n
b/n
b/n
bezterminowo
2020-02-16
2020-02-16
2020-02-16
2020-02-16
2020-02-16
2020-02-16
2020-02-16
2020-02-16
2020-02-16
2020-02-16
2020-02-16
2020-02-16
2020-02-16
2020-02-16
2020-02-16
nie nadano
nie nadano
nie nadano
nie nadano
wg. Świadectwa UTK
PW-17
PW-17
PW-17
PW-17
PW-17
PW-17
PW-17
PW-17
PW-17
PW-17
PW-17
PW-17
PW-17
PW-17
PW-17
Starsze - EOR
Starsze - EOR
Starsze - OSW
Starsze - SIEC
b/n
D/IEN/04/2016
D 6/IEN/6/2013
Urządzenia systemu sterowania
elektrycznym ogrzewaniem rozjazdów DIMaC-EK
i oświetleniem
S. ster. urządz. energ. kolejowej
typoszereg ST-1T oraz ST-1G
typoszereg ST-1T oraz ST-1G
typoszereg ST-1T oraz ST-1G
typoszereg ST-1T oraz ST-1G
typoszereg ST-1T oraz ST-1G
typoszereg ST-1T oraz ST-1G
typoszereg ST-1T oraz ST-1G
typoszereg ST-1T oraz ST-1G
typoszereg ST-1T oraz ST-1G
typoszereg ST-1T oraz ST-1G
typoszereg ST-1T oraz ST-1G
typoszereg ST-1T oraz ST-1G
typoszereg ST-1T oraz ST-1G
typoszereg ST-1T oraz ST-1G
typoszereg ST-1T oraz ST-1G
modułowe
DIMAstro
liny nośnej
liny nośnej
zamiennik świetlówki
w oparciu o wielowarstwowe rury
osłonowe PMA i uchwyty dociskowe
typu UP
przemysłowa
przemysłowa
przemysłowa
przemysłowa
Przemysłowa
Numer
dopuszczenia
Stan na dzień: 2016-05-17
typu DIMaC–EK
ST2k5pT-1G-0Z
ST2k5pT-1G-2Z230T
ST2k5pT-1G-2Z24T
ST2k5pT-1T-0Z
ST2k5pT-1T-2Z24T
ST3k8pT-1G-0Z
ST3k8pT-1G-2Z230T
ST3k8pT-1G-2Z24T
ST3k8pT-1T-2Z24T
ST3k8T-1T-0Z
ST4k8pT-1G-0Z
ST4k8pT-1G-2Z230T
ST4k8pT-1G-2Z24T
ST4k8pT-1T-0Z
ST4k8pT-1T-2Z24
Heat Point
APR
LA133
AF:657.012.725
AF:655.105.406
b/n
nie nadano
Starsze - SIEC
AF:610.016.105
b/n
nie nadano
Starsze - SIEC
AF:625.434.142
b/n
nie nadano
Starsze - SIEC
b/n
b/n
b/n
nie nadano
nie nadano
nie nadano
Starsze - SIEC
Starsze - OSW
Starsze - OSW
HS 3 kV
T8 K600 SMD
SL100-56W
7530-2
PMA, UP
D/11/IEN 11/2013
2018-10-15
PW-17
INS230
INS340
INV320
INV360
INV320 LED
ANGLE PARKALUX
BERGEN
CAMASYS
CIRCO
MAXI
MONITOR T5
D/12/IEN 12/2013
D/12/IEN 12/2013
D/12/IEN 12/2013
D/12/IEN 12/2013
D/12/IEN 12/2013
b/n
b/n
b/n
b/n
b/n
b/n
2018-11-21
2018-11-21
2018-11-21
2018-11-21
2018-11-21
nie nadano
nie nadano
nie nadano
nie nadano
nie nadano
nie nadano
PW-17
PW-17
PW-17
PW-17
PW-17
Starsze - OSW
Starsze - OSW
Starsze - OSW
Starsze - OSW
Starsze - OSW
Starsze - OSW
Strona 1 z 25
160411
Uwagi
Poprawiono opis
względem pliku źródł.
160425
150420
150420
*3)
*3)
Innowacyjny
DOPUSZCZANIE ELEMENTÓW PODSYSTEMÓW I TECHNOLOGII PRZEZNACZONYCH DO STOSOWANIA NA LINIACH KOLEJOWYCH ZARZĄDZANYCH PRZEZ PKP POLSKIE LINIE KOLEJOWE S.A.
Wspólna lista Dopuszczeń wydanych wg. Procedury SMS PW-17 oraz procedur wcześniejszych – branża elektroenergetyki.
Lp.
51
52
53
54
55
56
57
58
59
60
61
62
Logo podmiotu lub nazwa
skrócona *3)
AURALIGHT
AURALIGHT
AZO-DIGITAL
AZO-DIGITAL
AZO-DIGITAL
BELOS-PLP
BS-SYSTEM
BS-SYSTEM
BS-SYSTEM
BS-SYSTEM
BS-SYSTEM
BUSH_PL
63 CEBAPO
64
65
66
67
68
69
70
71
72
73
74
75
76
77
78
79
80
81
82
83
84
85
86
87
88
DALEKOVOD_PL
DALEKOVOD_PL
DALEKOVOD_PL
DALEKOVOD_PL
DALEKOVOD_PL
DALEKOVOD_PL
DALEKOVOD_PL
DALEKOVOD_PL
DALEKOVOD_PL
DALEKOVOD_PL
DALEKOVOD_PL
DALEKOVOD_PL
DALEKOVOD_PL
DALEKOVOD_PL
DALEKOVOD_PL
DALEKOVOD_PL
DALEKOVOD_PL
DALEKOVOD_PL
DALEKOVOD_PL
DALEKOVOD_PL
DALEKOVOD_PL
DALEKOVOD_PL
DALEKOVOD_PL
DALEKOVOD_PL
DALEKOVOD_PL
Nr. w kat.
'KOLPROJEKT'
Opis produktu
Oprawa oświetleniowa
Oprawa oświetleniowa
Zapłonnik do lamp wyładowczych i kontroler
Zapłonnik do lamp wyładowczych i kontroler
Zapłonnik do lamp wyładowczych i kontroler
Uchwyt przelotowy
Fundament palowy
Fundament palowy
Fundament palowy
Fundament palowy
Fundament palowy
Szafa złączowo-rozdzielcza
Technologia zabezpieczenia antykorozyjnego
konstrukcji wsporczych sieci trakcyjnej
Kotwienia ciężarowe sieci
Uchwyt przegubowy
Uchwyt przegubowy wysięgnikowy
Wyrównywacz przewodów jezdnych
Śruba rzymska
Uchwyt rolek linowych
Przegubowy uchwyt
Cięgła linowe urządzenia naprężającego
Zabezpieczenie urządzenia naprężającego
Uchwyt słupowy izolatora
Łącznik podwójny
Uchwyt krańcowy
Ukośnik rurowy
Odciąg ukośnika
Odciąg ukośnika
Ramię odciągowe
Ramię odciągowe
Ramię odciągowe
Ramię odciągowe
Ramię odciągowe
Ramię odciągowe
Ramię odciągowe
Ramię odciągowe
Ramię odciągowe
Łącznik izolatora z uchwytem podwieszeniowym
SMART-LAMP
SMART-LAMP
SMART-LAMP
wahliwy żeliwny
słupa trakcyjnego
słupa trakcyjnego
słupa trakcyjnego
odciągu prętowego
odciągu prętowego
poliwęglanowa
PARKALUX
TUSCAN
SL-100
SL-150
SL-70
typu BI
typu BIII
typu BII
typu BI-A
typu BIII-A
5160-9, 0
1491
1492
1493
1495
1495
natryskiwanie cieplne
Numer
dopuszczenia
Stan na dzień: 2016-05-17
Okres/data
ważności
Podstawa
dopuszczenia
b/n
b/n
D/IEN/16/2015
D/IEN/16/2015
D/IEN/16/2015
b/n
D/IEN/05/2014
D/IEN/05/2014
D/IEN/05/2014
D/IEN/05/2014
D/IEN/05/2014
b/n
nie nadano
nie nadano
2020-08-31
2020-08-31
2020-08-31
nie nadano
2019-05-14
2019-05-14
2019-05-14
2019-05-14
2019-05-14
nie nadano
Starsze - OSW
Starsze - OSW
PW-17
PW-17
PW-17
Starsze - SIEC
PW-17
PW-17
PW-17
PW-17
PW-17
Starsze - EOR
D/IEN/03/2014
bezterminowo
PW-17
rurowego nieprzechylnego
rurowego przechylnego
lekkie
proste
łukowe
proste
łukowe
specjalne rozjazdowe
specjalne łukowe
specjalne łukowe
z otworem owalnym
liny
0421
4110
4120
4410-1
4420-1
4440
4450-1
4490
4600-1, 2
4630
4720
5120-5, 7, 8
6001
6002
6007
6201
6202
6203
6204
6205
6206
6207
6209
6212
6720-1
b/n
b/n
b/n
b/n
b/n
b/n
b/n
b/n
b/n
b/n
b/n
b/n
b/n
b/n
b/n
b/n
b/n
b/n
b/n
b/n
b/n
b/n
b/n
b/n
b/n
nie nadano
nie nadano
nie nadano
nie nadano
nie nadano
nie nadano
nie nadano
nie nadano
nie nadano
nie nadano
nie nadano
nie nadano
nie nadano
nie nadano
nie nadano
nie nadano
nie nadano
nie nadano
nie nadano
nie nadano
nie nadano
nie nadano
nie nadano
nie nadano
nie nadano
Starsze - SIEC
Starsze - SIEC
Starsze - SIEC
Starsze - SIEC
Starsze - SIEC
Starsze - SIEC
Starsze - SIEC
Starsze - SIEC
Starsze - SIEC
Starsze - SIEC
Starsze - SIEC
Starsze - SIEC
Starsze - SIEC
Starsze - SIEC
Starsze - SIEC
Starsze - SIEC
Starsze - SIEC
Starsze - SIEC
Starsze - SIEC
Starsze - SIEC
Starsze - SIEC
Starsze - SIEC
Starsze - SIEC
Starsze - SIEC
Starsze - SIEC
z izolacją rolki
do przewodu jezdnego
do przewodu jezdnego
szeregowe
rolki linowej
jednostronny
100 i 170
stożkowy do lin nośnych
Data ost.
Zmiany
mikroprocesorowy
mikroprocesorowy
mikroprocesorowy
również dla sp. HTI-BP
również dla sp. HTI-BP
również dla sp. HTI-BP
również dla sp. HTI-BP
również dla sp. HTI-BP
89 DALEKOVOD_PL
Izolator trakcyjny
ukośnika wysięgnika teownikowego
7010-2
b/n
nie nadano
Starsze - SIEC
90
91
92
93
Izolator trakcyjny
Izolator trakcyjny
Izolator trakcyjny
Izolator trakcyjny
odciągu wysięgnika
podwieszeniowy
ukośnika wysięgnika rurowego
cięgnowy z żywic organicznych
7020
7040
7100
7150-1
b/n
b/n
b/n
b/n
nie nadano
nie nadano
nie nadano
nie nadano
Starsze - SIEC
Starsze - SIEC
Starsze - SIEC
Starsze - SIEC
94 DELTA-ZIENC
EOR
do Zasilania i Sterowania Urz. EOR i
Oświetlenia Terenów Kolejowych
b/n
nie nadano
Starsze - EOR
95 DELTA-ZIENC
Odłącznikowy napęd silnikowy
b/n
nie nadano
Starsze - SIEC
160314
nie nadano
nie nadano
nie nadano
2020-05-31
2020-05-31
2020-05-31
2020-05-31
2020-05-31
Starsze - SIEC
Starsze - SIEC
Starsze - SIEC
PW-17
PW-17
PW-17
PW-17
PW-17
150701
150701
150701
150701
160420
DALEKOVOD_PL
DALEKOVOD_PL
DALEKOVOD_PL
DALEKOVOD_PL
DELTA
Przewód miedziany
Przewód stalowo-aluminiowy
Przewód stalowo-aluminiowy
Oprawa oświetleniowa
Oprawa oświetleniowa
Oprawa oświetleniowa
Oprawa oświetleniowa LED
Oprawa oświetleniowa LED
do odłączników i rozłączników sieci
trakcyjnej
wielodrutowy goły
wielodrutowy goły
wielodrutowy goły
przytorowa
przytorowa
przytorowa
przytorowa/uliczna
przytorowa/uliczna/naświetlacz
104 ELBUD-IMPEX
Izolator trakcyjny
ukośnika wysięgnika teownikowego
Firmy ZAPEL S.A.
7010-1, 2
b/n
nie nadano
Starsze - SIEC
105
106
107
108
109
Izolator trakcyjny
Izolator trakcyjny
Izolator trakcyjny
Izolator trakcyjny
Izolator trakcyjny
odciągu wysięgnika
podwieszeniowy
podwieszeniowy
ukośnika wysięgnika rurowego
liniowy
Firmy ZAPEL S.A.
Firmy ZAPEL S.A.
Firmy ZAPEL S.A.
Firmy ZAPEL S.A.
Firmy ZAPEL S.A.
7020-1
7030-1
7040-1
7100-1
7200
b/n
b/n
b/n
b/n
b/n
nie nadano
nie nadano
nie nadano
nie nadano
nie nadano
Starsze - SIEC
Starsze - SIEC
Starsze - SIEC
Starsze - SIEC
Starsze - SIEC
96
97
98
99
100
101
102
103
DRUT-PLAST
DRUT-PLAST
DRUT-PLAST
DRY-TECHNOLOGIS_LAFOGE
DRY-TECHNOLOGIS_LAFOGE
DRY-TECHNOLOGIS_LAFOGE
DRY-TECHNOLOGIS_LAFOGE
DRY-TECHNOLOGIS_LAFOGE
ELBUD-IMPEX
ELBUD-IMPEX
ELBUD-IMPEX
ELBUD-IMPEX
ELBUD-IMPEX
ONS/WST
7480
9811 - 2-10
9822
9822 - 5, 6
LUNA MAX
SOLE M
VENTO MAX
EKOROAD
EKOHALL
Strona 2 z 25
b/n
b/n
b/n
D/IEN/13/2015
D/IEN/12/2015
D/IEN/14/2015
D/IEN/10/2015
D/IEN/11/2015
Uwagi
Poza decyzją PKP PLK
DOPUSZCZANIE ELEMENTÓW PODSYSTEMÓW I TECHNOLOGII PRZEZNACZONYCH DO STOSOWANIA NA LINIACH KOLEJOWYCH ZARZĄDZANYCH PRZEZ PKP POLSKIE LINIE KOLEJOWE S.A.
Wspólna lista Dopuszczeń wydanych wg. Procedury SMS PW-17 oraz procedur wcześniejszych – branża elektroenergetyki.
Lp.
Logo podmiotu lub nazwa
skrócona *3)
110 ELBUD-IMPEX
Przewód miedziany
wielodrutowy goły
111 ELBUD-IMPEX
Przewód miedziany
wielodrutowy goły
112 ELBUD-IMPEX
Przewód miedziany
wielodrutowy goły
113 ELBUD-IMPEX
Przewód miedziany
wielodrutowy goły
114 ELBUD-IMPEX
Przewód aluminiowy
wielodrutowy goły
115 ELBUD-IMPEX
Przewód stalowo-aluminiowy
wielodrutowy goły
116 ELBUD-IMPEX
Przewód stalowy
wielodrutowy goły
117 ELBUD-IMPEX
Przewód jezdny
118 ELBUD-IMPEX
Przewód jezdny
119 ELBUD-IMPEX
Przewód jezdny
120 ELBUD-IMPEX
Przewód jezdny
121
122
123
124
Fundament odciągu prefabrykowany
Fundament betonowy prefabrykowany
Fundament betonowy prefabrykowany
Fundament betonowy prefabrykowany
ELBUD-PPE
ELBUD-PPE
ELBUD-PPE
ELBUD-PPE
Nr. w kat.
'KOLPROJEKT'
Opis produktu
Firmy Fabryka Przewodów
Energetycznych S.A.
Firmy Fabryka Przewodów
Energetycznych S.A.
Firmy Fabryka Przewodów
Energetycznych S.A.
Firmy Fabryka Przewodów
Energetycznych S.A.
Firmy Fabryka Przewodów
Energetycznych S.A.
Firmy Fabryka Przewodów
Energetycznych S.A.
Firmy Fabryka Przewodów
Energetycznych S.A.
Firmy Fabryka Przewodów
Energetycznych S.A.
Firmy Fabryka Przewodów
Energetycznych S.A.
Firmy Fabryka Przewodów
Energetycznych S.A.
Firmy Fabryka Przewodów
Energetycznych S.A.
odmiana „P"
odmiana „K"
odmiana „P"
Numer
dopuszczenia
Okres/data
ważności
Podstawa
dopuszczenia
9810
b/n
nie nadano
Starsze - SIEC
9811-1 ÷ 8
b/n
nie nadano
Starsze - SIEC
9812-6, 9
b/n
nie nadano
Starsze - SIEC
9815-9
b/n
nie nadano
Starsze - SIEC
9821
b/n
nie nadano
Starsze - SIEC
9822
b/n
nie nadano
Starsze - SIEC
9831
b/n
nie nadano
Starsze - SIEC
9871-1, 3
b/n
nie nadano
Starsze - SIEC
9871-1, 3
b/n
nie nadano
Starsze - SIEC
9872-1
b/n
nie nadano
Starsze - SIEC
9872-1, 3
b/n
nie nadano
Starsze - SIEC
1411-1
1422-1 ÷ 4
1451-1
1462-1
b/n
b/n
b/n
b/n
nie nadano
nie nadano
nie nadano
nie nadano
Starsze - SIEC
Starsze - SIEC
Starsze - SIEC
Starsze - SIEC
b/n
nie nadano
Starsze - SIEC
nie nadano
nie nadano
nie nadano
nie nadano
nie nadano
5 lat
5 lat
5 lat
5 lat
2018-08-19
bezterminowo
nie nadano
nie nadano
nie nadano
nie nadano
nie nadano
nie nadano
nie nadano
nie nadano
nie nadano
nie nadano
nie nadano
nie nadano
nie nadano
nie nadano
nie nadano
nie nadano
nie nadano
nie nadano
nie nadano
nie nadano
2020-11-30
nie nadano
nie nadano
nie nadano
nie nadano
nie nadano
Starsze - SIEC
Starsze - SIEC
Starsze - SIEC
Starsze - SIEC
Starsze - SIEC
PW-17
PW-17
PW-17
PW-17
PW-17
wg. Świadectwa UTK
Starsze - OSW
Starsze - OSW
Starsze - SIEC
Starsze - SIEC
Starsze - SIEC
Starsze - SIEC
Starsze - SIEC
Starsze - SIEC
Starsze - SIEC
Starsze - SIEC
Starsze - SIEC
Starsze - SIEC
Starsze - SIEC
Starsze - SIEC
Starsze - SIEC
Starsze - SIEC
Starsze - SIEC
Starsze - SIEC
Starsze - SIEC
Starsze - SIEC
PW-17
Starsze - SIEC
Starsze - SIEC
Starsze - SIEC
Starsze - SIEC
Starsze - SIEC
125 ELEKTROPORCELAN
Izolator trakcyjny
ukośnika wysięgnika teownikowego
7010-1, 2
126
127
128
129
130
131
132
133
134
135
136
137
138
139
140
141
142
143
144
145
146
147
148
149
150
151
152
153
154
155
156
157
158
159
160
161
162
Izolator trakcyjny
Izolator trakcyjny
Izolator trakcyjny
Izolator trakcyjny
Izolator trakcyjny
EOR
EOR
EOR
EOR
EOR
EOR System
Oprawa oświetleniowa
Oprawa oświetleniowa
Słup trakcyjny
Słup trakcyjny
Słup trakcyjny
Słup trakcyjny
Słup trakcyjny
Słup trakcyjny
Słup trakcyjny
Słup trakcyjny
Słup trakcyjny
Słup trakcyjny
Przewód miedziany
Przewód miedziany
Przewód miedziany
Przewód miedziany
Przewód jezdny
Przewód jezdny
Przewód jezdny
Przewód jezdny
Rozłącznik trakcyjny
Przewód miedziany
Przewód miedziany
Przewód miedziany
Przewód miedziany
Przewód miedziany
odciągu wysięgnika
podwieszeniowy
podwieszeniowy
ukośnika wysięgnika rurowego
liniowy
czujnik pogodowy
czujnik pogodowy
pulpit nadrzędny
skrzynia transformatorowa
szafa eor
S. ster. eor, ośw. i obw. nn.
7020-1
7030-1
7040-1
7100-1
7200-2
ELEKTROPORCELAN
ELEKTROPORCELAN
ELEKTROPORCELAN
ELEKTROPORCELAN
ELEKTROPORCELAN
ELESTER-PKP
ELESTER-PKP
ELESTER-PKP
ELESTER-PKP
ELESTER-PKP
ELESTER-PKP
ELGO
ELGO
ELMO
ELMO
ELMO
ELMO
ELMO
ELMO
ELMO
ELMO
ELMO
ELMO
ELPAR
ELPAR
ELPAR
ELPAR
ELPAR
ELPAR
ELPAR
ELPAR
ELTOM
ELTRIM
ELTRIM
ELTRIM
ELTRIM
ELTRIM
z kratą trójkątną
z kratą trójkątną
z kratą trójkątną
z kratą trójkątną
z kratą trójkątną
z kratą trójkątną
z kratą trójkątną
z kratą trójkątną
z kratą trójkątną
z kratą trójkątną
wielodrutowy goły
wielodrutowy goły
wielodrutowy goły
wielodrutowy goły
CNS-2
CNS-3
ZNOR-MN/p
STS
ZNOR-2
typu ZNOR
ACRON
ADQUEN
9,0 m
9,4 m
10,3 m
11,7 m
9,4 m
9,8 m
9,8 m
8,2 m
7,8 m
7,4 m
Firmy EKS Isodraht GmbH
Firmy EKS Isodraht GmbH
Firmy EKS Isodraht GmbH
napowietrzny
wielodrutowy goły
wielodrutowy goły
wielodrutowy goły
wielodrutowy goły
wielodrutowy goły
NRT-EL 3,6/3600
Firmy EKS Isodraht GmbH
Strona 3 z 25
Stan na dzień: 2016-05-17
1601
1602
1603
1604
1605
1607
1608
1611
1613
1614
9811 - 6-8
9811 - 1-8
9812 - 6, 9
9815 - 9
9871-1
9871-1
9872-1, 3
9872-1
9811 - 6-8
9811 - 1-3
9811 - 6-9
9812 - 6
9815 - 9
b/n
b/n
b/n
b/n
b/n
D/02/IEN2/2013
D/02/IEN2/2013
D/02/IEN2/2013
D/02/IEN2/2013
D/02/IEN2/2013
U/2005/1676
b/n
b/n
b/n
b/n
b/n
b/n
b/n
b/n
b/n
b/n
b/n
b/n
b/n
b/n
b/n
b/n
b/n
b/n
b/n
b/n
D/IEN/26/2015
b/n
b/n
b/n
b/n
b/n
Data ost.
Zmiany
160411
160425
160413
160413
160413
160413
160413
160413
160413
160413
160413
160413
Uwagi
DOPUSZCZANIE ELEMENTÓW PODSYSTEMÓW I TECHNOLOGII PRZEZNACZONYCH DO STOSOWANIA NA LINIACH KOLEJOWYCH ZARZĄDZANYCH PRZEZ PKP POLSKIE LINIE KOLEJOWE S.A.
Wspólna lista Dopuszczeń wydanych wg. Procedury SMS PW-17 oraz procedur wcześniejszych – branża elektroenergetyki.
Lp.
163
164
165
166
167
168
169
170
171
172
173
174
175
176
177
178
179
180
181
182
183
184
185
186
187
188
189
190
191
192
193
194
195
196
197
198
199
200
201
202
203
204
205
206
207
208
209
210
211
212
213
214
215
216
217
218
219
220
221
222
223
224
225
226
227
Logo podmiotu lub nazwa
skrócona *3)
ELTRIM
ELTRIM
ELTRIM
ELTRIM
ELTRON
ELTTRONICA-IT
ELTTRONICA-IT
ES-SYSTEM
ES-SYSTEM
ES-SYSTEM
ES-SYSTEM
ES-SYSTEM
ES-SYSTEM
ES-SYSTEM
ES-SYSTEM
ES-SYSTEM
ES-SYSTEM
ES-SYSTEM
ES-SYSTEM
ES-SYSTEM
ES-SYSTEM
ES-SYSTEM
ES-SYSTEM
ES-SYSTEM
ES-SYSTEM
ES-SYSTEM
ES-SYSTEM
EURO-TECH
EURO-TECH
EURO-TECH
EURO-TECH
EURO-TECH
EURO-TECH
EURO-TECH
EURO-TECH
EXBUD-SKANSKA
EXBUD-SKANSKA
EXBUD-SKANSKA
EXBUD-SKANSKA
EXBUD-SKANSKA
EXBUD-SKANSKA
EXBUD-SKANSKA
EXBUD-SKANSKA
EXBUD-SKANSKA
EXBUD-SKANSKA
EXBUD-SKANSKA
EXBUD-SKANSKA
EXBUD-SKANSKA
EXBUD-SKANSKA
EXBUD-SKANSKA
EXBUD-SKANSKA
EXBUD-SKANSKA
EXBUD-SKANSKA
EXBUD-SKANSKA
EXBUD-SKANSKA
EXBUD-SKANSKA
EXBUD-SKANSKA
EXBUD-SKANSKA
EXBUD-SKANSKA
EXBUD-SKANSKA
EXBUD-SKANSKA
EXBUD-SKANSKA
EXBUD-SKANSKA
EXBUD-SKANSKA
EXBUD-SKANSKA
Nr. w kat.
'KOLPROJEKT'
Opis produktu
Przewód stalowo-aluminiowy
Przewód stalowo-aluminiowy
Przewód jezdny
Przewód jezdny
Przewód miedziany
Oprawa oświetleniowa
Oprawa oświetleniowa
Oprawa oświetleniowa
Oprawa oświetleniowa
Oprawa oświetleniowa
Oprawa oświetleniowa
Oprawa oświetleniowa
Oprawa oświetleniowa
Oprawa oświetleniowa
Oprawa oświetleniowa
Oprawa oświetleniowa
Oprawa oświetleniowa
Oprawa oświetleniowa
Oprawa oświetleniowa
Oprawa oświetleniowa
Oprawa oświetleniowa LED
Oprawa oświetleniowa LED
Oprawa oświetleniowa LED
Oprawa oświetleniowa LED
Oprawa oświetleniowa LED
Oprawa oświetleniowa LED
Oprawa oświetleniowa LED
Fundament odciągu prefabrykowany
Fundament betonowy prefabrykowany
Fundament betonowy prefabrykowany
Fundament palowy
Fundament palowy
Fundament palowy
Fundament palowy
Fundament palowy
Odciąg prętowy słupa kotwowego
Odciąg prętowy słupa kotwowego
Odciąg prętowy słupa kotwowego
Odciąg prętowy słupa kotwowego
Słup trakcyjny
Słup trakcyjny
Połączenie międzysegmentowe
Słup trakcyjny
Słup trakcyjny
Wysięg przez dwa tory
Konstrukcje wsporcze sieci trakcyjnej
Konstrukcje wsporcze sieci trakcyjnej
Segment dźwigara
Segment dźwigara
Segment dźwigara
Segment dźwigara
Segment dźwigara
Segment dźwigara
Segment dźwigara
Segment dźwigara
Segment dźwigara
Segment dźwigara
Słup trakcyjny
Słup trakcyjny
Słup trakcyjny
Słup trakcyjny
Słup trakcyjny
Słup trakcyjny
Słup trakcyjny
Słup trakcyjny
wielodrutowy goły
wielodrutowy goły
Firmy EKS Isodraht GmbH
Firmy EKS Isodraht GmbH
wielodrutowy goły
System BOYEN
System BOYEN
System BOYEN
System BOYEN
System BOYEN
System BOYEN
System BOYEN
System BOYEN
System BOYEN
moc 20-143 W, (dł. 826 mm)
moc 143-205 W, (dł. 985 mm)
strop/sufit
strop/sufit;
9822
9822 - 5, 6
9871-1
9872-1, 3
9811-1
LUMADA
LUMADINA
BOY.S-100
BOY.S-150
BOY.S-250
BOY.S-70
COSMO
DELTA PD
DELTA PD2
GAMMA PG
MEGA PM
ESPERIA
FLUOPIPE
LF4
LF8
RACER MINI
RACER
COSMO LED
GAMMA LED
BOY LED
LEDPIPE
PD LED
odmiana „P"
odmiana „P"
słupa trakcyjnego
słupa trakcyjnego
słupa trakcyjnego
odciągu prętowego
odciągu prętowego
z kratą trójkątną
z kratą trójkątną
słupów
dwuteownikowy
kratowy
9,8 m
8,2 m
środkowy
boczny
boczny
boczny
boczny
boczny
boczny
boczny
boczny
boczny
przelotowo-krańcowy bramki
krańcowy bramki
przelotowo-krańcowy bramki
krańcowy bramki
przelotowo-krańcowy bramki
krańcowy bramki
przelotowo-krańcowy bramki
krańcowy bramki
11,0 m
11,7 m
10,8 m
9,9 m
7,6 m
7,1 m
6,2 m
5,3 m
4,8 m
3,9 m
10,7 m
10,5 m
11,5 m
11,3 m
8,7 m
8,5 m
11,9 m
11,7 m
8,2 m
10,5 m dla wysięgu przez 2 t.
Strona 4 z 25
1411-1
1422-1 ÷ 4
1462-1
1491
1492
1493
1495
1497
1540-1 ÷ 3
1550-1 ÷ 3
1550-11 ÷ 13
1560-1 ÷ 3
1608-1 ÷ 4
1611-1÷5
1660-1, 3, 5
1665-1 ÷ 4
1901-1, 2
1910-1, 2
1911-1
1911-2
3013-1 ÷ 5
3017-1 ÷ 5
3018-1 ÷ 5
3019-1 ÷ 5
3020-1 ÷ 4
3021-1 ÷ 4
3022-1 ÷ 4
3023-1 ÷ 3
3024-1 ÷ 3
3025-1 ÷ 3
3031-1, 2
3032-1 ÷ 3
3033-1, 2
3034-1 ÷ 3
3035-1, 2
3036-1 ÷ 3
3037-1, 2
3038-1 ÷ 3
Numer
dopuszczenia
b/n
b/n
b/n
b/n
b/n
b/n
b/n
b/n
b/n
b/n
b/n
b/n
b/n
b/n
b/n
b/n
D 10/IEN/10-/2013
D 10/IEN/10-/2013
D 10/IEN/10-/2013
D 10/IEN/10-/2013
D/IEN/25/2015
D/IEN/25/2015
D 10/IEN/10-/2013
D 10/IEN/10-/2013
D 10/IEN/10-/2013
D 10/IEN/10-/2013
D 10/IEN/10-/2013
b/n
b/n
b/n
b/n
b/n
b/n
b/n
b/n
b/n
b/n
b/n
b/n
b/n
b/n
b/n
b/n
b/n
b/n
b/n
b/n
b/n
b/n
b/n
b/n
b/n
b/n
b/n
b/n
b/n
b/n
b/n
b/n
b/n
b/n
b/n
b/n
b/n
b/n
Stan na dzień: 2016-05-17
Okres/data
ważności
Podstawa
dopuszczenia
nie nadano
nie nadano
nie nadano
nie nadano
nie nadano
nie nadano
nie nadano
nie nadano
nie nadano
nie nadano
nie nadano
nie nadano
nie nadano
nie nadano
nie nadano
nie nadano
2018-10-17
2018-10-17
2018-10-17
2018-10-17
2020-12-31
2020-12-31
2018-10-17
2018-10-17
2018-10-17
2018-10-17
2018-10-17
nie nadano
nie nadano
nie nadano
nie nadano
nie nadano
nie nadano
nie nadano
nie nadano
nie nadano
nie nadano
nie nadano
nie nadano
nie nadano
nie nadano
nie nadano
nie nadano
nie nadano
nie nadano
nie nadano
nie nadano
nie nadano
nie nadano
nie nadano
nie nadano
nie nadano
nie nadano
nie nadano
nie nadano
nie nadano
nie nadano
nie nadano
nie nadano
nie nadano
nie nadano
nie nadano
nie nadano
nie nadano
nie nadano
Starsze - SIEC
Starsze - SIEC
Starsze - SIEC
Starsze - SIEC
Starsze - SIEC
Starsze - OSW
Starsze - OSW
Starsze - OSW
Starsze - OSW
Starsze - OSW
Starsze - OSW
Starsze - OSW
Starsze - OSW
Starsze - OSW
Starsze - OSW
Starsze - OSW
PW-17
PW-17
PW-17
PW-17
PW-17
PW-17
PW-17
PW-17
PW-17
PW-17
PW-17
Starsze - SIEC
Starsze - SIEC
Starsze - SIEC
Starsze - SIEC
Starsze - SIEC
Starsze - SIEC
Starsze - SIEC
Starsze - SIEC
Starsze - SIEC
Starsze - SIEC
Starsze - SIEC
Starsze - SIEC
Starsze - SIEC
Starsze - SIEC
Starsze - SIEC
Starsze - SIEC
Starsze - SIEC
Starsze - SIEC
Starsze - SIEC
Starsze - SIEC
Starsze - SIEC
Starsze - SIEC
Starsze - SIEC
Starsze - SIEC
Starsze - SIEC
Starsze - SIEC
Starsze - SIEC
Starsze - SIEC
Starsze - SIEC
Starsze - SIEC
Starsze - SIEC
Starsze - SIEC
Starsze - SIEC
Starsze - SIEC
Starsze - SIEC
Starsze - SIEC
Starsze - SIEC
Starsze - SIEC
Data ost.
Zmiany
160413
160413
160413
160413
160413
160414
160414
160414
160414
160414
160414
160414
160414
160414
160414
160414
160414
160414
160414
160414
160414
160414
160414
Uwagi
DOPUSZCZANIE ELEMENTÓW PODSYSTEMÓW I TECHNOLOGII PRZEZNACZONYCH DO STOSOWANIA NA LINIACH KOLEJOWYCH ZARZĄDZANYCH PRZEZ PKP POLSKIE LINIE KOLEJOWE S.A.
Wspólna lista Dopuszczeń wydanych wg. Procedury SMS PW-17 oraz procedur wcześniejszych – branża elektroenergetyki.
Lp.
228
229
230
231
232
233
234
235
236
237
238
239
240
241
242
243
244
245
246
247
248
249
250
251
252
253
254
255
256
257
258
259
260
261
262
263
264
265
266
267
268
269
270
271
272
273
274
275
276
277
278
279
280
281
282
283
284
285
286
287
288
289
290
291
292
Logo podmiotu lub nazwa
skrócona *3)
EXBUD-SKANSKA
EXBUD-SKANSKA
EXBUD-SKANSKA
EXBUD-SKANSKA
FABRYKA-PRZEWODOW-EN
F-P-EN
F-P-EN
F-P-EN
F-P-EN
F-P-EN
F-P-EN
F-P-EN
F-P-EN
F-P-EN
F-P-EN
FUK
FUK
FUK
FUK
FUK
FUK
FUK
FUK
FUK
FUK
FUK
FUK
FUK
FUK
FUK
FUK
FUK
FUK
FUK
FUK
FUK
FUK
FUK
FUK
FUK
FUK
FUK
FUK
FUK
FUK
FUK
FUK
FUK
FUK
FUK
FUK
FUK
FUK
FUK
FUK
FUK
FUK
FUK
FUK
FUK
FUK
FUK
FUK
FUK
FUK
Nr. w kat.
'KOLPROJEKT'
Opis produktu
Okucia
Okucia
Okucia
Połączenia segmentu
Przewód stalowy
Przewód miedziany
Przewód miedziany
Przewód miedziany
Przewód miedziany
Przewód aluminiowy
Przewód stalowo-aluminiowy
Przewód jezdny
Przewód jezdny
Przewód jezdny
Przewód jezdny
Odciąg prętowy słupa kotwowego
Odciąg prętowy słupa kotwowego
Odciąg prętowy słupa kotwowego
Odciąg prętowy słupa kotwowego
Odciąg prętowy słupa kotwowego
Odciąg prętowy słupa kotwowego
Odciąg prętowy słupa kotwowego
Odciąg prętowy słupa kotwowego
Odciąg prętowy słupa kotwowego
Słup trakcyjny
Słup trakcyjny
Słup trakcyjny
Słup trakcyjny
Słup trakcyjny
Słup trakcyjny
Słup trakcyjny
Słup trakcyjny
Słup trakcyjny
Słup trakcyjny
Słup trakcyjny
Słup trakcyjny
Słup trakcyjny
Słup trakcyjny
Połączenie międzysegmentowe
Słup trakcyjny
Słup trakcyjny
Słup trakcyjny
Słup trakcyjny
Słup trakcyjny
Słup trakcyjny
Słup trakcyjny
Segment słupa
Słup trakcyjny
Słup trakcyjny
Wysięg przez dwa tory
Połączenie międzysegmentowe
Słup trakcyjny
Segment dźwigara
Segment dźwigara
Segment dźwigara
Segment dźwigara
Segment dźwigara
Segment dźwigara
Segment dźwigara
Segment dźwigara
Segment dźwigara
Segment dźwigara
Słup trakcyjny
Słup trakcyjny
Słup trakcyjny
dźwigara bramki
dźwigara bramki
dźwigara bramki
dźwigara bramki
wielodrutowy goły
wielodrutowy goły
wielodrutowy goły
wielodrutowy goły
wielodrutowy goły
wielodrutowy goły
wielodrutowy goły
z kratą trójkątną
z kratą trójkątną
z kratą trójkątną
z kratą trójkątną
z kratą trójkątną
z kratą trójkątną
z kratą trójkątną
z kratą trójkątną
z kratą trójkątną
z kratą trójkątną
z kratą trójkątną
z kratą trójkątną
z kratą trójkątną
z kratą trójkątną
słupów
dwuteownikowy
dwuteownikowy
dwuteownikowy
dwuteownikowy
dwuteownikowy
z kratą trójkątną
z kratą trójkątną
indywidualnego i bramki
kratowy
do wysięgu przez dwa tory
słupów kratowych przestrz.
kratowy przestrz. dla ter. górn.
środkowy
boczny
boczny
boczny
boczny
boczny
boczny
boczny
boczny
boczny
przelotowo-krańcowy bramki
krańcowy bramki
przelotowo-krańcowy bramki
9,0 m
9,4 m
10,3 m
11,7 m
9,4 m
9,8 m
9,8 m
8,2 m
8,2 m
8,2 m
7,8 m
7,8 m
7,4 m
9,8 m, z pręta okr.
8,2 m
8,2 m
7,8 m
7,4 m
7,4 m
9,4 m na tereny górnicze
11,8 m na tereny górnicze
1,8 m na tereny górnicze
10,5 m dla wysięgu przez 2 t.
11,7 m
11,0 m
11,7 m
10,8 m
9,9 m
7,6 m
7,1 m
6,2 m
5,3 m
4,8 m
3,9 m
10,7 m
10,5 m
11,5 m
Strona 5 z 25
3050-1 ÷ 4
3051-1 ÷ 4
3052-1 ÷ 4
3060-1 ÷ 6
9831
9810
9811-1 ÷ 8
9812-6, 9
9815-9
9821
9822
9871-1, 3
9871-1, 3
9872-1
9872-1, 3
1540-11 ÷ 13
1540-2, 3
1550-1 ÷ 3
1550-11 ÷ 13
1560-1 ÷ 3
1560-11 ÷ 13
1570-2
1580-2
1590-1
1601-1 ÷ 3
1602-1 ÷ 4
1603-1 ÷ 4
1604-2 ÷ 4
1605-1 ÷ 4
1607-1 ÷ 4
1608-1 ÷ 4
1611-1÷5
1611-11 ÷ 15
1611-16÷17
1613-1÷5
1613-11÷17
1614-1 ÷ 3
1617-5, 7
1660-1, 3, 5
1665-1 ÷ 4
1665-11 ÷ 14
1666-11 ÷ 14
1667-1 ÷ 3
1667-11 ÷ 13
1682-1 ÷ 4
1684-1 ÷ 4
1689-1 ÷ 4
1901-1 ÷ 3
1902-1, 2
1910-1, 2
1960-1
1981-1 ÷ 2
3013-1 ÷ 5
3017-1 ÷ 5
3018-1 ÷ 5
3019-1 ÷ 5
3020-1 ÷ 4
3021-1 ÷ 4
3022-1 ÷ 3
3023-1 ÷ 3
3024-1 ÷ 3
3025-1 ÷ 3
3031-1, 2
3032-1 ÷ 3
3033-1, 2
Numer
dopuszczenia
b/n
b/n
b/n
b/n
b/n
b/n
b/n
b/n
b/n
b/n
b/n
b/n
b/n
b/n
b/n
b/n
b/n
b/n
b/n
b/n
b/n
b/n
b/n
b/n
b/n
b/n
b/n
b/n
b/n
b/n
b/n
b/n
b/n
D/IEN/21/2015
b/n
D/IEN/21/2015
b/n
b/n
b/n
b/n
b/n
b/n
b/n
b/n
b/n
b/n
b/n
b/n
b/n
b/n
b/n
b/n
b/n
b/n
b/n
b/n
b/n
b/n
b/n
b/n
b/n
b/n
b/n
b/n
b/n
Stan na dzień: 2016-05-17
Okres/data
ważności
Podstawa
dopuszczenia
Data ost.
Zmiany
nie nadano
nie nadano
nie nadano
nie nadano
nie nadano
nie nadano
nie nadano
nie nadano
nie nadano
nie nadano
nie nadano
nie nadano
nie nadano
nie nadano
nie nadano
nie nadano
nie nadano
nie nadano
nie nadano
nie nadano
nie nadano
nie nadano
nie nadano
nie nadano
nie nadano
nie nadano
nie nadano
nie nadano
nie nadano
nie nadano
nie nadano
nie nadano
nie nadano
2020-09-30
nie nadano
2020-09-30
nie nadano
nie nadano
nie nadano
nie nadano
nie nadano
nie nadano
nie nadano
nie nadano
nie nadano
nie nadano
nie nadano
nie nadano
nie nadano
nie nadano
nie nadano
nie nadano
nie nadano
nie nadano
nie nadano
nie nadano
nie nadano
nie nadano
nie nadano
nie nadano
nie nadano
nie nadano
nie nadano
nie nadano
nie nadano
Starsze - SIEC
Starsze - SIEC
Starsze - SIEC
Starsze - SIEC
Starsze - SIEC
Starsze - SIEC
Starsze - SIEC
Starsze - SIEC
Starsze - SIEC
Starsze - SIEC
Starsze - SIEC
Starsze - SIEC
Starsze - SIEC
Starsze - SIEC
Starsze - SIEC
Starsze - SIEC
Starsze - SIEC
Starsze - SIEC
Starsze - SIEC
Starsze - SIEC
Starsze - SIEC
Starsze - SIEC
Starsze - SIEC
Starsze - SIEC
Starsze - SIEC
Starsze - SIEC
Starsze - SIEC
Starsze - SIEC
Starsze - SIEC
Starsze - SIEC
Starsze - SIEC
Starsze - SIEC
Starsze - SIEC
PW-17
Starsze - SIEC
PW-17
Starsze - SIEC
Starsze - SIEC
Starsze - SIEC
Starsze - SIEC
Starsze - SIEC
Starsze - SIEC
Starsze - SIEC
Starsze - SIEC
Starsze - SIEC
Starsze - SIEC
Starsze - SIEC
Starsze - SIEC
Starsze - SIEC
Starsze - SIEC
Starsze - SIEC
Starsze - SIEC
Starsze - SIEC
Starsze - SIEC
Starsze - SIEC
Starsze - SIEC
Starsze - SIEC
Starsze - SIEC
Starsze - SIEC
Starsze - SIEC
Starsze - SIEC
Starsze - SIEC
Starsze - SIEC
Starsze - SIEC
Starsze - SIEC
160413
160415
160415
160413
160411
160413
160413
160413
160413
160413
160413
160413
160413
160413
160413
160413
160413
160413
160413
160413
160413
160413
160413
160413
160413
160413
160413
160413
160415
160413
160413
160413
160414
160414
160414
160414
160414
160414
160414
160414
160414
160414
160414
160414
160414
Uwagi
Brak pozycji w katalogu
DOPUSZCZANIE ELEMENTÓW PODSYSTEMÓW I TECHNOLOGII PRZEZNACZONYCH DO STOSOWANIA NA LINIACH KOLEJOWYCH ZARZĄDZANYCH PRZEZ PKP POLSKIE LINIE KOLEJOWE S.A.
Wspólna lista Dopuszczeń wydanych wg. Procedury SMS PW-17 oraz procedur wcześniejszych – branża elektroenergetyki.
Lp.
293
294
295
296
297
298
299
300
301
302
303
304
305
306
307
308
309
310
311
312
313
314
315
316
317
318
319
320
321
322
323
324
325
326
327
328
329
330
331
332
333
334
335
336
337
338
339
340
341
342
343
344
345
346
347
348
349
350
351
352
353
354
355
356
357
Logo podmiotu lub nazwa
skrócona *3)
FUK
FUK
FUK
FUK
FUK
FUK
FUK
FUK
FUK
FUK
FUK
FUK
FUK
FUK
FUK
FUK
FUK
FUK
FUK
FUK
FUK
FUK
FUK
FUK
FUK
FUK
FUK
FUK
FUK
FUK
FUK
FUK
FUK
FUK
FUK
FUK
FUK
FUK
FUK
FUK
FUK
FUK
FUK
FUK
FUK
FUK
FUK
FUK
FUK
FUK
FUK
FUK
FUK
FUK
FUK
FUK
FUK
FUK
FUK
FUK
FUK
FUK
FUK
FUK
FUK
Nr. w kat.
'KOLPROJEKT'
Opis produktu
Słup trakcyjny
Słup trakcyjny
Słup trakcyjny
Słup trakcyjny
Słup trakcyjny
Słup trakcyjny
Słup trakcyjny
Słup trakcyjny
Słup trakcyjny
Słup trakcyjny
Słup trakcyjny
Słup trakcyjny
Słup trakcyjny
Słup trakcyjny
Słup trakcyjny
Słup trakcyjny
Słup trakcyjny
Słup trakcyjny
Uchwyt przegubowy
Uchwyt przegubowy wysięgnikowy
Uchwyt przegubowy
Uchwyt podwieszeniowy
Uchwyt podwieszeniowy
Uchwyt przelotowy sztywny
Wyrównywacz przewodów jezdnych
Śruba rzymska
Przegubowy uchwyt
Uchwyt rolek linowych
Przegubowy uchwyt
Rolka linowa
Cięgła linowe urządzenia naprężającego
Uchwyt mocujący
Uchwyt do kotwień
Zabezpieczenie urządzenia naprężającego
Wsporniki ukośników
Uchwyt izolatora odciągu wysięgu
Uchwyt słupowy izolatora
Wsporniki ukośników
Uchwyt izolatora odciągu wysięgu
Uchwyt słupowy izolatora
Wsporniki ukośników
Łącznik podwójny
Łącznik skręcony
Łącznik skręcony
Uchwyt rolek linowych
Uchwyt krańcowy
Uchwyt krańcowy
Uchwyt przelotowy
Uchwyt odciągowy
Złączka
Uchwyt odległościowy
Uchwyt równoległy
Uchwyt równoległy
Zacisk
Zacisk
Uchwyt
Uchwyt równoległy
Uchwyt równoległy
Uchwyt równoległy
Zacisk
Zacisk
Zacisk
Łącznik szynowy
Łącznik szynowy
Łącznik szynowy
krańcowy bramki
przelotowo-krańcowy bramki
krańcowy bramki
przelotowo-krańcowy bramki
krańcowy bramki
przelotowo-krańcowy bramki
przelotowo-krańcowy bramki
przelotowo-krańcowy bramki
przelotowo-krańcowy bramki
krańcowy bramki
krańcowy bramki
krańcowy bramki
krańcowy bramki
krańcowy bramki
krańcowy bramki
krańcowy bramki
krańcowy bramki
krańcowy bramki
do przewodu jezdnego
do przewodu jezdnego
przewodu jezdnego
do lin nośnych
do lin nośnych
do lin nośnych
11,3 m
8,7 m
8,5 m
11,9 m
11,7 m
8,2 m, na jeden fundament
9,0 m, na jeden fundament
9,5 m, na jeden fundament
8,2 m, na jeden fundament
9,0 m, na jeden fundament
9,5 m, na jeden fundament
8,2 m, na dwa fundamenty
9,0 m, na dwa fundamenty
9,4 m, na dwa fundamenty
8,2 m, na dwa fundamenty
9,0 m, na dwa fundamenty
9,5 m, na dwa fundamenty
11,7 m górniczy
do kotwienia przewodów
rolki linowej
prowadnice na słupach bramek
na słupach przestrzennych
jednostronne
jednostronny
jednostronny
dwustronne
dwustronny
dwustronny
z uchwytami
izolatora odciągu wysięgu
170
450
wzdłużny
klinowy do przewodów jezdnych
liny nośnej
wahliwy żeliwny
przelotowy śrubowo -stożkowy
stożkowa liny nośnej
do 4 przew. Jezdnych
potrójny
rozjazdowy
równoległy lina, przewód jezdny
równoległy do dwóch lin
liny uelastyczniającej
do dwóch lin
do dwóch lin
do dwóch lin
mostkowy
uszyniający do lin
szynowy
podłużny
z linki Cu 95 bez izolacji
z linki Cu 95 w izolacji
Cu i Fe KUCA
Al. 120 dł. 300 mm
Strona 6 z 25
3034-1 ÷ 3
3035-1, 2
3036-1 ÷ 3
3037-1, 2
3038-1 ÷ 3
3111-4
3112-4
3113-4
3115-1 ÷ 3
3116-1 ÷ 3
3117-1 ÷ 3
3121-4, 5
3122-4, 5
3123-4, 5
3125-3
3126-3
3127-3
3833-3 ÷ 5
4110-1
4120-1 ÷ 4
4130-1
4140-1 ÷ 2
4150-1
4160-1
4410-1
4420-1
4430-1
4440-1 ÷ 7
4450-1
4460-1 ÷ 3
4490-1 ÷ 3
4560-1
4570-1
4600-1, 2
4610-1 ÷ 8, 10
4620-1 ÷ 8, 10
4630-1 ÷ 8, 10
4640-3, 5, 7, 8, 10
4650-3, 5, 7, 8, 10
4660-3, 5, 7, 8, 10
4670-3, 5, 7, 8, 10
4720-1, 2
4730-1
4740-1
5040-1 ÷ 3
5110-1 ÷ 4
5120-5 ÷ 7
5160-5 ÷ 7, 9
5180-6, 7, 0
5250-5 ÷ 7
5350-1
5360-1
5380-1
5400-5 ÷ 7
5500-5 ÷ 7
5520-6, 7
5550-5, 6
5560-5
5570-5, 6, 8, 9
5590-1 ÷ 3
5670-1 ÷ 3
5680-1, 2
5810-1
5820-1, 2
5830-1, 2
Stan na dzień: 2016-05-17
Numer
dopuszczenia
Okres/data
ważności
Podstawa
dopuszczenia
Data ost.
Zmiany
b/n
b/n
b/n
b/n
b/n
b/n
b/n
b/n
b/n
b/n
b/n
b/n
b/n
b/n
b/n
b/n
b/n
b/n
b/n
b/n
b/n
b/n
b/n
b/n
b/n
b/n
b/n
b/n
b/n
b/n
b/n
b/n
b/n
b/n
b/n
b/n
b/n
b/n
b/n
b/n
b/n
b/n
b/n
b/n
b/n
b/n
b/n
b/n
b/n
b/n
b/n
b/n
b/n
b/n
b/n
b/n
b/n
b/n
b/n
b/n
b/n
b/n
b/n
b/n
b/n
nie nadano
nie nadano
nie nadano
nie nadano
nie nadano
nie nadano
nie nadano
nie nadano
nie nadano
nie nadano
nie nadano
nie nadano
nie nadano
nie nadano
nie nadano
nie nadano
nie nadano
nie nadano
nie nadano
nie nadano
nie nadano
nie nadano
nie nadano
nie nadano
nie nadano
nie nadano
nie nadano
nie nadano
nie nadano
nie nadano
nie nadano
nie nadano
nie nadano
nie nadano
nie nadano
nie nadano
nie nadano
nie nadano
nie nadano
nie nadano
nie nadano
nie nadano
nie nadano
nie nadano
nie nadano
nie nadano
nie nadano
nie nadano
nie nadano
nie nadano
nie nadano
nie nadano
nie nadano
nie nadano
nie nadano
nie nadano
nie nadano
nie nadano
nie nadano
nie nadano
nie nadano
nie nadano
nie nadano
nie nadano
nie nadano
Starsze - SIEC
Starsze - SIEC
Starsze - SIEC
Starsze - SIEC
Starsze - SIEC
Starsze - SIEC
Starsze - SIEC
Starsze - SIEC
Starsze - SIEC
Starsze - SIEC
Starsze - SIEC
Starsze - SIEC
Starsze - SIEC
Starsze - SIEC
Starsze - SIEC
Starsze - SIEC
Starsze - SIEC
Starsze - SIEC
Starsze - SIEC
Starsze - SIEC
Starsze - SIEC
Starsze - SIEC
Starsze - SIEC
Starsze - SIEC
Starsze - SIEC
Starsze - SIEC
Starsze - SIEC
Starsze - SIEC
Starsze - SIEC
Starsze - SIEC
Starsze - SIEC
Starsze - SIEC
Starsze - SIEC
Starsze - SIEC
Starsze - SIEC
Starsze - SIEC
Starsze - SIEC
Starsze - SIEC
Starsze - SIEC
Starsze - SIEC
Starsze - SIEC
Starsze - SIEC
Starsze - SIEC
Starsze - SIEC
Starsze - SIEC
Starsze - SIEC
Starsze - SIEC
Starsze - SIEC
Starsze - SIEC
Starsze - SIEC
Starsze - SIEC
Starsze - SIEC
Starsze - SIEC
Starsze - SIEC
Starsze - SIEC
Starsze - SIEC
Starsze - SIEC
Starsze - SIEC
Starsze - SIEC
Starsze - SIEC
Starsze - SIEC
Starsze - SIEC
Starsze - SIEC
Starsze - SIEC
Starsze - SIEC
160414
160414
160414
160414
160414
160415
Uwagi
DOPUSZCZANIE ELEMENTÓW PODSYSTEMÓW I TECHNOLOGII PRZEZNACZONYCH DO STOSOWANIA NA LINIACH KOLEJOWYCH ZARZĄDZANYCH PRZEZ PKP POLSKIE LINIE KOLEJOWE S.A.
Wspólna lista Dopuszczeń wydanych wg. Procedury SMS PW-17 oraz procedur wcześniejszych – branża elektroenergetyki.
Lp.
358
359
360
361
362
363
364
365
366
367
368
369
370
371
372
373
374
375
376
377
378
379
380
381
382
383
384
385
386
Logo podmiotu lub nazwa
skrócona *3)
FUK
FUK
FUK
FUK
FUK
FUK
FUK
FUK
FUK
FUK
FUK
FUK
FUK
FUK
FUK
FUK
FUK
FUK
FUK
FUK
FUK
FUK
FUK
FUK
FUK
FUK
FUK
FUK
FUK
Nr. w kat.
'KOLPROJEKT'
Opis produktu
Podstawa
dopuszczenia
Data ost.
Zmiany
3 kV
b/n
b/n
b/n
b/n
b/n
b/n
b/n
b/n
b/n
b/n
b/n
b/n
b/n
b/n
b/n
b/n
b/n
b/n
b/n
D/IEN/19/2015
b/n
D/IEN/31/2015
D/IEN/31/2015
b/n
b/n
b/n
b/n
b/n
D/IEN/23/2015
nie nadano
nie nadano
nie nadano
nie nadano
nie nadano
nie nadano
nie nadano
nie nadano
nie nadano
nie nadano
nie nadano
nie nadano
nie nadano
nie nadano
nie nadano
nie nadano
nie nadano
nie nadano
nie nadano
2020-08-31
nie nadano
2020-12-31
2020-12-31
nie nadano
nie nadano
nie nadano
nie nadano
nie nadano
2020-10-31
Starsze - SIEC
Starsze - SIEC
Starsze - SIEC
Starsze - SIEC
Starsze - SIEC
Starsze - SIEC
Starsze - SIEC
Starsze - SIEC
Starsze - SIEC
Starsze - SIEC
Starsze - SIEC
Starsze - SIEC
Starsze - SIEC
Starsze - SIEC
Starsze - SIEC
Starsze - SIEC
Starsze - SIEC
Starsze - SIEC
Starsze - SIEC
PW-17
Starsze - SIEC
PW-17
PW-17
Starsze - SIEC
Starsze - SIEC
Starsze - SIEC
Starsze - SIEC
Starsze - SIEC
PW-17
3 kV z kompensatorem skrętu
7160-1
D/IEN/18/2015
2020-08-31
PW-17
150807
nie nadano
nie nadano
nie nadano
nie nadano
nie nadano
nie nadano
Starsze - SIEC
Starsze - SIEC
Starsze - SIEC
Starsze - SIEC
Starsze - SIEC
Starsze - SIEC
150807
prętem Fe w izolacji
linką Cu50 w izolacji
podłużny, z tulejką zaciskową
z linki Cu95 z tulejką zaciskową
z linki Cu95
do połączeń szynowych
w koszulce termokurczliwej
cięgnowy z żywic organicznych
cięgnowy, do dużych naciągów
ze śrubą
387 FUK
Izolator trakcyjny kompozytowy
cięgnowy
388
389
390
391
392
393
Odgromnik rożkowy
Iskiernik niskonapięciowy
Odłącznik
Odłącznik
Skrzynka napędu ręcznego odłącznika
Izolator sekcyjny
FUK
FUK
FUK
FUK
FUK
FUK
Okres/data
ważności
5840-1, 2
5850-1, 2
5910-1, 2
5920-1, 2
5930-1, 2
6001-1 ÷ 14
6002-1 ÷ 11
6007-1 ÷ 14
6008-1 ÷ 14
6201-1 ÷ 4
6202-1
6203-1
6204-1, 2
6205-1, 2
6206-1, 2
6207-1 + 3
6208-1 + 3
6209-1 + 3
6212-1
6320-1
6321-1
6322-11
6323-11
6511-1
6720-1
6850-1
6930-1
7150-3
7151-1*
Połączenia uszyniające
Połączenia uszyniające
Łącznik szynowy
Łącznik szynowy
Łącznik szynowy
Ukośnik rurowy
Odciąg ukośnika
Odciąg ukośnika
Odciąg ukośnika
Ramię odciągowe
Ramię odciągowe
Ramię odciągowe
Ramię odciągowe
Ramię odciągowe
Ramię odciągowe
Ramię odciągowe
Ramię odciągowe
Ramię odciągowe
Ramię odciągowe
Kompensator skrętu
Ciężar naprężający
Ciężar naprężający
Ciężar naprężający
Łącznik pojedynczy
Łącznik izolatora z uchwytem podwieszeniowym
Kołek gwintowany
Łącznik uziomu
Izolator trakcyjny
Izolator trakcyjny kompozytowy
z tulejką zacisk. bez izolacji
z tulejką zacisk. w izolacji
rurowego nieprzechylnego
rurowego przechylnego
rurowego przechylnego
(stal OH18N9E) KUCA
proste
łukowe
proste
łukowe
specjalne rozjazdowe
specjalne łukowe
specjalne rozjazdowe
specjalne łukowe
z otworem owalnym
żeliwny
żeliwno-betonowy
żeliwno-betonowy
płaski
Numer
dopuszczenia
Stan na dzień: 2016-05-17
400x57
306x100
7310-1 ÷ 3, 4
7350-1
7420-1
7430-1
7460-1
7500-1, 2
ze stykiem uszyniającym
b/n
b/n
b/n
b/n
b/n
b/n
150807
zamiennik
160404
PW-17 nie stosuje się.
nr. kat. proponowany
Górna sztywna sieć trakcyjna
CR2
D/IEN/08/2014
2019-07-17
PW-17
395 Furrer + Frey AG
Górna sztywna sieć trakcyjna
CR3HS
D/IEN/08/2014
2019-07-17
PW-17
396
397
398
399
Oprawa oświetleniowa LED
Oprawa oświetleniowa LED
Oprawa oświetleniowa LED
Oprawa oświetleniowa LED
strop/sufit
strop/sufit
strop/sufit
strop/sufit
AQUARIUS AQ-13
BERENICA B-114
LEO L-66
PEGAZ P-120
D/IEN/09/2014
D/IEN/09/2014
D/IEN/09/2014
D/IEN/09/2014
2019-06-30
2019-06-30
2019-06-30
2019-06-30
PW-17
PW-17
PW-17
PW-17
400 HTI-BP_BS-SYSTEM
Fundament palowy
- typy różne
D/IEN/05/2014
2019-05-14
PW-17
401 INSTYTUT-EZD
Izolator trakcyjny
cięgnowy z żywic organicznych
b/n
nie nadano
Starsze - SIEC
402 INTERFREZ
Sprężyna dociskowa grzejnika eor
do rozjazdów z szynami 49E1
ZNOR49
b/n
nie nadano
Starsze - EOR
160304
403 INTERFREZ
Sprężyna dociskowa grzejnika eor
do rozjazdów z szynami 60E1
ZNOR60
b/n
nie nadano
Starsze - EOR
160304
404 INTERFREZ
uchwyt dociskowy grzejnika eor
49E1-KL-IF
b/n
nie nadano
Starsze - EOR
160304
405 INTERFREZ
uchwyt dociskowy grzejnika eor
49E1-SP-IF
b/n
nie nadano
Starsze - EOR
160304
406 INTERFREZ
uchwyt dociskowy grzejnika eor
60E1-KL-IF
b/n
nie nadano
Starsze - EOR
160304
407 INTERFREZ
uchwyt dociskowy grzejnika eor
60E1-SP-IF
b/n
nie nadano
Starsze - EOR
160304
408 INTERFREZ-MIGAŁA
409 INTERFREZ-MIGAŁA
Sprężyna dociskowa grzejnika eor
Sprężyna dociskowa grzejnika eor
ZNOR49
ZNOR60
b/n
b/n
nie nadano
nie nadano
Starsze - EOR
Starsze - EOR
160304
160304
410 INTERFREZ-MIGAŁA
uchwyt dociskowy grzejnika eor
49E1-KL-IF
b/n
nie nadano
Starsze - EOR
160304
do rozjazdów z szynami 49E1
klasyczny
do rozjazdów z szynami 49E1
sprężysty
do rozjazdów z szynami 60E1
klasyczny
do rozjazdów z szynami 60E1
sprężysty
do rozjazdów z szynami 49E1
do rozjazdów z szynami 60E1
do rozjazdów z szynami 49E1
klasyczny
7150
Strona 7 z 25
zamiennik
*1)
*2)
*1)
*2)
394 Furrer + Frey AG
HSK-DATA
HSK-DATA
HSK-DATA
HSK-DATA
Uwagi
160303
Produkty f-my BS-SYSTEM
wg. dopuszczenia nr.:
D/IEN/05/2014
uznanie Dopuszczenia
po: Interfrez Migała sp.j.
uznanie Dopuszczenia
po: Interfrez Migała sp.j.
uznanie Dopuszczenia
po: Interfrez Migała sp.j.
uznanie Dopuszczenia
po: Interfrez Migała sp.j.
uznanie Dopuszczenia
po: Interfrez Migała sp.j.
uznanie Dopuszczenia
po: Interfrez Migała sp.j.
DOPUSZCZANIE ELEMENTÓW PODSYSTEMÓW I TECHNOLOGII PRZEZNACZONYCH DO STOSOWANIA NA LINIACH KOLEJOWYCH ZARZĄDZANYCH PRZEZ PKP POLSKIE LINIE KOLEJOWE S.A.
Wspólna lista Dopuszczeń wydanych wg. Procedury SMS PW-17 oraz procedur wcześniejszych – branża elektroenergetyki.
Lp.
Logo podmiotu lub nazwa
skrócona *3)
uchwyt dociskowy grzejnika eor
412 INTERFREZ-MIGAŁA
uchwyt dociskowy grzejnika eor
413 INTERFREZ-MIGAŁA
uchwyt dociskowy grzejnika eor
414
415
416
417
418
419
420
Przewód miedziany
Przewód miedziany
Przewód jezdny
Przewód jezdny
Przewód miedziany
Przewód jezdny
Przewód jezdny
421 INVOLT_TELE-FONIKA
Przewód jezdny
422 INVOLT_TELE-FONIKA
Przewód jezdny
423 ISOSYSTEM_SCHOMBURG
424
425
426
427
428
429
430
431
432
433
434
435
436
437
438
439
440
441
442
443
444
445
446
447
448
449
450
451
452
453
454
455
456
457
458
459
460
461
462
463
464
465
466
467
468
469
JEDLICZE
JEDLICZE
JEDLICZE
KOLEN
KOLEN
KOLEN
KOLEN
KOLEN
KOLEN
KOLEN
KOLEN
KOLEN
KOLEN
KOLEN
KOLEN
KOLEN
KOLEN
KOL-MINEX
KOZBI
KOZBI
KOZBI
KPB-KUTNO
KPB-KUTNO
KPB-KUTNO
KPB-KUTNO
KPB-KUTNO
KPB-KUTNO
KPB-KUTNO
KPB-KUTNO
KPB-KUTNO
KPB-KUTNO
KPB-KUTNO
KPB-KUTNO
KRULEN_NORKA
KRULEN_NORKA
KRULEN_NORKA
KRULEN_NORKA
KRULEN_NORKA
KRULEN_NORKA
KRULEN_NORKA
KRULEN_NORKA
KRULEN_NORKA
KRULEN_NORKA
KRULEN_NORKA
KRULEN_NORKA
KRULEN_NORKA
Numer
dopuszczenia
Okres/data
ważności
Podstawa
dopuszczenia
Data ost.
Zmiany
49E1-SP-IF
b/n
nie nadano
Starsze - EOR
160304
60E1-KL-IF
b/n
nie nadano
Starsze - EOR
160304
60E1-SP-IF
b/n
nie nadano
Starsze - EOR
160304
nie nadano
nie nadano
2020-08-31
2020-08-31
nie nadano
nie nadano
nie nadano
Starsze - SIEC
Starsze - SIEC
PW-17
PW-17
Starsze - SIEC
Starsze - SIEC
Starsze - SIEC
160316
160316
150908
150908
160316
160316
160316
produkcji: ELTRIM
produkcji: ELTRIM
produkcji: IZODRAHT
produkcji: IZODRAHT
produkcji: IZODRAHT
produkcji: IZODRAHT
produkcji: IZODRAHT
Opis produktu
411 INTERFREZ-MIGAŁA
INVOLT_ELTRIM
INVOLT_ELTRIM
INVOLT_IZODRAHT
INVOLT_IZODRAHT
INVOLT_IZODRAHT
INVOLT_IZODRAHT
INVOLT_IZODRAHT
Nr. w kat.
'KOLPROJEKT'
Technologia zabezpieczenia antykorozyjnego
konstrukcji wsporczych sieci trakcyjnej
Odłącznik
Rozłącznik trakcyjny
Odłącznikowy napęd silnikowy
Zamocowania ogranicznika niskonapięciowe
Zamocowania ogranicznika niskonapięciowe
Zamocowania ogranicznika niskonapięciowe
Zamocowania ogranicznika niskonapięciowe
Zamocowania ogranicznika niskonapięciowe
Zamocowania ogranicznika niskonapięciowe
Zamocowania ogranicznika niskonapięciowe
Zamocowania ogranicznika niskonapięciowe
Zamocowania ogranicznika niskonapięciowe
Ogranicznik niskonapięciowy
Ogranicznik niskonapięciowy
Ogranicznik niskonapięciowy
Ogranicznik niskonapięciowy
Obudowa ogranicznika niskonapięciowego
Technologia wyburzania fundamentów
Uchwyt przegubowy
Uchwyt przegubowy wysięgnikowy
Uchwyt przegubowy
Fundament betonowy prefabrykowany
Fundament betonowy prefabrykowany
Fundament betonowy prefabrykowany
Fundament betonowy prefabrykowany
Fundament betonowy prefabrykowany
Fundament betonowy prefabrykowany
Fundament betonowy prefabrykowany
Fundament palowy
Fundament palowy
Fundament palowy
Fundament palowy
Fundament palowy
Oprawa oświetleniowa
Oprawa oświetleniowa
Oprawa oświetleniowa
Oprawa oświetleniowa
Oprawa oświetleniowa
Oprawa oświetleniowa
Oprawa oświetleniowa
Oprawa oświetleniowa
Oprawa oświetleniowa
Oprawa oświetleniowa
Oprawa oświetleniowa
Oprawa oświetleniowa
Oprawa oświetleniowa
do rozjazdów z szynami 49E1
sprężysty
do rozjazdów z szynami 60E1
klasyczny
do rozjazdów z szynami 60E1
sprężysty
wielodrutowy goły
wielodrutowy goły
ELCORIM LIGHT
ELCORIM LIGHT
wielodrutowy goły
powłoki polimocznikowe
Firmy ZPPE ELTRIM Sp. z o.o.
Firmy ZPPE ELTRIM Sp. z o.o.
AC 100 CuMg 0,02%
AC 150 CuMg 0,02%
Firmy EKS Isodraht GmbH
Firmy EKS Isodraht GmbH
Firmy EKS Isodraht GmbH
Firmy
Tele-Fonika Kable Sp. z o.o.
Firmy
Tele-Fonika Kable Sp. z o.o.
oblewany
słupa trakcyjnego
słupa trakcyjnego
słupa trakcyjnego
odciągu prętowego
odciągu prętowego
9811 - 1-3
9811 - 6-8
9811 - 6-8
9871-1
9872-1, 3
b/n
nie nadano
Starsze - SIEC
160316
produkcji: TELE-FONIKA
9871-1, 3
b/n
nie nadano
Starsze - SIEC
160316
produkcji: TELE-FONIKA
D/IEN/15/2015
2020-06-30
PW-17
150701
b/n
b/n
b/n
b/n
b/n
b/n
b/n
b/n
b/n
b/n
b/n
b/n
b/n
b/n
b/n
b/n
b/n
b/n
D9/IEN/9/2013
D9/IEN/9/2013
D9/IEN/9/2013
D8/IEN/8/2013
b/n
b/n
b/n
b/n
D8/IEN/8/2013
b/n
b/n
b/n
b/n
b/n
b/n
b/n
b/n
b/n
b/n
b/n
b/n
b/n
b/n
b/n
b/n
b/n
b/n
b/n
nie nadano
nie nadano
nie nadano
nie nadano
nie nadano
nie nadano
nie nadano
nie nadano
nie nadano
nie nadano
nie nadano
nie nadano
nie nadano
nie nadano
nie nadano
nie nadano
nie nadano
nie nadano
2018-10-17
2018-10-17
2018-10-17
2018-10-17
nie nadano
nie nadano
nie nadano
nie nadano
2018-10-17
nie nadano
nie nadano
nie nadano
nie nadano
nie nadano
nie nadano
nie nadano
nie nadano
nie nadano
nie nadano
nie nadano
nie nadano
nie nadano
nie nadano
nie nadano
nie nadano
nie nadano
nie nadano
nie nadano
Starsze - SIEC
Starsze - SIEC
Starsze - SIEC
Starsze - SIEC
Starsze - SIEC
Starsze - SIEC
Starsze - SIEC
Starsze - SIEC
Starsze - SIEC
Starsze - SIEC
Starsze - SIEC
Starsze - SIEC
Starsze - SIEC
Starsze - SIEC
Starsze - SIEC
Starsze - SIEC
Starsze - SIEC
Starsze - SIEC
PW-17
PW-17
PW-17
PW-17
Starsze - SIEC
Starsze - SIEC
Starsze - SIEC
Starsze - SIEC
PW-17
Starsze - SIEC
Starsze - SIEC
Starsze - SIEC
Starsze - SIEC
Starsze - SIEC
Starsze - SIEC
Starsze - OSW
Starsze - OSW
Starsze - OSW
Starsze - OSW
Starsze - OSW
Starsze - OSW
Starsze - OSW
Starsze - OSW
Starsze - OSW
Starsze - OSW
Starsze - OSW
Starsze - OSW
Starsze - OSW
7440
7450
7490
0891
0892
0893
0894
0895
0896
0897
0898
0899
7340
7360
7370
7380
7700
metodą minerską
odmiana „P"
odmiana „P"
odmiana „P"
odmiana „P"
odmiana K
odmiana „P"
typu BI
typu BII
typu BIII
typu BI-A
typu BIII-A
BERLIN
BRUNN
ERFURT
FULDA
GERA
HAMM
JENA
KREUZBERG
LEIPZIG
LONDON
LUTTEROTH
MADRID
NEUSTADT
Strona 8 z 25
b/n
b/n
D/IEN/17/2015
D/IEN/17/2015
b/n
b/n
b/n
Uwagi
9871 - 1
PROTEC H
trakcyjny
trakcyjny
konstrukcji wsporczych
do przewodu jezdnego
do przewodu jezdnego
przewodu jezdnego
odciągu
Stan na dzień: 2016-05-17
4110
4120-3
4130
1411
1422-1
1422-2
1422-3
1422-4
1451
1462-1
1491
1492
1493
1495
1497
160314
160415
160415
160415
160415
Poza decyzją PKP PLK
DOPUSZCZANIE ELEMENTÓW PODSYSTEMÓW I TECHNOLOGII PRZEZNACZONYCH DO STOSOWANIA NA LINIACH KOLEJOWYCH ZARZĄDZANYCH PRZEZ PKP POLSKIE LINIE KOLEJOWE S.A.
Wspólna lista Dopuszczeń wydanych wg. Procedury SMS PW-17 oraz procedur wcześniejszych – branża elektroenergetyki.
Lp.
470
471
472
473
474
475
476
477
478
479
480
481
482
483
484
485
486
487
488
489
490
491
492
493
494
495
496
497
498
499
500
501
502
503
504
505
506
507
508
509
510
511
512
513
514
515
516
517
518
519
520
521
522
523
524
525
Logo podmiotu lub nazwa
skrócona *3)
KRULEN_NORKA
KRULEN_NORKA
KRULEN_NORKA
KRULEN_NORKA
KRULEN_NORKA
KRULEN_NORKA
KRULEN_NORKA
KUCA
KUCA
KUCA
KUCA
KUCA
KUCA
KUCA
KUCA
KUCA
KUCA
KUCA
KUCA
KUCA
KUCA
KUCA
KUCA
KUCA
KUCA
KUCA
KUCA
KUCA
KUCA
KUCA
KUCA
KUCA
KUCA
KUCA
KUCA
KUCA
KUCA
KUCA
KUCA
KUCA
KUCA
KUCA
KUCA
KUCA
KUCA
KUCA
KUCA
KUCA
KUCA
KUCA
KUCA
KUCA
KUCA
KUCA
KUCA
KUCA
Nr. w kat.
'KOLPROJEKT'
Opis produktu
Oprawa oświetleniowa
Oprawa oświetleniowa
Oprawa oświetleniowa
Oprawa oświetleniowa
Oprawa oświetleniowa
Oprawa oświetleniowa LED
Oprawa oświetleniowa LED
Izolator sekcyjny
Odciąg prętowy słupa kotwowego
Odciąg prętowy słupa kotwowego
Odciąg prętowy słupa kotwowego
Łącznik skręcony
Uchwyt przegubowy
Uchwyt przegubowy wysięgnikowy
Uchwyt przegubowy
Uchwyt przegubowy
Uchwyt podwieszeniowy
Uchwyt podwieszeniowy
Uchwyt przelotowy sztywny
Wyrównywacz przewodów jezdnych
Śruba rzymska
Przegubowy uchwyt
Uchwyt rolek linowych
Przegubowy uchwyt
Rolka linowa
Cięgła linowe urządzenia naprężającego
Łącznik skręcony
Uchwyt mocujący
Uchwyt do kotwień
Zabezpieczenie urządzenia naprężającego
Wsporniki ukośników
Uchwyt izolatora odciągu wysięgu
Uchwyt słupowy izolatora
Wsporniki ukośników
Uchwyt izolatora odciągu wysięgu
Uchwyt słupowy izolatora
Wsporniki ukośników
Łącznik kabłąkowy
Łącznik pojedynczy
Łącznik podwójny
Uchwyt rolek linowych
Uchwyt krańcowy
Uchwyt krańcowy
Uchwyt przelotowy
Uchwyt odciągowy
Złączka
Złączka
Złączka
Uchwyt odległościowy
Uchwyt równoległy
Uchwyt odległościowy
Uchwyt równoległy
Uchwyt równoległy
Zacisk
Zacisk
Uchwyt równoległy
z kloszem PC
z kloszem PC
do przewodu jezdnego
do przewodu jezdnego
przewodu jezdnego
przewodu jezdnego
do lin nośnych
do lin nośnych
do lin nośnych
SATURN
SIDNEY RAPID
SIRIUS
VARSOVIA
WRATISLAVIA
ERFURT LED
VARSOVIA LED
ISZ-06 1p/2p KUCA
70 KUCA
0438
1540-1 ÷ 3
1550-1 ÷ 3
1560-1 ÷ 3
1704730-1
4110-1
4120-1 ÷ 4
4130-2
4130-1
4140-1 ÷ 2
4150-1
4160-1
4410-1
4420-1
4430-1
4440-1 ÷ 6
4450-1
4460-1 ÷ 3
4490-1 ÷ 3
4504740-1
4560-1
4570-1
4600-1, 2
4610-1 ÷ 8, 10
4620-1 ÷ 8, 10
4630-1 ÷ 8, 10
4640-3, 5, 7, 8, 10
4650-3, 5, 7, 8, 10
4660-3, 5, 7, 8, 10
4670-5, 7, 8, 10
4700-1
4710-1, 2
4720-2
5040-1 ÷ 3
5110-1 ÷ 4
5120-5 ÷ 9
5160-5, 7, 9, 0
5180-6, 7, 0
5210-1 ÷ 4
5250-5 ÷ 9
5250-5 ÷ 8
5300-1
5340-1 ÷ 2
5350-1
5360-1
5380-1
5400-15 ÷ 19
5400-5 ÷ 7
5410-5
100 i 150CuNi2Si KUCA
złącze gniazdowe
do kotwienia przewodów
rolki linowej
prowadnice na słupach bramek
na słupach przestrzennych
jednostronne
jednostronny
jednostronny
dwustronne
dwustronny
dwustronny
z uchwytami
wzdłużny
klinowy do przewodów jezdnych
liny nośnej
wahliwy żeliwny
przelotowy śrubowo -stożkowy
klinowa
stożkowa liny nośnej
stożkowa liny nośnej
do przewodów jezdnych
podwójny
do 4 przew. Jezdnych
potrójny
rozjazdowy
równoległy lina, przewód jezdny
równoległy lina, przewód jezdny
przewodu jezdnego z liną nośną
izolatora odciągu wysięgu
Cu i Fe KUCA
Cu KUCA
100 i 150 CuNi2Si KUCA
CuNi2Si KUCA
Numer
dopuszczenia
b/n
b/n
b/n
b/n
b/n
D/IEN/22/2015
D/IEN/22/2015
b/n
b/n
b/n
b/n
b/n
b/n
b/n
b/n
b/n
b/n
b/n
b/n
b/n
b/n
b/n
b/n
b/n
b/n
b/n
b/n
b/n
b/n
b/n
b/n
b/n
b/n
b/n
b/n
b/n
b/n
b/n
b/n
b/n
b/n
b/n
b/n
b/n
b/n
b/n
b/n
b/n
b/n
b/n
b/n
b/n
b/n
b/n
b/n
b/n
Stan na dzień: 2016-05-17
Okres/data
ważności
Podstawa
dopuszczenia
nie nadano
nie nadano
nie nadano
nie nadano
nie nadano
2020-09-30
2020-09-30
nie nadano
nie nadano
nie nadano
nie nadano
nie nadano
nie nadano
nie nadano
nie nadano
nie nadano
nie nadano
nie nadano
nie nadano
nie nadano
nie nadano
nie nadano
nie nadano
nie nadano
nie nadano
nie nadano
nie nadano
nie nadano
nie nadano
nie nadano
nie nadano
nie nadano
nie nadano
nie nadano
nie nadano
nie nadano
nie nadano
nie nadano
nie nadano
nie nadano
nie nadano
nie nadano
nie nadano
nie nadano
nie nadano
nie nadano
nie nadano
nie nadano
nie nadano
nie nadano
nie nadano
nie nadano
nie nadano
nie nadano
nie nadano
nie nadano
Starsze - OSW
Starsze - OSW
Starsze - OSW
Starsze - OSW
Starsze - OSW
PW-17
PW-17
Starsze - SIEC
Starsze - SIEC
Starsze - SIEC
Starsze - SIEC
Starsze - SIEC
Starsze - SIEC
Starsze - SIEC
Starsze - SIEC
Starsze - SIEC
Starsze - SIEC
Starsze - SIEC
Starsze - SIEC
Starsze - SIEC
Starsze - SIEC
Starsze - SIEC
Starsze - SIEC
Starsze - SIEC
Starsze - SIEC
Starsze - SIEC
Starsze - SIEC
Starsze - SIEC
Starsze - SIEC
Starsze - SIEC
Starsze - SIEC
Starsze - SIEC
Starsze - SIEC
Starsze - SIEC
Starsze - SIEC
Starsze - SIEC
Starsze - SIEC
Starsze - SIEC
Starsze - SIEC
Starsze - SIEC
Starsze - SIEC
Starsze - SIEC
Starsze - SIEC
Starsze - SIEC
Starsze - SIEC
Starsze - SIEC
Starsze - SIEC
Starsze - SIEC
Starsze - SIEC
Starsze - SIEC
Starsze - SIEC
Starsze - SIEC
Starsze - SIEC
Starsze - SIEC
Starsze - SIEC
Starsze - SIEC
526 KUCA
Uchwyt wieszakowy
uniwersalny
Djp. 100 lub 150 CuNi2Si KUCA
5420-1, 2, 5
b/n
nie nadano
Starsze - SIEC
527
528
529
530
531
532
533
Uchwyt równoległy
Uchwyt równoległy
Uchwyt
Uchwyt
Uchwyt
Uchwyt
Uchwyt równoległy
do dwóch lin
do dwóch lin
liny uelastyczniającej
liny uelastyczniającej
liny uelastyczniającej
liny uelastyczniającej
do dwóch lin
CuNi2Si KUCA
5500-15 ÷ 18
5500-5 ÷ 7
5520-16 ÷ 18
5520-5 ÷ 8
5520-6 ÷ 8
5530-6 ÷ 8
5550-15 ÷ 19
b/n
b/n
b/n
b/n
b/n
b/n
b/n
nie nadano
nie nadano
nie nadano
nie nadano
nie nadano
nie nadano
nie nadano
Starsze - SIEC
Starsze - SIEC
Starsze - SIEC
Starsze - SIEC
Starsze - SIEC
Starsze - SIEC
Starsze - SIEC
KUCA
KUCA
KUCA
KUCA
KUCA
KUCA
KUCA
CuNi2Si KUCA
KUCA
CuNi2Si KUCA
CuNi2Si KUCA
Strona 9 z 25
Data ost.
Zmiany
160415
160415
Uwagi
DOPUSZCZANIE ELEMENTÓW PODSYSTEMÓW I TECHNOLOGII PRZEZNACZONYCH DO STOSOWANIA NA LINIACH KOLEJOWYCH ZARZĄDZANYCH PRZEZ PKP POLSKIE LINIE KOLEJOWE S.A.
Wspólna lista Dopuszczeń wydanych wg. Procedury SMS PW-17 oraz procedur wcześniejszych – branża elektroenergetyki.
Lp.
534
535
536
537
538
539
540
541
542
543
544
545
546
547
548
549
550
551
552
553
554
555
556
557
558
559
560
561
562
563
564
565
566
567
568
569
570
571
572
573
574
575
576
577
578
579
580
Logo podmiotu lub nazwa
skrócona *3)
KUCA
KUCA
KUCA
KUCA
KUCA
KUCA
KUCA
KUCA
KUCA
KUCA
KUCA
KUCA
KUCA
KUCA
KUCA
KUCA
KUCA
KUCA
KUCA
KUCA
KUCA
KUCA
KUCA
KUCA
KUCA
KUCA
KUCA
KUCA
KUCA
KUCA
KUCA
KUCA
KUCA
KUCA
KUCA
KUCA
KUCA
KUCA
KUCA
KUCA
KUCA
KUCA
KUCA
KUCA
KUCA
KUCA
KUCA
Nr. w kat.
'KOLPROJEKT'
Opis produktu
Uchwyt równoległy
Uchwyt równoległy
Uchwyt równoległy
Uchwyt równoległy
Uchwyt równoległy
Uchwyt równoległy
Zacisk
Zacisk
Zacisk
Łącznik szynowy
Łącznik szynowy
Łącznik szynowy
Połączenia uszyniające
Połączenia uszyniające
Połączenia uszyniające
Połączenie odłącznika z uszynieniem
Łącznik szynowy
Łącznik szynowy
Łącznik szynowy
Ukośnik rurowy
Odciąg ukośnika
Odciąg ukośnika
Odciąg ukośnika
Wysięgniki pomocnicze liny nośnej
Wysięgniki przewodu uszyniającego
Ramię odciągowe
Ramię odciągowe
Ramię odciągowe
Ramię odciągowe
Ramię odciągowe
Ramię odciągowe
Ramię odciągowe
Ramię odciągowe
Ramię odciągowe
Ramię odciągowe
Ramię odciągowe
Ramię odciągowe
Kompensator skrętu
Ciężar naprężający
Śruba rzymska
Uchwyt równoległy
Uchwyt równoległy
Łącznik pojedynczy
Łącznik izolatora z uchwytem podwieszeniowym
Kołek gwintowany
Izolator trakcyjny
Izolator trakcyjny
do dwóch lin
do dwóch lin
do dwóch lin
do dwóch lin
do dwóch lin
do dwóch lin
mostkowy
uszyniający do lin
szynowy
podłużny
z linki Cu 95 bez izolacji
z linki Cu 95 w izolacji
prętem Fe w izolacji
linką Cu50 w izolacji
kablem YKY 1x50
linką L50
podłużny, z tulejką zaciskową
z linki Cu95 z tulejką zaciskową
z linki Cu95
do połączeń szynowych
cięgnowy z żywic organicznych
cięgnowy z żywic organicznych
ze śrubą
(do IS03) dł. 564 KUCA
581 KUCA
Izolator trakcyjny kompozytowy
cięgnowy
3 kV z kompensatorem skrętu
582
583
584
585
586
587
588
589
590
591
592
593
Odgromnik rożkowy
Iskiernik niskonapięciowy
Odłącznik
Odłącznik
Izolator sekcyjny
Izolator sekcyjny
Izolator sekcyjny
Przewód miedziany
Przewód jezdny
Przewód jezdny
Izolator trakcyjny
Izolator trakcyjny
KUCA
KUCA
KUCA
KUCA
KUCA
KUCA
KUCA
LA-FARGA
LA-FARGA
LA-FARGA
LAPP-INS
LAPP-INS
CuNi2Si KUCA
CuNi2Si KUCA
Al. 120 dł. 300 mm
z tulejką zacisk. bez izolacji
z tulejką zacisk. w izolacji
rurowego nieprzechylnego
rurowego przechylnego
rurowego przechylnego
(stal OH18N9E) KUCA
lekkie
stal P235TR2 ocynkowana, KUCA
proste
łukowe
proste
łukowe
specjalne rozjazdowe
specjalne łukowe
specjalne rozjazdowe
specjalne łukowe
z otworem owalnym
żeliwny
wieszakowa KUCA
do przewodu jezdnego
przewodu jezdnego z liną nośną
płaski
100 i 150 z liną CuNi2Si KUCA
KUCA
ze stykiem uszyniającym
jednoprzewodowy
jednoprzewodowy
wielodrutowy goły
ISZ-06 KUCA
ISZ-06 KUCA
liniowy
liniowy
LT60/10K
LT60/10R
5550-5 ÷ 6
5560-15
5560-5
5570-15, 16, 19
5570-5 ÷ 6
5580-8, 9
5590-1 ÷ 3
5670-1 ÷ 3
5680-1, 2
5810-1
5820-1, 2
5830-1, 2
5840-1, 2
5850-1, 2
5860-1, 2
5880-1
5910-1, 2
5920-1, 2
5930-1, 2
6001-1 ÷ 14
6002-1 ÷ 11
6007-1 ÷ 14
6008-1 ÷ 14
6124-1, 2
6130-1 ÷ 3
6201-21 ÷ 24
6201-1 ÷ 4
6201-11 ÷ 14
6202-1
6203-1
6204-1, 2
6205-1, 2
6206-1, 2
6207-1 + 3
6208-1 + 3
6209-1 + 3
6212-1
6320-1
6321-1
6340-1
6410-15 ÷ 19
6410-6 ÷ 8
6511-1
6720-1
6850-1
7150
7150-1, 2
7170-1
7310-1, 3, 4
7350-1
7420-1
7430-1
7500-1, 2
7520-1
7520-2
9811-6, 7, 8
9871-1
9872-1, 3
Stan na dzień: 2016-05-17
Numer
dopuszczenia
Okres/data
ważności
Podstawa
dopuszczenia
b/n
b/n
b/n
b/n
b/n
b/n
b/n
b/n
b/n
b/n
b/n
b/n
b/n
b/n
b/n
b/n
b/n
b/n
b/n
b/n
b/n
b/n
b/n
b/n
b/n
b/n
b/n
b/n
b/n
b/n
b/n
b/n
b/n
b/n
b/n
b/n
b/n
b/n
b/n
b/n
b/n
b/n
b/n
b/n
b/n
b/n
b/n
nie nadano
nie nadano
nie nadano
nie nadano
nie nadano
nie nadano
nie nadano
nie nadano
nie nadano
nie nadano
nie nadano
nie nadano
nie nadano
nie nadano
nie nadano
nie nadano
nie nadano
nie nadano
nie nadano
nie nadano
nie nadano
nie nadano
nie nadano
nie nadano
nie nadano
nie nadano
nie nadano
nie nadano
nie nadano
nie nadano
nie nadano
nie nadano
nie nadano
nie nadano
nie nadano
nie nadano
nie nadano
nie nadano
nie nadano
nie nadano
nie nadano
nie nadano
nie nadano
nie nadano
nie nadano
nie nadano
nie nadano
Starsze - SIEC
Starsze - SIEC
Starsze - SIEC
Starsze - SIEC
Starsze - SIEC
Starsze - SIEC
Starsze - SIEC
Starsze - SIEC
Starsze - SIEC
Starsze - SIEC
Starsze - SIEC
Starsze - SIEC
Starsze - SIEC
Starsze - SIEC
Starsze - SIEC
Starsze - SIEC
Starsze - SIEC
Starsze - SIEC
Starsze - SIEC
Starsze - SIEC
Starsze - SIEC
Starsze - SIEC
Starsze - SIEC
Starsze - SIEC
Starsze - SIEC
Starsze - SIEC
Starsze - SIEC
Starsze - SIEC
Starsze - SIEC
Starsze - SIEC
Starsze - SIEC
Starsze - SIEC
Starsze - SIEC
Starsze - SIEC
Starsze - SIEC
Starsze - SIEC
Starsze - SIEC
Starsze - SIEC
Starsze - SIEC
Starsze - SIEC
Starsze - SIEC
Starsze - SIEC
Starsze - SIEC
Starsze - SIEC
Starsze - SIEC
Starsze - SIEC
Starsze - SIEC
2020-12-31
PW-17
b/n
b/n
b/n
b/n
b/n
b/n
b/n
b/n
b/n
b/n
b/n
b/n
nie nadano
nie nadano
nie nadano
nie nadano
nie nadano
nie nadano
nie nadano
nie nadano
nie nadano
nie nadano
nie nadano
nie nadano
Starsze - SIEC
Starsze - SIEC
Starsze - SIEC
Starsze - SIEC
Starsze - SIEC
Starsze - SIEC
Starsze - SIEC
Starsze - SIEC
Starsze - SIEC
Starsze - SIEC
Starsze - SIEC
Starsze - SIEC
D/IEN/28/2015
594 LAPP-INS
Izolator trakcyjny
ukośnika wysięgnika teownikowego
7010-1, 2
b/n
nie nadano
Starsze - SIEC
595 LAPP-INS
596 LAPP-INS
Izolator trakcyjny
Izolator trakcyjny
odciągu wysięgnika
podwieszeniowy
7020-1
7030-1
b/n
b/n
nie nadano
nie nadano
Starsze - SIEC
Starsze - SIEC
Strona 10 z 25
Data ost.
Zmiany
160505
Uwagi
zamiennik
DOPUSZCZANIE ELEMENTÓW PODSYSTEMÓW I TECHNOLOGII PRZEZNACZONYCH DO STOSOWANIA NA LINIACH KOLEJOWYCH ZARZĄDZANYCH PRZEZ PKP POLSKIE LINIE KOLEJOWE S.A.
Wspólna lista Dopuszczeń wydanych wg. Procedury SMS PW-17 oraz procedur wcześniejszych – branża elektroenergetyki.
Lp.
597
598
599
600
601
602
603
604
605
606
607
608
609
610
611
612
613
614
Logo podmiotu lub nazwa
skrócona *3)
LAPP-INS
LAPP-INS
LAPP-INS
LENA-LIGHTING
LENA-LIGHTING
LENA-LIGHTING
LENA-LIGHTING
LENA-LIGHTING
LENA-LIGHTING
LENA-LIGHTING
LENA-LIGHTING
LENA-LIGHTING
LENA-LIGHTING
LUG-L-F
LUG-L-F
LUG-L-F
LUG-L-F
LUG-L-F
Okres/data
ważności
Podstawa
dopuszczenia
SHZ 100 100S PKP
SHZ 100 150S PKP
SHZ 100 70H PKP
SHZ 100 70S PKP
SHZ 100 100/70W S-PKP
SHZ 100 150/100S PKP
SHZ 100 150H PKP
SHZ 100 250/150W S-PKP
SHZ 100 250H PKP
SHZ 100 250S PKP
2x W HF
2x W PC HF
HF 2x W
Lugtrain PC 2x W
Lugtrain PC 2x W
b/n
b/n
b/n
b/n
b/n
b/n
b/n
b/n
b/n
b/n
b/n
b/n
b/n
D/1-/IEN - 1/2013
D/1-/IEN - 1/2013
D/1-/IEN - 1/2013
D/1-/IEN - 1/2013
D/1-/IEN - 1/2013
nie nadano
nie nadano
nie nadano
nie nadano
nie nadano
nie nadano
nie nadano
nie nadano
nie nadano
nie nadano
nie nadano
nie nadano
nie nadano
2018-07-29
2018-07-29
2018-07-29
2018-07-29
2018-07-29
Starsze - SIEC
Starsze - SIEC
Starsze - SIEC
Starsze - OSW
Starsze - OSW
Starsze - OSW
Starsze - OSW
Starsze - OSW
Starsze - OSW
Starsze - OSW
Starsze - OSW
Starsze - OSW
Starsze - OSW
PW-17
PW-17
PW-17
PW-17
PW-17
PERON LINE 1x49W PPAR PC IP 65
D-13/IEN/13/2013
2018-11-21
PW-17
PERON LINE 1x35W PPAR PC IP 65
D/IEN/02/2014
2019-03-04
PW-17
NEPTUN PC
SPARTA 2
SPARTA 3
UPDOOR TC-DEL, 10÷26 W
UPDOOR TC-F, 18÷36 W
UPDOOR TC-L, 18 W
UPDOOR TC-SEL, 5÷11 W
UPDOOR TC-TEL, 13÷42 W
ART. (PAZARLAMA A.S.)
NEPTUN LED
NOVELINE LED
GALAXY LED
STREETPARK LED
D/IEN/01/2015
D/IEN/07/2015
D/IEN/08/2015
D/IEN/27/2015
D/IEN/27/2015
D/IEN/27/2015
D/IEN/27/2015
D/IEN/27/2015
D/IEN/02/2015
D/IEN/04/2015
D/IEN/06/2015
D/IEN/05/2015
D/IEN/09/2015
2020-03-31
2020-03-31
2020-03-31
2020-12-31
2020-12-31
2020-12-31
2020-12-31
2020-12-31
2020-01-12
2020-03-31
2020-03-31
2020-03-31
2020-03-31
PW-17
PW-17
PW-17
PW-17
PW-17
PW-17
PW-17
PW-17
PW-17
PW-17
PW-17
PW-17
PW-17
UPDOOR LED, 10 W/1500 Lm
D/IEN/27/2015
2020-12-31
PW-17
160420
nie nadano
nie nadano
nie nadano
nie nadano
nie nadano
nie nadano
nie nadano
nie nadano
nie nadano
nie nadano
nie nadano
nie nadano
nie nadano
nie nadano
nie nadano
nie nadano
nie nadano
nie nadano
nie nadano
nie nadano
nie nadano
nie nadano
nie nadano
nie nadano
nie nadano
nie nadano
nie nadano
nie nadano
Starsze - OSW
Starsze - SIEC
Starsze - SIEC
Starsze - SIEC
Starsze - SIEC
Starsze - SIEC
Starsze - SIEC
Starsze - SIEC
Starsze - SIEC
Starsze - SIEC
Starsze - SIEC
Starsze - SIEC
Starsze - SIEC
Starsze - SIEC
Starsze - SIEC
Starsze - SIEC
Starsze - SIEC
Starsze - SIEC
Starsze - SIEC
Starsze - SIEC
Starsze - SIEC
Starsze - SIEC
Starsze - SIEC
Starsze - SIEC
Starsze - SIEC
Starsze - SIEC
Starsze - SIEC
Starsze - SIEC
150918
150918
150918
150918
150918
150918
150918
150918
150918
150918
150918
150918
150918
150918
150918
150918
150918
150918
150918
150918
150918
150918
150918
150918
150918
150918
150918
Opis produktu
Izolator trakcyjny
Izolator trakcyjny
Izolator trakcyjny
Oprawa oświetleniowa
Oprawa oświetleniowa
Oprawa oświetleniowa
Oprawa oświetleniowa
Oprawa oświetleniowa
Oprawa oświetleniowa
Oprawa oświetleniowa
Oprawa oświetleniowa
Oprawa oświetleniowa
Oprawa oświetleniowa
Oprawa oświetleniowa
Oprawa oświetleniowa
Oprawa oświetleniowa
Oprawa oświetleniowa
Oprawa oświetleniowa
615 LUXIONA
Oprawa oświetleniowa
616 LUXIONA
Oprawa oświetleniowa
617
618
619
620
621
622
623
624
625
626
627
628
629
LUXIONA
LUXIONA
LUXIONA
LUXIONA
LUXIONA
LUXIONA
LUXIONA
LUXIONA
LUXIONA
LUXIONA
LUXIONA
LUXIONA
LUXIONA
Oprawa oświetleniowa
Oprawa oświetleniowa
Oprawa oświetleniowa
Oprawa oświetleniowa
Oprawa oświetleniowa
Oprawa oświetleniowa
Oprawa oświetleniowa
Oprawa oświetleniowa
Oprawa oświetleniowa
Oprawa oświetleniowa LED
Oprawa oświetleniowa LED
Oprawa oświetleniowa LED
Oprawa oświetleniowa LED
630 LUXIONA
Oprawa oświetleniowa LED
631
632
633
634
635
636
637
638
639
640
641
642
643
644
645
646
647
648
649
650
651
652
653
654
655
656
657
658
(10 pozycji - obecnie f-ma LENA-LIGHTING)
Przegubowy uchwyt
Przegubowy uchwyt
Prowadnice ciężarów naprężających
Zabezpieczenie urządzenia naprężającego
Łącznik skręcony
Łącznik skręcony
Uchwyt rolek linowych
Uchwyt krańcowy
Złączka
Złączka
Uchwyt
Zacisk
Zacisk
Ukośnik rurowy
Odciąg ukośnika
Odciąg ukośnika
Ramię odciągowe
Ramię odciągowe
Ramię odciągowe
Ramię odciągowe
Ramię odciągowe
Ramię odciągowe
Ramię odciągowe
Ramię odciągowe
Ramię odciągowe
Śruba rzymska
Kołek gwintowany
LUXMAT
MABO
MABO
MABO
MABO
MABO
MABO
MABO
MABO
MABO
MABO
MABO
MABO
MABO
MABO
MABO
MABO
MABO
MABO
MABO
MABO
MABO
MABO
MABO
MABO
MABO
MABO
MABO
Nr. w kat.
'KOLPROJEKT'
7040-1
7100-1
7200
podwieszeniowy
ukośnika wysięgnika rurowego
liniowy
Atlantyk 3
Atlantyk strong
Vandallug
z 1 głośnikiem
z 2 głośnikami
do montażu w liniowe systemy
oświetlenia
do montażu w liniowych systemach
oświetlenia
strop/sufit; pod zadaszeniem
zewnętrzna
zewnętrzna
zewnętrzna
zewnętrzna
zewnętrzna
zewnętrzna
zewnętrzna
zewnętrzna, mocy 70/125/150 W
strop/sufit
strop/sufit
zewnętrzna
zewnętrzna
zewnętrzna/awaryjna
/naświetlacz
do kotwienia przewodów
rolki linowej
170
450
wydłużony
lin nośnych 70÷150
przewodu jezdnego
liny nośnej
liny uelastyczniającej
uszyniający do lin
szynowy
rurowego nieprzechylnego
rurowego przechylnego
proste
łukowe
proste
łukowe
specjalne rozjazdowe
specjalne łukowe
specjalne rozjazdowe
specjalne łukowe
z otworem owalnym
wieszakowa
do połączeń szynowych
i przewodu jezdnego 100
śrubowa
stożkowa
25-95; 25-120; 25-150
L50 i AFL70
KUCA
ze śrubą
Strona 11 z 25
4430-1
4450-1
4470-1,3,4
4600-1,2
4730-1
4740-1
5040-1 ÷ 3
5120
5210-3
5250-6, 7
5520-6 ÷ 8
5670-1 ÷ 3
5680-1, 2
6001-1 ÷ 14
6002-1 ÷ 11
6007-1 + 10
6202-1
6203-1
6204-1, 2
6205-1, 2
6206-1, 2
6207-1 + 3
6208-1 + 3
6209-1 + 3
6212-1
6340-1
6850-1
Numer
dopuszczenia
Stan na dzień: 2016-05-17
b/n
b/n
b/n
b/n
b/n
b/n
b/n
b/n
b/n
b/n
b/n
b/n
b/n
b/n
b/n
b/n
b/n
b/n
b/n
b/n
b/n
b/n
b/n
b/n
b/n
b/n
b/n
b/n
Data ost.
Zmiany
Uwagi
uznanie po f. LUXMAT
uznanie po f. LUXMAT
uznanie po f. LUXMAT
uznanie po f. LUXMAT
uznanie po f. LUXMAT
uznanie po f. LUXMAT
uznanie po f. LUXMAT
uznanie po f. LUXMAT
uznanie po f. LUXMAT
uznanie po f. LUXMAT
151227
151227
151227
151227
151227
150701
Obecnie LENA-LIGHTING
DOPUSZCZANIE ELEMENTÓW PODSYSTEMÓW I TECHNOLOGII PRZEZNACZONYCH DO STOSOWANIA NA LINIACH KOLEJOWYCH ZARZĄDZANYCH PRZEZ PKP POLSKIE LINIE KOLEJOWE S.A.
Wspólna lista Dopuszczeń wydanych wg. Procedury SMS PW-17 oraz procedur wcześniejszych – branża elektroenergetyki.
Lp.
659
660
661
662
663
664
Logo podmiotu lub nazwa
skrócona *3)
MABO
MABO
MABO
MACHINEN & ANLAGEN
MARBET
MARBET
665 MINER
Odgromnik rożkowy
Iskiernik niskonapięciowy
Izolator sekcyjny
EOR System
Ciężar naprężający
Ciężar naprężający
Wyburzanie fundamentów konstrukcji wsporczych i
odciągów sieci trakcyjnej
666 MINER
Wyburzanie fundamentów konstrukcji wsporczych i
odciągów sieci trakcyjnej
667
668
669
670
671
672
673
674
675
676
677
678
679
680
681
682
683
684
685
686
687
688
689
690
691
692
693
694
695
696
697
698
699
700
701
702
703
704
705
706
707
708
709
710
711
712
713
714
715
716
717
718
719
720
Odciąg prętowy słupa kotwowego
Odciąg prętowy słupa kotwowego
Odciąg prętowy słupa kotwowego
Słup trakcyjny
Słup trakcyjny
Słup trakcyjny
Słup trakcyjny
Słup trakcyjny
Słup trakcyjny
Słup trakcyjny
Słup trakcyjny
Słup trakcyjny
Słup trakcyjny
Słup trakcyjny
Połączenie międzysegmentowe
Słup trakcyjny
Słup trakcyjny
Słup trakcyjny
Słup trakcyjny
Słup trakcyjny
Segment słupa
Słup trakcyjny
Wysięg przez dwa tory
Połączenie międzysegmentowe
Słup trakcyjny
Segment słupa
Segment dźwigara
Segment dźwigara
Segment dźwigara
Segment dźwigara
Segment dźwigara
Segment dźwigara
Segment dźwigara
Segment dźwigara
Segment dźwigara
Segment dźwigara
Segment dźwigara
Segment dźwigara
Segment dźwigara
Słup trakcyjny
Słup trakcyjny
Słup trakcyjny
Słup trakcyjny
Słup trakcyjny
Słup trakcyjny
Słup trakcyjny
Słup trakcyjny
Okucia
Połączenia segmentu
Słup trakcyjny
Słup trakcyjny
Słup trakcyjny
Słup trakcyjny
Słup trakcyjny
MOSTOSTAL-SIEDLCE
MOSTOSTAL-SIEDLCE
MOSTOSTAL-SIEDLCE
MOSTOSTAL-SIEDLCE
MOSTOSTAL-SIEDLCE
MOSTOSTAL-SIEDLCE
MOSTOSTAL-SIEDLCE
MOSTOSTAL-SIEDLCE
MOSTOSTAL-SIEDLCE
MOSTOSTAL-SIEDLCE
MOSTOSTAL-SIEDLCE
MOSTOSTAL-SIEDLCE
MOSTOSTAL-SIEDLCE
MOSTOSTAL-SIEDLCE
MOSTOSTAL-SIEDLCE
MOSTOSTAL-SIEDLCE
MOSTOSTAL-SIEDLCE
MOSTOSTAL-SIEDLCE
MOSTOSTAL-SIEDLCE
MOSTOSTAL-SIEDLCE
MOSTOSTAL-SIEDLCE
MOSTOSTAL-SIEDLCE
MOSTOSTAL-SIEDLCE
MOSTOSTAL-SIEDLCE
MOSTOSTAL-SIEDLCE
MOSTOSTAL-SIEDLCE
MOSTOSTAL-SIEDLCE
MOSTOSTAL-SIEDLCE
MOSTOSTAL-SIEDLCE
MOSTOSTAL-SIEDLCE
MOSTOSTAL-SIEDLCE
MOSTOSTAL-SIEDLCE
MOSTOSTAL-SIEDLCE
MOSTOSTAL-SIEDLCE
MOSTOSTAL-SIEDLCE
MOSTOSTAL-SIEDLCE
MOSTOSTAL-SIEDLCE
MOSTOSTAL-SIEDLCE
MOSTOSTAL-SIEDLCE
MOSTOSTAL-SIEDLCE
MOSTOSTAL-SIEDLCE
MOSTOSTAL-SIEDLCE
MOSTOSTAL-SIEDLCE
MOSTOSTAL-SIEDLCE
MOSTOSTAL-SIEDLCE
MOSTOSTAL-SIEDLCE
MOSTOSTAL-SIEDLCE
MOSTOSTAL-SIEDLCE
MOSTOSTAL-SIEDLCE
MOSTOSTAL-SIEDLCE
MOSTOSTAL-SIEDLCE
MOSTOSTAL-SIEDLCE
MOSTOSTAL-SIEDLCE
MOSTOSTAL-SIEDLCE
Nr. w kat.
'KOLPROJEKT'
Opis produktu
System wodny
polimero-betonowy
polimero-betonowy
35 kN
35 kN
22 kN
z kratą trójkątną
z kratą trójkątną
z kratą trójkątną
z kratą trójkątną
z kratą trójkątną
z kratą trójkątną
z kratą trójkątną
z kratą trójkątną
z kratą trójkątną
z kratą trójkątną
z kratą trójkątną
słupów
dwuteownikowy
dwuteownikowy
dwuteownikowy
z kratą trójkątną
z kratą trójkątną
indywidualnego i bramki
kratowy
słupów kratowych przestrz.
kratowy przestrz. dla ter. górn.
kratowy przestrz. dla ter. górn.
środkowy
boczny
boczny
boczny
boczny
boczny
boczny
boczny
boczny
boczny
boczny
przelotowo-krańcowy bramki
krańcowy bramki
przelotowo-krańcowy bramki
krańcowy bramki
przelotowo-krańcowy bramki
krańcowy bramki
przelotowo-krańcowy bramki
krańcowy bramki
dźwigara bramki
dźwigara bramki
przelotowo-krańcowy bramki
przelotowo-krańcowy bramki
przelotowo-krańcowy bramki
przelotowo-krańcowy bramki
krańcowy bramki
IS-03 KUCA
typu MAS
7310
7350-1
7500-1, 2
6322
6323
Numer
dopuszczenia
b/n
b/n
b/n
U/2004/039
b/n
b/n
Stan na dzień: 2016-05-17
Okres/data
ważności
Podstawa
dopuszczenia
Data ost.
Zmiany
nie nadano
nie nadano
nie nadano
bezterminowo
nie nadano
nie nadano
Starsze - SIEC
Starsze - SIEC
Starsze - SIEC
wg. Świadectwa UTK
Starsze - SIEC
Starsze - SIEC
150918
150918
150918
160425
metodą minerską
D/IEN/07/2014
2019-05-29
PW-17
140529
metodą minerską
D/IEN/07/2013
2019-05-29
PW-17
140529
nie nadano
nie nadano
nie nadano
nie nadano
nie nadano
nie nadano
nie nadano
nie nadano
nie nadano
nie nadano
nie nadano
nie nadano
nie nadano
nie nadano
nie nadano
nie nadano
nie nadano
nie nadano
nie nadano
nie nadano
nie nadano
nie nadano
nie nadano
nie nadano
nie nadano
nie nadano
nie nadano
nie nadano
nie nadano
nie nadano
nie nadano
nie nadano
nie nadano
nie nadano
nie nadano
nie nadano
nie nadano
nie nadano
nie nadano
nie nadano
nie nadano
nie nadano
nie nadano
nie nadano
nie nadano
nie nadano
nie nadano
nie nadano
nie nadano
nie nadano
nie nadano
nie nadano
nie nadano
nie nadano
Starsze - SIEC
Starsze - SIEC
Starsze - SIEC
Starsze - SIEC
Starsze - SIEC
Starsze - SIEC
Starsze - SIEC
Starsze - SIEC
Starsze - SIEC
Starsze - SIEC
Starsze - SIEC
Starsze - SIEC
Starsze - SIEC
Starsze - SIEC
Starsze - SIEC
Starsze - SIEC
Starsze - SIEC
Starsze - SIEC
Starsze - SIEC
Starsze - SIEC
Starsze - SIEC
Starsze - SIEC
Starsze - SIEC
Starsze - SIEC
Starsze - SIEC
Starsze - SIEC
Starsze - SIEC
Starsze - SIEC
Starsze - SIEC
Starsze - SIEC
Starsze - SIEC
Starsze - SIEC
Starsze - SIEC
Starsze - SIEC
Starsze - SIEC
Starsze - SIEC
Starsze - SIEC
Starsze - SIEC
Starsze - SIEC
Starsze - SIEC
Starsze - SIEC
Starsze - SIEC
Starsze - SIEC
Starsze - SIEC
Starsze - SIEC
Starsze - SIEC
Starsze - SIEC
Starsze - SIEC
Starsze - SIEC
Starsze - SIEC
Starsze - SIEC
Starsze - SIEC
Starsze - SIEC
Starsze - SIEC
160413
160413
160413
160413
160413
160413
160413
160413
160413
160413
160413
160413
160413
160413
skrócone
9,0 m
9,4 m
10,3 m
11,7 m
9,4 m
9,8 m
9,8 m
8,2 m
7,8 m
7,4 m
9,8 m, z pręta okr.
8,2 m
7,8 m
7,4 m
9,4 m na tereny górnicze
11,8 m na tereny górnicze
1,8 m na tereny górnicze
10,5 m dla wysięgu przez 2 t.
11,7 m
1,66 m
25,6 m
18,3 m
11,0 m
3,7 m
11,7 m
10,8 m
9,9 m
7,6 m
7,1 m
6,2 m
5,3 m
4,8 m
3,9 m
10,7 m
10,5 m
11,5 m
11,3 m
8,7 m
8,5 m
11,9 m
11,7 m
8,2 m, na jeden fundament
9,0 m, na jeden fundament
9,5 m, na jeden fundament
8,2 m, na jeden fundament
9,0 m, na jeden fundament
Strona 12 z 25
1540
1550
1560
1601
1602
1603
1604
1605
1607
1608
1611
1613
1614
1617
1660
1665
1666
1667
1682
1684
1689
1901
1910
1960
1981
1989
3011
3012
3013
3014
3017
3018
3019
3020
3021
3022
3023
3024
3025
3031
3032
3033
3034
3035
3036
3037
3038
3050
3060
3111
3112
3113
3115
3116
b/n
b/n
b/n
b/n
b/n
b/n
b/n
b/n
b/n
b/n
b/n
b/n
b/n
b/n
b/n
b/n
b/n
b/n
b/n
b/n
b/n
b/n
b/n
b/n
b/n
b/n
b/n
b/n
b/n
b/n
b/n
b/n
b/n
b/n
b/n
b/n
b/n
b/n
b/n
b/n
b/n
b/n
b/n
b/n
b/n
b/n
b/n
b/n
b/n
b/n
b/n
b/n
b/n
b/n
160413
160413
160413
160413
160413
160413
160413
160413
160413
160413
160413
160414
160414
160414
160414
160414
160414
160414
160414
160414
160414
160414
160414
160414
160414
160414
160414
160414
160414
160414
160413
160413
Uwagi
Zastąpione Dopuszczeniem
nr. D/IEN/07/2014
*3)
*3)
*3)
*3)
*3)
*3)
*3)
*3)
*3)
*3)
*3)
*3)
*3)
*3)
*3)
*3)
*3)
*3)
*3)
*3)
*3)
*3)
*3)
*3)
*3)
*3)
*3)
*3)
*3)
*3)
*3)
*3)
*3)
*3)
*3)
*3)
*3)
*3)
*3)
*3)
*3)
*3)
*3)
*3)
*3)
*3)
*3)
*3)
*3)
*3)
*3)
*3)
*3)
*3)
DOPUSZCZANIE ELEMENTÓW PODSYSTEMÓW I TECHNOLOGII PRZEZNACZONYCH DO STOSOWANIA NA LINIACH KOLEJOWYCH ZARZĄDZANYCH PRZEZ PKP POLSKIE LINIE KOLEJOWE S.A.
Wspólna lista Dopuszczeń wydanych wg. Procedury SMS PW-17 oraz procedur wcześniejszych – branża elektroenergetyki.
Lp.
721
722
723
724
725
726
727
728
729
730
731
732
733
734
Logo podmiotu lub nazwa
skrócona *3)
MOSTOSTAL-SIEDLCE
MOSTOSTAL-SIEDLCE
MOSTOSTAL-SIEDLCE
MOSTOSTAL-SIEDLCE
MOSTOSTAL-SIEDLCE
MOSTOSTAL-SIEDLCE
MOSTOSTAL-SIEDLCE
MOSTOSTAL-SIEDLCE
MOSTOSTAL-SIEDLCE
MOSTOSTAL-SIEDLCE
NTK-CABLES
NTK-CABLES
NTK-CABLES
PAMAR
735 PAMAR
736
737
738
739
740
741
742
743
744
745
746
747
748
749
750
751
752
753
754
755
756
757
758
759
760
761
762
763
764
765
766
767
768
769
770
771
772
773
774
775
776
777
778
779
780
781
782
783
784
PAMAR
PATEREK
PATEREK
PATEREK
PATEREK
PATEREK
PATEREK
PATEREK
PATEREK
PATEREK
PATEREK
PATEREK
PATEREK
PATEREK
PATEREK
PATEREK
PATEREK
PATEREK
PATEREK
PATEREK
PATEREK
PATEREK
PATEREK
PATEREK
PATEREK
PATEREK
PATEREK
PATEREK
PATEREK
PATEREK
PATEREK
PATEREK
PATEREK
PATEREK
PATEREK
PATEREK
PATEREK
PATEREK
PATEREK
PATEREK
PATEREK
PATEREK
PATEREK
PATEREK
PATEREK
PATEREK
PATEREK
PATEREK
PATEREK
Nr. w kat.
'KOLPROJEKT'
Opis produktu
Słup trakcyjny
Słup trakcyjny
Słup trakcyjny
Słup trakcyjny
Słup trakcyjny
Słup trakcyjny
Słup trakcyjny
Słup trakcyjny
Słup trakcyjny
Segment słupa
Przewód miedziany
Przewód jezdny
Przewód jezdny
Łącznik szynowy
Preparat przeciwoblodzeniowy oraz przeciwoszronieniowy
sieci trakcyjnej
Urządzenie aplikujące
Odciąg prętowy słupa kotwowego
Odciąg prętowy słupa kotwowego
Odciąg prętowy słupa kotwowego
Odciąg prętowy słupa kotwowego
Odciąg prętowy słupa kotwowego
Odciąg prętowy słupa kotwowego
Słup trakcyjny
Słup trakcyjny
Słup trakcyjny
Słup trakcyjny
Słup trakcyjny
Słup trakcyjny
Słup trakcyjny
Słup trakcyjny
Słup trakcyjny
Słup trakcyjny
Słup trakcyjny
Słup trakcyjny
Połączenie międzysegmentowe
Słup trakcyjny
Słup trakcyjny
Konstrukcje wsporcze sieci trakcyjnej
Słup trakcyjny
Segment słupa
Segment słupa
Konstrukcje wsporcze sieci trakcyjnej
Słup trakcyjny
Słup trakcyjny
Wysięg przez dwa tory
Połączenie międzysegmentowe
Słup trakcyjny
Segment słupa
Opaska do mocowania na słupach
Segment dźwigara
Segment dźwigara
Segment dźwigara
Segment dźwigara
Segment dźwigara
Segment dźwigara
Segment dźwigara
Segment dźwigara
Segment dźwigara
Segment dźwigara
Segment dźwigara
Segment dźwigara
Segment dźwigara
Segment dźwigara
Segment dźwigara
krańcowy bramki
krańcowy bramki
krańcowy bramki
krańcowy bramki
krańcowy bramki
krańcowy bramki
krańcowy bramki
krańcowy bramki
krańcowy bramki
bramkowego
wielodrutowy goły
9,5 m, na jeden fundament
8,2 m, na dwa fundamenty
9,0 m, na dwa fundamenty
9,4 m, na dwa fundamenty
8,2 m, na dwa fundamenty
9,0 m, na dwa fundamenty
9,5 m, na dwa fundamenty
11,7 m górniczy
9,3 m górniczy
1,66 m
3117
3121
3122
3123
3125
3126
3127
3833
3837
3839
9811-1 ,2, 3, 6, 7, 8
9871-1, 3
9872-1, 3
PP
PAMAR PO
PAMAR UA-1
z kratą trójkątną
z kratą trójkątną
z kratą trójkątną
z kratą trójkątną
z kratą trójkątną
z kratą trójkątną
z kratą trójkątną
z kratą trójkątną
z kratą trójkątną
z kratą trójkątną
z kratą trójkątną
indywidualny
słupów
dwuteownikowy
z kratą trójkątną
9,0 m
9,4 m
10,3 m
11,7 m
9,4 m
9,8 m
9,8 m
8,2 m
7,8 m
7,4 m
9,8 m, z pręta okr.
Nowa generacja k. w.
z kratą trójkątną
indywidualnego i bramki
indywidualnego i bramki
11,8 m na tereny górnicze
1,8 m na tereny górnicze
na podkopy górnicze
kratowy
do wysięgu przez dwa tory
10,5 m dla wysięgu przez 2 t.
słupów kratowych przestrz.
kratowy przestrz. dla ter. górn.
kratowy przestrz. dla ter. górn.
tablic informacyjnych
środkowy
boczny
boczny
boczny
8,2 m
9,4 m na tereny górnicze
11,7 m
1,66 m
Nowa generacja k. w.
Nowa generacja k. w.
Nowa generacja k. w.
Nowa generacja k. w.
Nowa generacja k. w.
Nowa generacja k. w.
Nowa generacja k. w.
Nowa generacja k. w.
Nowa generacja k. w.
Nowa generacja k. w.
Nowa generacja k. w.
Nowa generacja k. w.
11,0 m
11,7 m
10,8 m
9,9 m
Strona 13 z 25
1540
1550
1560
1570
1580
1590
1601
1602
1603
1604
1605
1607
1608
1611
1613
1614
1617
1631
1660
1665
1682
1683
1684
1689
1810
1820
1901
1902
1910
1960
1981
1989
2350
3001
3002
3003
3004
3005
3006
3007
3008
3009
3010
3011
3013
3017
3018
3019
Stan na dzień: 2016-05-17
Numer
dopuszczenia
Okres/data
ważności
Podstawa
dopuszczenia
b/n
b/n
b/n
b/n
b/n
b/n
b/n
b/n
b/n
b/n
b/n
b/n
b/n
b/n
nie nadano
nie nadano
nie nadano
nie nadano
nie nadano
nie nadano
nie nadano
nie nadano
nie nadano
nie nadano
nie nadano
nie nadano
nie nadano
nie nadano
Starsze - SIEC
Starsze - SIEC
Starsze - SIEC
Starsze - SIEC
Starsze - SIEC
Starsze - SIEC
Starsze - SIEC
Starsze - SIEC
Starsze - SIEC
Starsze - SIEC
Starsze - SIEC
Starsze - SIEC
Starsze - SIEC
Starsze - SIEC
D/IEN/04/2014
2019-05-14
PW-17
D/IEN/04/2014
b/n
b/n
b/n
b/n
b/n
b/n
b/n
b/n
b/n
b/n
b/n
b/n
b/n
b/n
b/n
b/n
b/n
b/n
b/n
b/n
b/n
b/n
b/n
b/n
b/n
b/n
b/n
b/n
b/n
b/n
b/n
b/n
b/n
b/n
b/n
b/n
b/n
b/n
b/n
b/n
b/n
b/n
b/n
b/n
b/n
b/n
b/n
b/n
2019-05-14
nie nadano
nie nadano
nie nadano
nie nadano
nie nadano
nie nadano
nie nadano
nie nadano
nie nadano
nie nadano
nie nadano
nie nadano
nie nadano
nie nadano
nie nadano
nie nadano
nie nadano
nie nadano
nie nadano
nie nadano
nie nadano
nie nadano
nie nadano
nie nadano
nie nadano
nie nadano
nie nadano
nie nadano
nie nadano
nie nadano
nie nadano
nie nadano
nie nadano
nie nadano
nie nadano
nie nadano
nie nadano
nie nadano
nie nadano
nie nadano
nie nadano
nie nadano
nie nadano
nie nadano
nie nadano
nie nadano
nie nadano
nie nadano
PW-17
Starsze - SIEC
Starsze - SIEC
Starsze - SIEC
Starsze - SIEC
Starsze - SIEC
Starsze - SIEC
Starsze - SIEC
Starsze - SIEC
Starsze - SIEC
Starsze - SIEC
Starsze - SIEC
Starsze - SIEC
Starsze - SIEC
Starsze - SIEC
Starsze - SIEC
Starsze - SIEC
Starsze - SIEC
Starsze - SIEC
Starsze - SIEC
Starsze - SIEC
Starsze - SIEC
Starsze - SIEC
Starsze - SIEC
Starsze - SIEC
Starsze - SIEC
Starsze - SIEC
Starsze - SIEC
Starsze - SIEC
Starsze - SIEC
Starsze - SIEC
Starsze - SIEC
Starsze - SIEC
Starsze - SIEC
Starsze - SIEC
Starsze - SIEC
Starsze - SIEC
Starsze - SIEC
Starsze - SIEC
Starsze - SIEC
Starsze - SIEC
Starsze - SIEC
Starsze - SIEC
Starsze - SIEC
Starsze - SIEC
Starsze - SIEC
Starsze - SIEC
Starsze - SIEC
Starsze - SIEC
Data ost.
Zmiany
Uwagi
*3)
*3)
*3)
*3)
*3)
*3)
*3)
*3)
*3)
*3)
160413
160413
160413
160413
160413
160413
160413
160413
160413
160413
160413
160322
160322
160413
160413
160413
160413
160415
160413
160415
160413
160413
160413
160413
160414
160414
160414
160414
Nr. katal. proponowany
DOPUSZCZANIE ELEMENTÓW PODSYSTEMÓW I TECHNOLOGII PRZEZNACZONYCH DO STOSOWANIA NA LINIACH KOLEJOWYCH ZARZĄDZANYCH PRZEZ PKP POLSKIE LINIE KOLEJOWE S.A.
Wspólna lista Dopuszczeń wydanych wg. Procedury SMS PW-17 oraz procedur wcześniejszych – branża elektroenergetyki.
Lp.
785
786
787
788
789
790
791
792
793
794
795
796
797
798
799
800
801
802
803
804
805
806
807
808
809
810
811
812
813
814
815
816
817
818
819
820
821
822
823
824
825
826
827
828
829
830
831
Logo podmiotu lub nazwa
skrócona *3)
PATEREK
PATEREK
PATEREK
PATEREK
PATEREK
PATEREK
PATEREK
PATEREK
PATEREK
PATEREK
PATEREK
PATEREK
PATEREK
PATEREK
PATEREK
PATEREK
PATEREK
PATEREK
PATEREK
PATEREK
PATEREK
PATEREK
PATEREK
PATEREK
PATEREK
PATEREK
PATEREK
PATEREK
PATEREK
PATEREK
PATEREK
PATEREK
PATEREK
PATEREK
PATEREK
PATEREK
PATEREK
PATEREK
PATEREK
PATEREK
PATEREK
PATEREK
PATEREK
PATEREK
PATEREK
PATEREK
PATEREK
Nr. w kat.
'KOLPROJEKT'
Opis produktu
Stan na dzień: 2016-05-17
Numer
dopuszczenia
Okres/data
ważności
Podstawa
dopuszczenia
Data ost.
Zmiany
b/n
b/n
b/n
b/n
b/n
b/n
b/n
b/n
b/n
b/n
b/n
b/n
b/n
b/n
b/n
b/n
b/n
b/n
b/n
b/n
b/n
b/n
b/n
b/n
b/n
b/n
b/n
b/n
b/n
b/n
b/n
b/n
b/n
b/n
b/n
b/n
b/n
b/n
b/n
b/n
b/n
b/n
b/n
b/n
b/n
b/n
b/n
nie nadano
nie nadano
nie nadano
nie nadano
nie nadano
nie nadano
nie nadano
nie nadano
nie nadano
nie nadano
nie nadano
nie nadano
nie nadano
nie nadano
nie nadano
nie nadano
nie nadano
nie nadano
nie nadano
nie nadano
nie nadano
nie nadano
nie nadano
nie nadano
nie nadano
nie nadano
nie nadano
nie nadano
nie nadano
nie nadano
nie nadano
nie nadano
nie nadano
nie nadano
nie nadano
nie nadano
nie nadano
nie nadano
nie nadano
nie nadano
nie nadano
nie nadano
nie nadano
nie nadano
nie nadano
nie nadano
nie nadano
Starsze - SIEC
Starsze - SIEC
Starsze - SIEC
Starsze - SIEC
Starsze - SIEC
Starsze - SIEC
Starsze - SIEC
Starsze - SIEC
Starsze - SIEC
Starsze - SIEC
Starsze - SIEC
Starsze - SIEC
Starsze - SIEC
Starsze - SIEC
Starsze - SIEC
Starsze - SIEC
Starsze - SIEC
Starsze - SIEC
Starsze - SIEC
Starsze - SIEC
Starsze - SIEC
Starsze - SIEC
Starsze - SIEC
Starsze - SIEC
Starsze - SIEC
Starsze - SIEC
Starsze - SIEC
Starsze - SIEC
Starsze - SIEC
Starsze - SIEC
Starsze - SIEC
Starsze - SIEC
Starsze - SIEC
Starsze - SIEC
Starsze - SIEC
Starsze - SIEC
Starsze - SIEC
Starsze - SIEC
Starsze - SIEC
Starsze - SIEC
Starsze - SIEC
Starsze - SIEC
Starsze - SIEC
Starsze - SIEC
Starsze - SIEC
Starsze - SIEC
Starsze - SIEC
160414
160414
160414
160414
160414
160414
160414
160414
160414
160414
160414
160414
160414
160414
Segment dźwigara
Segment dźwigara
Segment dźwigara
Segment dźwigara
Segment dźwigara
Segment dźwigara
Słup trakcyjny
Słup trakcyjny
Słup trakcyjny
Słup trakcyjny
Słup trakcyjny
Słup trakcyjny
Słup trakcyjny
Słup trakcyjny
Segment łączący
Okucia
Połączenia segmentu
Słup trakcyjny
Słup trakcyjny
Słup trakcyjny
Słup trakcyjny
Słup trakcyjny
Słup trakcyjny
Słup trakcyjny
Słup trakcyjny
Słup trakcyjny
Słup trakcyjny
Słup trakcyjny
Słup trakcyjny
Słup trakcyjny
Słup trakcyjny
Słup trakcyjny
Segment słupa
Okucia
Kotwienia odciągów i naciągów na słupach
Wsporniki ukośników
Uchwyt izolatora odciągu wysięgu
Konstrukcje pod odłącznik
Prowadnice drążka napędowego odłączników
Konstrukcje mocujące skrzynkę napędową
Konstrukcje mocujące skrzynkę napędową
Wspornik do dźwigara bramki
Wspornik do dźwigara bramki
Konstrukcja
Uchwyt prowadnic ciężarów naprężających
Wspornik
Opaski do montażu zwierników
boczny
boczny
boczny
boczny
boczny
boczny
przelotowo-krańcowy bramki
krańcowy bramki
przelotowo-krańcowy bramki
krańcowy bramki
przelotowo-krańcowy bramki
krańcowy bramki
przelotowo-krańcowy bramki
krańcowy bramki
liny uszyniającej
Nowa generacja k. w.
Nowa generacja k. w.
Nowa generacja k. w.
3020
3021
3022
3023
3024
3025
3031
3032
3033
3034
3035
3036
3037
3038
3040
3050
3060
3111
3112
3113
3115
3116
3117
3121
3122
3123
3125
3126
3127
3151
3833
3837
3839
3850
4540
4610
4620
4750
4770
4780
4790
4850
4850
4870
5090
6120
6810
832 PATEREK
Uchwyt
do mocowania przewodu uszynienia
Nowa generacja k. w.
6830
b/n
nie nadano
Starsze - SIEC
833
834
835
836
837
838
839
840
841
842
843
844
845
846
847
848
Odgromnik rożkowy
Izolator trakcyjny kompozytowy
Izolator trakcyjny kompozytowy
Samoczynny system naprężania sieci trakcyjnej
Samoczynny system naprężania sieci trakcyjnej
Uchwyt przegubowy
Złączka
Uchwyt odległościowy
Uchwyt wieszakowy
Uchwyt
Uchwyt równoległy
Uchwyt równoległy
Uchwyt równoległy
Oprawa oświetleniowa
Oprawa oświetleniowa
Oprawa oświetleniowa
Nowa generacja k. w.
SILCOSIL 25 kV
SILCOSIL 3 kV
TENSOREX®
TENSOREX® C+
G1T
302.537.537
G1T-2
305.859.POL
23.5530 VKP V1
(150-70) GPF 2-70/150
(150-95) GPF 2-70/150
GPF 70/150
OPTIFLOOD MVP506
OPTIVISION MVP507
PACYFIC TCW216
7310
b/n
b/n
b/n
b/n
b/n
b/n
b/n
b/n
b/n
b/n
b/n
b/n
b/n
b/n
b/n
b/n
nie nadano
nie nadano
nie nadano
nie nadano
nie nadano
nie nadano
nie nadano
nie nadano
nie nadano
nie nadano
nie nadano
nie nadano
nie nadano
nie nadano
nie nadano
nie nadano
Starsze - SIEC
Starsze - SIEC
Starsze - SIEC
Starsze - SIEC
Starsze - SIEC
Starsze - SIEC
Starsze - SIEC
Starsze - SIEC
Starsze - SIEC
Starsze - SIEC
Starsze - SIEC
Starsze - SIEC
Starsze - SIEC
Starsze - OSW
Starsze - OSW
Starsze - OSW
PATEREK
PFISTERER
PFISTERER
PFISTERER
PFISTERER
PFISTERER
PFISTERER
PFISTERER
PFISTERER
PFISTERER
PFISTERER
PFISTERER
PFISTERER
PHILIPS_PL
PHILIPS_PL
PHILIPS_PL
dźwigara bramki
dźwigara bramki
przelotowo-krańcowy bramki
przelotowo-krańcowy bramki
przelotowo-krańcowy bramki
przelotowo-krańcowy bramki
krańcowy bramki
krańcowy bramki
krańcowy bramki
krańcowy bramki
krańcowy bramki
krańcowy bramki
krańcowy bramki
krańcowy bramki
bramkowy
krańcowy bramki
krańcowy bramki
bramkowego
dźwigara bramki
jednostronne
jednostronny
- napęd silnikowy
odłącznika
i słupa przez dwa tory
i słupa przez dwa tory
do podwieszenia izolatora
przewodu jezdnego
przewodu jezdnego
do przewodów jezdnych
uniwersalny
liny uelastyczniającej
do dwóch lin
do dwóch lin
przewodu jezdnego z liną nośną
7,6 m
7,1 m
6,2 m
5,3 m
4,8 m
3,9 m
10,7 m
10,5 m
11,5 m
11,3 m
8,7 m
8,5 m
11,9 m
11,7 m
Nowa generacja k. w.
8,2 m, na jeden fundament
9,0 m, na jeden fundament
9,5 m, na jeden fundament
8,2 m, na jeden fundament
9,0 m, na jeden fundament
9,5 m, na jeden fundament
8,2 m, na dwa fundamenty
9,0 m, na dwa fundamenty
9,4 m, na dwa fundamenty
8,2 m, na dwa fundamenty
9,0 m, na dwa fundamenty
9,5 m, na dwa fundamenty
Nowa generacja k. w.
11,7 m górniczy
9,3 m górniczy
1,66 m
wahliwo-przesuwne
Nowa generacja k. w.
Nowa generacja k. w.
Nowa generacja k. w.
Nowa generacja k. w.
Nowa generacja k. w.
Nowa generacja k. w.
Nowa generacja k. w.
Nowa generacja k. w.
Strona 14 z 25
4130-2
5210-4
5300-1
5420-2
5530-8
5550-15
5550-16
6410-15
160413
160413
160322
160415
160415
160415
160415
160415
Uwagi
DOPUSZCZANIE ELEMENTÓW PODSYSTEMÓW I TECHNOLOGII PRZEZNACZONYCH DO STOSOWANIA NA LINIACH KOLEJOWYCH ZARZĄDZANYCH PRZEZ PKP POLSKIE LINIE KOLEJOWE S.A.
Wspólna lista Dopuszczeń wydanych wg. Procedury SMS PW-17 oraz procedur wcześniejszych – branża elektroenergetyki.
Lp.
849
850
851
852
853
854
855
856
857
858
859
860
861
862
863
864
865
866
867
868
869
870
871
872
873
874
875
876
877
878
879
880
881
882
883
884
885
886
887
888
889
890
891
892
893
894
895
896
897
898
899
900
901
902
903
904
905
906
907
908
909
910
911
912
913
Logo podmiotu lub nazwa
skrócona *3)
PHILIPS_PL
PHILIPS_PL
PHILIPS_PL
PINTSCH
PKP-EN_MAZ
PKP-EN_MAZ
PKP-EN_OU_W-WA
PKP-EN_OU_W-WA
PKP-EN_OU_W-WA
PKP-EN_OU_W-WA
PKP-EN_OU_W-WA
PKP-EN_PLN
PKP-EN_SLO
PKP-EN_SLO
PKP-EN_SLO
PKP-EN_SWI
PKP-EN_SWI
PKP-EN_SWI
PKP-EN_SWI
PKP-EN_WSC
PKP-EN_WSC
PKP-EN_WSC
PKP-EN_WSC
PKP-EN_WSC
PKP-EN_WSC
PKP-EN_WSC
PKP-EN_WSC
PKP-EN_WSC
POLCYNK
POLCYNK
POLCYNK
POLCYNK
POLCYNK
POLCYNK
POLCYNK
POLCYNK
POLCYNK
POLCYNK
POLCYNK
POLCYNK
POLCYNK
POLCYNK
POLCYNK
POLCYNK
POLCYNK
POLCYNK
POLCYNK
POLCYNK
POLCYNK
POLCYNK
POLCYNK
POLCYNK
POLCYNK
POLCYNK
POLCYNK
POLCYNK
POLCYNK
POLCYNK
POLCYNK
POLCYNK
POLCYNK
POLCYNK
POLCYNK
POLCYNK
POLCYNK
Nr. w kat.
'KOLPROJEKT'
Opis produktu
Oprawa oświetleniowa
Oprawa oświetleniowa
Oprawa oświetleniowa
EOR System
Zacisk
Połączenia uszyniające
Uchwyt przegubowy
Uchwyt przegubowy
Uchwyt równoległy
Uchwyt równoległy
Uchwyt równoległy
Oprawa oświetleniowa
Uchwyt rolek linowych
Cięgła linowe urządzenia naprężającego
Odgromnik rożkowy
Łącznik szynowy
Łącznik szynowy
Łącznik szynowy
Połączenia uszyniające
Słup trakcyjny
Zabezpieczenie urządzenia naprężającego
Łącznik podwójny
Zacisk
Połączenia uszyniające
Ukośnik rurowy
Odciąg ukośnika
Ramię odciągowe
Izolator trakcyjny
Odciąg prętowy słupa kotwowego
Odciąg prętowy słupa kotwowego
Odciąg prętowy słupa kotwowego
Słup trakcyjny
Słup trakcyjny
Słup trakcyjny
Słup trakcyjny
Słup trakcyjny
Słup trakcyjny
Słup trakcyjny
Wysięg przez dwa tory
Segment dźwigara
Segment dźwigara
Segment dźwigara
Segment dźwigara
Segment dźwigara
Segment dźwigara
Segment dźwigara
Segment dźwigara
Segment dźwigara
Segment dźwigara
Słup trakcyjny
Słup trakcyjny
Słup trakcyjny
Słup trakcyjny
Słup trakcyjny
Słup trakcyjny
Słup trakcyjny
Słup trakcyjny
Słup trakcyjny
Słup trakcyjny
Słup trakcyjny
Słup trakcyjny
Słup trakcyjny
Słup trakcyjny
Słup trakcyjny
Słup trakcyjny
Modułowy syst. ogrz. rozjazdów
uszyniający do lin
prętem Fe w izolacji
do przewodu jezdnego
przewodu jezdnego
do dwóch lin
do dwóch lin
do dwóch lin
strop/sufit; pod zadaszeniem
podłużny
z linki Cu 95 bez izolacji
z linki Cu 95 w izolacji
prętem Fe w izolacji
z kratą trójkątną
SELENIUM SGP 340 FG
TEMPO 2 RVP251
TEMPO 3 RVP351
PINTSCH ABEN-ATE typu INSV
4110-1
4130-1
5500-5
5500-6
5500-7
MULTIPLA 36W
8,2 m
uszyniający do lin
prętem Fe w izolacji
cięgnowy z żywic organicznych
z kratą trójkątną
z kratą trójkątną
z kratą trójkątną
z kratą trójkątną
dwuteownikowy
dwuteownikowy
kratowy
9,8 m
8,2 m
7,8 m
7,4 m
8,2 m
7,4 m
10,5 m dla wysięgu przez 2 t.
środkowy
boczny
boczny
boczny
boczny
boczny
boczny
boczny
boczny
boczny
przelotowo-krańcowy bramki
krańcowy bramki
przelotowo-krańcowy bramki
krańcowy bramki
przelotowo-krańcowy bramki
krańcowy bramki
przelotowo-krańcowy bramki
krańcowy bramki
przelotowo-krańcowy bramki
przelotowo-krańcowy bramki
przelotowo-krańcowy bramki
przelotowo-krańcowy bramki
krańcowy bramki
krańcowy bramki
krańcowy bramki
krańcowy bramki
11,0 m
11,7 m
10,8 m
9,9 m
7,6 m
7,1 m
6,2 m
5,3 m
4,8 m
3,9 m
10,7 m
10,5 m
11,5 m
11,3 m
8,7 m
8,5 m
11,9 m
11,7 m
8,2 m, na jeden fundament
9,0 m, na jeden fundament
9,5 m, na jeden fundament
8,2 m, na jeden fundament
9,0 m, na jeden fundament
9,5 m, na jeden fundament
8,2 m, na dwa fundamenty
9,0 m, na dwa fundamenty
Strona 15 z 25
5670
5840-1, 2
4110-1
4130-1
5500-5, 6, 7
5560-5
5570-5 ÷ 6
4440
4490
7310
5810
5820-1, 2
5830-1, 2
5840-1, 2
1611
4600
4720
5670
5840
6001
6002
6201
7150
1540
1550
1560
1608
1611
1613
1614
1665
1667
1901
1910
3013
3017
3018
3019
3020
3021
3022
3023
3024
3025
3031
3032
3033
3034
3035
3036
3037
3038
3111
3112
3113
3115
3116
3117
3121
3122
Numer
dopuszczenia
b/n
b/n
b/n
U/2009/0103
b/n
b/n
D/IEN/01/2014
D/IEN/01/2014
D - 3/IEN/3/2013
D - 3/IEN/3/2013
D - 3/IEN/3/2013
D/IEN/30/2015
b/n
b/n
b/n
b/n
b/n
b/n
b/n
b/n
b/n
b/n
b/n
b/n
b/n
b/n
b/n
b/n
b/n
b/n
b/n
b/n
b/n
b/n
b/n
b/n
b/n
b/n
b/n
b/n
b/n
b/n
b/n
b/n
b/n
b/n
b/n
b/n
b/n
b/n
b/n
b/n
b/n
b/n
b/n
b/n
b/n
b/n
b/n
b/n
b/n
b/n
b/n
b/n
b/n
Stan na dzień: 2016-05-17
Okres/data
ważności
Podstawa
dopuszczenia
nie nadano
nie nadano
nie nadano
bezterminowo
nie nadano
nie nadano
bezterminowo
bezterminowo
bezterminowo
bezterminowo
bezterminowo
2020-11-30
nie nadano
nie nadano
nie nadano
nie nadano
nie nadano
nie nadano
nie nadano
nie nadano
nie nadano
nie nadano
nie nadano
nie nadano
nie nadano
nie nadano
nie nadano
nie nadano
nie nadano
nie nadano
nie nadano
nie nadano
nie nadano
nie nadano
nie nadano
nie nadano
nie nadano
nie nadano
nie nadano
nie nadano
nie nadano
nie nadano
nie nadano
nie nadano
nie nadano
nie nadano
nie nadano
nie nadano
nie nadano
nie nadano
nie nadano
nie nadano
nie nadano
nie nadano
nie nadano
nie nadano
nie nadano
nie nadano
nie nadano
nie nadano
nie nadano
nie nadano
nie nadano
nie nadano
nie nadano
Starsze - OSW
Starsze - OSW
Starsze - OSW
wg. Świadectwa UTK
Starsze - SIEC
Starsze - SIEC
PW-17
PW-17
PW-17
PW-17
PW-17
PW-17
Starsze - SIEC
Starsze - SIEC
Starsze - SIEC
Starsze - SIEC
Starsze - SIEC
Starsze - SIEC
Starsze - SIEC
Starsze - SIEC
Starsze - SIEC
Starsze - SIEC
Starsze - SIEC
Starsze - SIEC
Starsze - SIEC
Starsze - SIEC
Starsze - SIEC
Starsze - SIEC
Starsze - SIEC
Starsze - SIEC
Starsze - SIEC
Starsze - SIEC
Starsze - SIEC
Starsze - SIEC
Starsze - SIEC
Starsze - SIEC
Starsze - SIEC
Starsze - SIEC
Starsze - SIEC
Starsze - SIEC
Starsze - SIEC
Starsze - SIEC
Starsze - SIEC
Starsze - SIEC
Starsze - SIEC
Starsze - SIEC
Starsze - SIEC
Starsze - SIEC
Starsze - SIEC
Starsze - SIEC
Starsze - SIEC
Starsze - SIEC
Starsze - SIEC
Starsze - SIEC
Starsze - SIEC
Starsze - SIEC
Starsze - SIEC
Starsze - SIEC
Starsze - SIEC
Starsze - SIEC
Starsze - SIEC
Starsze - SIEC
Starsze - SIEC
Starsze - SIEC
Starsze - SIEC
Data ost.
Zmiany
160425
160415
160420
160413
160413
160413
160413
160413
160413
160413
160413
160413
160414
160414
160414
160414
160414
160414
160414
160414
160414
160414
160414
160414
160414
160414
160414
160414
160414
160414
Uwagi
DOPUSZCZANIE ELEMENTÓW PODSYSTEMÓW I TECHNOLOGII PRZEZNACZONYCH DO STOSOWANIA NA LINIACH KOLEJOWYCH ZARZĄDZANYCH PRZEZ PKP POLSKIE LINIE KOLEJOWE S.A.
Wspólna lista Dopuszczeń wydanych wg. Procedury SMS PW-17 oraz procedur wcześniejszych – branża elektroenergetyki.
Lp.
914
915
916
917
Logo podmiotu lub nazwa
skrócona *3)
POLCYNK
POLCYNK
POLCYNK
POLCYNK
Nr. w kat.
'KOLPROJEKT'
Opis produktu
3123
3125
3126
3127
Numer
dopuszczenia
Okres/data
ważności
Podstawa
dopuszczenia
b/n
b/n
b/n
b/n
nie nadano
nie nadano
nie nadano
nie nadano
Starsze - SIEC
Starsze - SIEC
Starsze - SIEC
Starsze - SIEC
2021-01-31
PW-17
b/n
nie nadano
Starsze - SIEC
Słup trakcyjny
Słup trakcyjny
Słup trakcyjny
Słup trakcyjny
Preparat przeciwoblodzeniowy oraz przeciwoszronieniowy
sieci trakcyjnej
krańcowy bramki
krańcowy bramki
krańcowy bramki
krańcowy bramki
919 PUMECH
Słup trakcyjny
z kratą trójkątną
8,2 m
920 RABBIT
921 RABBIT
922 RABBIT
System zarządzania i monitoringu
Zegar astronomiczny
Zegar astronomiczny
z funkcją synchron. czasu GPS
z modemem komunikacji GSM
CPAnet
CPA5RC+GPS
CPA6.0+GSM
b/n
b/n
b/n
nie nadano
nie nadano
nie nadano
Starsze - OSW
Starsze - OSW
Starsze - OSW
923 RADPOL
Słup oświetleniowy
Strunobetonowa żerdź wirowana
EO
b/n
nie nadano
924 RADPOL
Słup oświetleniowy
Strunobetonowa żerdź wirowana
EOC
b/n
925 RADPOL
Słup trakcyjny
Strunobetonowa żerdź wirowana
ETK1, ETK2, ETK3,
ETK11, ETK21, ETK31.
926 RADPOL
Izolator trakcyjny
ukośnika wysięgnika teownikowego
7010-1, 2
927
928
929
930
931
932
933
934
935
936
937
938
939
940
941
942
943
944
945
946
947
948
949
950
951
952
953
954
955
956
957
958
959
960
961
962
963
964
965
966
967
968
969
970
971
972
Izolator trakcyjny
Izolator trakcyjny
Izolator trakcyjny
Izolator trakcyjny
Izolator trakcyjny
Łącznik podwójny
Uchwyt krańcowy
Uchwyt krańcowy
Zacisk
Uchwyt równoległy
Uchwyt
Uchwyt równoległy
Uchwyt równoległy
Uchwyt równoległy
Odciąg prętowy słupa kotwowego
Odciąg prętowy słupa kotwowego
Odciąg prętowy słupa kotwowego
Odciąg prętowy słupa kotwowego
Odciąg prętowy słupa kotwowego
Słup trakcyjny
Słup trakcyjny
Uchwyt przegubowy
Uchwyt przegubowy wysięgnikowy
Uchwyt przegubowy
Uchwyt podwieszeniowy
Uchwyt podwieszeniowy
Uchwyt przelotowy sztywny
Wyrównywacz przewodów jezdnych
Śruba rzymska
Przegubowy uchwyt
Uchwyt rolek linowych
Przegubowy uchwyt
Rolka linowa
Prowadnice ciężarów naprężających
Cięgła linowe urządzenia naprężającego
Uchwyt mocujący
Uchwyt do kotwień
Zabezpieczenie urządzenia naprężającego
Wsporniki ukośników
Uchwyt izolatora odciągu wysięgu
Uchwyt słupowy izolatora
Wsporniki ukośników
Uchwyt izolatora odciągu wysięgu
Uchwyt słupowy izolatora
Wsporniki ukośników
Łącznik kabłąkowy
odciągu wysięgnika
podwieszeniowy
podwieszeniowy
ukośnika wysięgnika rurowego
liniowy
7020-1
7030-1
7040-1
7100
7200
4720-2
5110-1
5120-5 ÷ 8
5400-5 ÷ 7
5500-5, 6, 7
5520-6, 7
5550-5, 6
5560-5
5570-5, 6
1540-1 ÷ 3
1550-1 ÷ 3
1560-1 ÷ 3
1570-2
1580-2
1611-1÷5
1665-1 ÷ 4
4110-1
4120-1 ÷ 4
4130-1
4140-1 ÷ 2
4150-1
4160-1
4410-1
4420-1
4430-1
4440-1 ÷ 7
4450-1
4460-1 ÷ 3
4470-1 ÷ 4
4490-1 ÷ 3
4560-1
4570-1
4600-1, 2
4610-1 ÷ 8, 10
4620-1 ÷ 8, 10
4630-1 ÷ 8, 10
4640- 5, 7, 8, 10
4650- 5, 7, 8, 10
4660- 5, 7, 8, 10
4670-5, 7, 8, 10
4700-1
918 POLFRANS_ORAPI
RADPOL
RADPOL
RADPOL
RADPOL
RADPOL
RIBE
RIBE
RIBE
RIBE
RIBE
RIBE
RIBE
RIBE
RIBE
R-K-O-S
R-K-O-S
R-K-O-S
R-K-O-S
R-K-O-S
R-K-O-S
R-K-O-S
R-K-O-S
R-K-O-S
R-K-O-S
R-K-O-S
R-K-O-S
R-K-O-S
R-K-O-S
R-K-O-S
R-K-O-S
R-K-O-S
R-K-O-S
R-K-O-S
R-K-O-S
R-K-O-S
R-K-O-S
R-K-O-S
R-K-O-S
R-K-O-S
R-K-O-S
R-K-O-S
R-K-O-S
R-K-O-S
R-K-O-S
R-K-O-S
R-K-O-S
9,4 m, na dwa fundamenty
8,2 m, na dwa fundamenty
9,0 m, na dwa fundamenty
9,5 m, na dwa fundamenty
Stan na dzień: 2016-05-17
ORAPI WR+ (805)
klinowy do przewodów jezdnych
klinowy
równoległy lina, przewód jezdny
do dwóch lin
liny uelastyczniającej
do dwóch lin
do dwóch lin
do dwóch lin
z kratą trójkątną
dwuteownikowy
do przewodu jezdnego
do przewodu jezdnego
przewodu jezdnego
do lin nośnych
do lin nośnych
do lin nośnych
1611-11÷15
170
100
do lin nośnych
8,2 m
8,2 m
do kotwienia przewodów
rolki linowej
prowadnice na słupach bramek
na słupach przestrzennych
jednostronne
jednostronny
jednostronny
dwustronne
dwustronny
dwustronny
z uchwytami
D/IEN/01/2016
izolatora odciągu wysięgu
Strona 16 z 25
Data ost.
Zmiany
Uwagi
160413
uznanie po dawnym
podwykonawstwie
Starsze - OSW
160322
Uznanie po f-mie WIRBET
nie nadano
Starsze - OSW
160224
Uznanie po f-mie WIRBET
2020-11-30
PW-17
b/n
nie nadano
Starsze - SIEC
b/n
b/n
b/n
b/n
b/n
b/n
b/n
b/n
b/n
b/n
b/n
b/n
b/n
b/n
b/n
b/n
b/n
b/n
b/n
b/n
b/n
b/n
b/n
b/n
b/n
b/n
b/n
b/n
b/n
b/n
b/n
b/n
b/n
b/n
b/n
b/n
b/n
b/n
b/n
b/n
b/n
b/n
b/n
b/n
b/n
b/n
nie nadano
nie nadano
nie nadano
nie nadano
nie nadano
nie nadano
nie nadano
nie nadano
nie nadano
nie nadano
nie nadano
nie nadano
nie nadano
nie nadano
nie nadano
nie nadano
nie nadano
nie nadano
nie nadano
nie nadano
nie nadano
nie nadano
nie nadano
nie nadano
nie nadano
nie nadano
nie nadano
nie nadano
nie nadano
nie nadano
nie nadano
nie nadano
nie nadano
nie nadano
nie nadano
nie nadano
nie nadano
nie nadano
nie nadano
nie nadano
nie nadano
nie nadano
nie nadano
nie nadano
nie nadano
nie nadano
Starsze - SIEC
Starsze - SIEC
Starsze - SIEC
Starsze - SIEC
Starsze - SIEC
Starsze - SIEC
Starsze - SIEC
Starsze - SIEC
Starsze - SIEC
Starsze - SIEC
Starsze - SIEC
Starsze - SIEC
Starsze - SIEC
Starsze - SIEC
Starsze - SIEC
Starsze - SIEC
Starsze - SIEC
Starsze - SIEC
Starsze - SIEC
Starsze - SIEC
Starsze - SIEC
Starsze - SIEC
Starsze - SIEC
Starsze - SIEC
Starsze - SIEC
Starsze - SIEC
Starsze - SIEC
Starsze - SIEC
Starsze - SIEC
Starsze - SIEC
Starsze - SIEC
Starsze - SIEC
Starsze - SIEC
Starsze - SIEC
Starsze - SIEC
Starsze - SIEC
Starsze - SIEC
Starsze - SIEC
Starsze - SIEC
Starsze - SIEC
Starsze - SIEC
Starsze - SIEC
Starsze - SIEC
Starsze - SIEC
Starsze - SIEC
Starsze - SIEC
D/IEN/24/2015
Zaklad WIRBET
160413
160413
160415
DOPUSZCZANIE ELEMENTÓW PODSYSTEMÓW I TECHNOLOGII PRZEZNACZONYCH DO STOSOWANIA NA LINIACH KOLEJOWYCH ZARZĄDZANYCH PRZEZ PKP POLSKIE LINIE KOLEJOWE S.A.
Wspólna lista Dopuszczeń wydanych wg. Procedury SMS PW-17 oraz procedur wcześniejszych – branża elektroenergetyki.
Lp.
973
974
975
976
977
978
979
980
981
982
983
984
985
986
987
988
989
990
991
992
993
994
995
996
997
998
999
1000
1001
1002
1003
1004
1005
1006
1007
1008
1009
1010
1011
1012
1013
1014
1015
1016
1017
1018
1019
1020
1021
1022
1023
1024
1025
1026
1027
1028
1029
1030
1031
1032
1033
1034
1035
1036
1037
Logo podmiotu lub nazwa
skrócona *3)
R-K-O-S
R-K-O-S
R-K-O-S
R-K-O-S
R-K-O-S
R-K-O-S
R-K-O-S
R-K-O-S
R-K-O-S
R-K-O-S
R-K-O-S
R-K-O-S
R-K-O-S
R-K-O-S
R-K-O-S
R-K-O-S
R-K-O-S
R-K-O-S
R-K-O-S
R-K-O-S
R-K-O-S
R-K-O-S
R-K-O-S
R-K-O-S
R-K-O-S
R-K-O-S
R-K-O-S
R-K-O-S
R-K-O-S
R-K-O-S
R-K-O-S
R-K-O-S
R-K-O-S
R-K-O-S
R-K-O-S
R-K-O-S
R-K-O-S
R-K-O-S
R-K-O-S
R-K-O-S
R-K-O-S
R-K-O-S
R-K-O-S
R-K-O-S
R-K-O-S
R-K-O-S
R-K-O-S
R-K-O-S
R-K-O-S
R-K-O-S
R-K-O-S
R-K-O-S
R-K-O-S
R-K-O-S
R-K-O-S
R-K-O-S
R-K-O-S
R-K-O-S
R-K-O-S
R-K-O-S
ROSA
ROSA
ROSA
ROSA
SCHREDER_PL
Nr. w kat.
'KOLPROJEKT'
Opis produktu
Łącznik pojedynczy
Łącznik podwójny
Łącznik skręcony
Łącznik skręcony
Uchwyt rolek linowych
Uchwyt krańcowy
Uchwyt krańcowy
Uchwyt przelotowy
Uchwyt odciągowy
Złączka
Złączka
Uchwyt równoległy
Uchwyt odległościowy
Uchwyt równoległy
Uchwyt równoległy
Zacisk
Zacisk
Uchwyt
Uchwyt równoległy
Uchwyt równoległy
Uchwyt równoległy
Uchwyt równoległy
Zacisk
Zacisk
Zacisk
Łącznik szynowy
Łącznik szynowy
Łącznik szynowy
Połączenia uszyniające
Połączenia uszyniające
Połączenia uszyniające
Połączenie odłącznika z uszynieniem
Łącznik szynowy
Łącznik szynowy
Łącznik szynowy
Ukośnik rurowy
Odciąg ukośnika
Odciąg ukośnika
Odciąg ukośnika
Wysięgniki przewodu uszyniającego
Ramię odciągowe
Ramię odciągowe
Ramię odciągowe
Ramię odciągowe
Ramię odciągowe
Ramię odciągowe
Ramię odciągowe
Ramię odciągowe
Ramię odciągowe
Ramię odciągowe
Ciężar naprężający
Ciężar naprężający
Ciężar naprężający
Łącznik pojedynczy
Kołek gwintowany
Linka dławikowa z kołkiem
Uziom miedziowany
Odłącznik
Odłącznik
Skrzynka napędu ręcznego odłącznika
Oprawa oświetleniowa LED
Oprawa oświetleniowa LED
Oprawa oświetleniowa LED
Słup oświetleniowy
Oprawa oświetleniowa
75
170
450
wzdłużny
klinowy do przewodów jezdnych
liny nośnej
wahliwy żeliwny
przelotowy śrubowo -stożkowy
klinowa
stożkowa liny nośnej
podwójny
do 4 przew. Jezdnych
potrójny
rozjazdowy
równoległy lina, przewód jezdny
równoległy do dwóch lin
liny uelastyczniającej
do dwóch lin
do dwóch lin
do dwóch lin
do dwóch lin
mostkowy
uszyniający do lin
szynowy
podłużny
z linki Cu 95 bez izolacji
z linki Cu 95 w izolacji
prętem Fe w izolacji
linką Cu50 w izolacji
kablem YKY 1x50
linką L50
podłużny, z tulejką zaciskową
z linki Cu95 z tulejką zaciskową
z linki Cu95
Cu i Fe KUCA
Al. 120 dł. 300 mm
z tulejką zacisk. bez izolacji
z tulejką zacisk. w izolacji
rurowego nieprzechylnego
rurowego przechylnego
rurowego przechylnego
lekkie
proste
łukowe
proste
łukowe
specjalne rozjazdowe
specjalne łukowe
specjalne rozjazdowe
specjalne łukowe
z otworem owalnym
żeliwny
z betonu THIOCRETE
z betonu THIOCRETE
płaski
do połączeń szynowych
ze śrubą
ze stykiem uszyniającym
przejazdowa
anodowany
uliczna
URSA LED
COSMO LED
MAGNOLIA LED
SAL
IPSO
Strona 17 z 25
4710-1
4720-1, 2
4730-1
4740-1
5040-1 ÷ 3
5110-1 ÷ 4
5120-5 ÷ 8
5160-5, 7, 9, 0
5180-6, 7, 0
5210-1, 2
5250-5 ÷ 8
5340-1 ÷ 2
5350-1
5360-1
5380-1
5400-5 ÷ 7
5500-5 ÷ 7
5520-6 ÷ 8
5550-5, 6
5560-5
5570-5 ÷ 6
5580-8, 9
5590-1 ÷ 3
5670-1 ÷ 3
5680-1, 2
5810-1
5820-1, 2
5830-1, 2
5840-1, 2
5850-1, 2
5860-1, 2
5880-1
5910-1, 2
5920-1, 2
5930-1, 2
6001-1 ÷ 14
6002-1 ÷ 11
6007-1 ÷ 14
6008-1 ÷ 14
6130-1 ÷ 3
6201-1 ÷ 4
6202-1
6203-1
6204-1, 2
6205-1, 2
6206-1, 2
6207-1 + 3
6208-1 + 3
6209-1 + 3
6212-1
6321-1
6322-1
6323-1
6511-1
6850-1
6860-1 ÷ 3
6920-1 ÷ 3
7420-1
7430-1
7460-1
Stan na dzień: 2016-05-17
Numer
dopuszczenia
Okres/data
ważności
Podstawa
dopuszczenia
b/n
b/n
b/n
b/n
b/n
b/n
b/n
b/n
b/n
b/n
b/n
b/n
b/n
b/n
b/n
b/n
b/n
b/n
b/n
b/n
b/n
b/n
b/n
b/n
b/n
b/n
b/n
b/n
b/n
b/n
b/n
b/n
b/n
b/n
b/n
b/n
b/n
b/n
b/n
b/n
b/n
b/n
b/n
b/n
b/n
b/n
b/n
b/n
b/n
b/n
b/n
b/n
b/n
b/n
b/n
b/n
b/n
b/n
b/n
b/n
b/n
b/n
b/n
b/n
b/n
nie nadano
nie nadano
nie nadano
nie nadano
nie nadano
nie nadano
nie nadano
nie nadano
nie nadano
nie nadano
nie nadano
nie nadano
nie nadano
nie nadano
nie nadano
nie nadano
nie nadano
nie nadano
nie nadano
nie nadano
nie nadano
nie nadano
nie nadano
nie nadano
nie nadano
nie nadano
nie nadano
nie nadano
nie nadano
nie nadano
nie nadano
nie nadano
nie nadano
nie nadano
nie nadano
nie nadano
nie nadano
nie nadano
nie nadano
nie nadano
nie nadano
nie nadano
nie nadano
nie nadano
nie nadano
nie nadano
nie nadano
nie nadano
nie nadano
nie nadano
nie nadano
nie nadano
nie nadano
nie nadano
nie nadano
nie nadano
nie nadano
nie nadano
nie nadano
nie nadano
nie nadano
nie nadano
nie nadano
nie nadano
nie nadano
Starsze - SIEC
Starsze - SIEC
Starsze - SIEC
Starsze - SIEC
Starsze - SIEC
Starsze - SIEC
Starsze - SIEC
Starsze - SIEC
Starsze - SIEC
Starsze - SIEC
Starsze - SIEC
Starsze - SIEC
Starsze - SIEC
Starsze - SIEC
Starsze - SIEC
Starsze - SIEC
Starsze - SIEC
Starsze - SIEC
Starsze - SIEC
Starsze - SIEC
Starsze - SIEC
Starsze - SIEC
Starsze - SIEC
Starsze - SIEC
Starsze - SIEC
Starsze - SIEC
Starsze - SIEC
Starsze - SIEC
Starsze - SIEC
Starsze - SIEC
Starsze - SIEC
Starsze - SIEC
Starsze - SIEC
Starsze - SIEC
Starsze - SIEC
Starsze - SIEC
Starsze - SIEC
Starsze - SIEC
Starsze - SIEC
Starsze - SIEC
Starsze - SIEC
Starsze - SIEC
Starsze - SIEC
Starsze - SIEC
Starsze - SIEC
Starsze - SIEC
Starsze - SIEC
Starsze - SIEC
Starsze - SIEC
Starsze - SIEC
Starsze - SIEC
Starsze - SIEC
Starsze - SIEC
Starsze - SIEC
Starsze - SIEC
Starsze - SIEC
Starsze - SIEC
Starsze - SIEC
Starsze - SIEC
Starsze - SIEC
Starsze - OSW
Starsze - OSW
Starsze - OSW
Starsze - OSW
Starsze - OSW
Data ost.
Zmiany
160404
160322
Uwagi
PW-17 nie stosuje się.
DOPUSZCZANIE ELEMENTÓW PODSYSTEMÓW I TECHNOLOGII PRZEZNACZONYCH DO STOSOWANIA NA LINIACH KOLEJOWYCH ZARZĄDZANYCH PRZEZ PKP POLSKIE LINIE KOLEJOWE S.A.
Wspólna lista Dopuszczeń wydanych wg. Procedury SMS PW-17 oraz procedur wcześniejszych – branża elektroenergetyki.
Lp.
1038
1039
1040
1041
1042
1043
1044
1045
1046
1047
1048
1049
1050
1051
1052
1053
1054
1055
1056
1057
1058
1059
1060
1061
1062
1063
1064
1065
1066
1067
1068
1069
1070
1071
1072
1073
1074
1075
1076
1077
1078
1079
1080
1081
1082
1083
1084
1085
1086
1087
1088
1089
1090
1091
1092
1093
1094
1095
1096
1097
1098
Logo podmiotu lub nazwa
skrócona *3)
SCHREDER_SCHREDER
SCHREDER_SCHREDER
SESTO
SESTO
SFAMASZ
SFAMASZ
SFAMASZ
SFAMASZ
SFAMASZ
SPEC-MIN
STANMAR
STANMAR
STANMAR
STANMAR
STANMAR
STANMAR
STANMAR
STANMAR
STANMAR
STANMAR
STANMAR
STANMAR
STANMAR
STANMAR
STANMAR
STANMAR
STANMAR
STANMAR
STANMAR
STANMAR
STANMAR
STANMAR
STANMAR
STANMAR
STANMAR
STANMAR
STANMAR
STANMAR
STANMAR
STANMAR
STANMAR
STANMAR
STANMAR
STANMAR
STANMAR
STANMAR
STANMAR
STANMAR
STANMAR
STANMAR
STANMAR
STANMAR
STANMAR
STANMAR
STANMAR
STANMAR
STANMAR
STANMAR
STANMAR
STANMAR
STRUNOBET-MIGACZ
1099 STRUNOBET-MIGACZ
Nr. w kat.
'KOLPROJEKT'
Opis produktu
Oprawa oświetleniowa LED
Oprawa oświetleniowa LED
EOR System
Sterownik oświetlenia
Fundament palowy
Fundament palowy
Fundament palowy
Fundament palowy
Fundament palowy
Technologia wyburzania fundamentów
Linki dławikowe typu ALE
Łącznik szynowy
Przegubowy uchwyt
Uchwyt rolek linowych
Przegubowy uchwyt
Cięgła linowe urządzenia naprężającego
Zabezpieczenie urządzenia naprężającego
Wsporniki ukośników
Uchwyt izolatora odciągu wysięgu
Uchwyt słupowy izolatora
Wsporniki ukośników
Uchwyt izolatora odciągu wysięgu
Uchwyt słupowy izolatora
Wsporniki ukośników
Łącznik pojedynczy
Łącznik podwójny
Łącznik skręcony
Łącznik skręcony
Uchwyt krańcowy
Złączka
Uchwyt równoległy
Zacisk
Uchwyt wieszakowy
Uchwyt równoległy
Uchwyt równoległy
Uchwyt równoległy
Uchwyt
Uchwyt
Uchwyt
Uchwyt równoległy
Uchwyt równoległy
Uchwyt równoległy
Uchwyt równoległy
Uchwyt równoległy
Uchwyt równoległy
Uchwyt równoległy
Zacisk
Zacisk
Zacisk
Zacisk
Zacisk
Łącznik szynowy
Łącznik szynowy
Łącznik szynowy
Połączenia uszyniające
Łącznik szynowy
Łącznik szynowy
Łącznik szynowy
Kołek gwintowany
Linka dławikowa z kołkiem
Słup oświetleniowy
Słup trakcyjny
uliczna
uliczna
System ogrzewania rozjazdów
słupa trakcyjnego
słupa trakcyjnego
słupa trakcyjnego
odciągu prętowego
odciągu prętowego
konstrukcji wsporczych
podłużny
do kotwienia przewodów
Teceo-1
Teceo-2
NEO
EM1000MR
typu MI
typu MII
typu MIII
typu MI-K
typu MIII-K
metodą minerską
typu ALFe 185
rolki linowej
jednostronne
jednostronny
jednostronny
dwustronne
dwustronny
dwustronny
z uchwytami
lin nośnych 70÷150
stożkowa liny nośnej
rozjazdowy
równoległy lina, przewód jezdny
uniwersalny
do dwóch lin
do dwóch lin
do dwóch lin
liny uelastyczniającej
liny uelastyczniającej
liny uelastyczniającej
do dwóch lin
do dwóch lin
do dwóch lin
do dwóch lin
do dwóch lin
do dwóch lin
do dwóch lin
mostkowy
mostkowy
mostkowy
uszyniający do lin
szynowy
podłużny
z linki Cu 95 bez izolacji
z linki Cu 95 w izolacji
prętem Fe w izolacji
podłużny, z tulejką zaciskową
z linki Cu95 z tulejką zaciskową
z linki Cu95
do połączeń szynowych
Wirowana żerdź ośw.
1491
1492
1493
1495
1497
izolatora odciągu wysięgu
75
170
450
djp 100
70÷150
djp
120-120
70-70
95-95
25-120
25-150
25-95
95-70
120-95
120-95
150-70
150-95
150
185
120-120
70-120
95-120
L50 i AFL70
z tulejką zacisk. bez izolacji
z tulejką zacisk. w izolacji
ze śrubą
EOP
Konstrukcje wsporcze strunobetonowe
ETG-1
wraz z osprzętem mocującym
4430
4440-1 ÷ 6
4450
4490-1÷3
4600-1,2
4610
4620
4630
4640
4650
4660
4670
4710
4720
4730
4740
5120-5 ÷ 8
5250-5 ÷ 8
5380
5400-5 ÷ 7
5420-5
5500-7
5500-5
5500-6
5520-7
5520-8
5520-6
5560-5
5570-5
5570-6
5570-5
5570-6
5580-8
5580-9
5590-1 ÷ 3
5590-1 ÷ 3
5590-1 ÷ 3
5670-1 ÷ 3
5680-1, 2
5810
5820-1, 2
5830-1, 2
5840-1, 2
5910-1, 2
5920-1, 2
5930-1, 2
6850-1
6860-1 ÷ 3
Numer
dopuszczenia
D-5/IEN/5/2013
D-5/IEN/5/2013
U/2010/0386
b/n
b/n
b/n
b/n
b/n
b/n
b/n
b/n
b/n
b/n
b/n
b/n
b/n
b/n
b/n
b/n
b/n
b/n
b/n
b/n
b/n
b/n
b/n
b/n
b/n
b/n
b/n
b/n
b/n
b/n
b/n
b/n
b/n
b/n
b/n
b/n
b/n
b/n
b/n
b/n
b/n
b/n
b/n
b/n
b/n
b/n
b/n
b/n
b/n
b/n
b/n
b/n
b/n
b/n
b/n
b/n
b/n
b/n
b/n
Strona 18 z 25
Stan na dzień: 2016-05-17
Okres/data
ważności
Podstawa
dopuszczenia
bezterminowo
bezterminowo
bezterminowo
nie nadano
nie nadano
nie nadano
nie nadano
nie nadano
nie nadano
nie nadano
nie nadano
nie nadano
nie nadano
nie nadano
nie nadano
nie nadano
nie nadano
nie nadano
nie nadano
nie nadano
nie nadano
nie nadano
nie nadano
nie nadano
nie nadano
nie nadano
nie nadano
nie nadano
nie nadano
nie nadano
nie nadano
nie nadano
nie nadano
nie nadano
nie nadano
nie nadano
nie nadano
nie nadano
nie nadano
nie nadano
nie nadano
nie nadano
nie nadano
nie nadano
nie nadano
nie nadano
nie nadano
nie nadano
nie nadano
nie nadano
nie nadano
nie nadano
nie nadano
nie nadano
nie nadano
nie nadano
nie nadano
nie nadano
nie nadano
nie nadano
nie nadano
PW-17
PW-17
wg. Świadectwa UTK
Starsze - OSW
Starsze - SIEC
Starsze - SIEC
Starsze - SIEC
Starsze - SIEC
Starsze - SIEC
Starsze - SIEC
Starsze - SIEC
Starsze - SIEC
Starsze - SIEC
Starsze - SIEC
Starsze - SIEC
Starsze - SIEC
Starsze - SIEC
Starsze - SIEC
Starsze - SIEC
Starsze - SIEC
Starsze - SIEC
Starsze - SIEC
Starsze - SIEC
Starsze - SIEC
Starsze - SIEC
Starsze - SIEC
Starsze - SIEC
Starsze - SIEC
Starsze - SIEC
Starsze - SIEC
Starsze - SIEC
Starsze - SIEC
Starsze - SIEC
nie nadano
Starsze - SIEC
Data ost.
Zmiany
Uwagi
internet: TECEO LED
internet: TECEO LED
160425
Starsze - SIEC
Starsze - SIEC
Starsze - SIEC
Starsze - SIEC
Starsze - SIEC
Starsze - SIEC
Starsze - SIEC
Starsze - SIEC
Starsze - SIEC
Starsze - SIEC
Starsze - SIEC
Starsze - SIEC
Starsze - SIEC
Starsze - SIEC
Starsze - SIEC
Starsze - SIEC
Starsze - SIEC
Starsze - SIEC
Starsze - SIEC
Starsze - SIEC
Starsze - OSW
160224
DOPUSZCZANIE ELEMENTÓW PODSYSTEMÓW I TECHNOLOGII PRZEZNACZONYCH DO STOSOWANIA NA LINIACH KOLEJOWYCH ZARZĄDZANYCH PRZEZ PKP POLSKIE LINIE KOLEJOWE S.A.
Wspólna lista Dopuszczeń wydanych wg. Procedury SMS PW-17 oraz procedur wcześniejszych – branża elektroenergetyki.
Lp.
Logo podmiotu lub nazwa
skrócona *3)
Nr. w kat.
'KOLPROJEKT'
Opis produktu
Stan na dzień: 2016-05-17
Numer
dopuszczenia
Okres/data
ważności
Podstawa
dopuszczenia
Data ost.
Zmiany
1100 STRUNOBET-MIGACZ
Słup trakcyjny
Konstrukcje wsporcze strunobetonowe
ETG-2
wraz z osprzętem mocującym
b/n
nie nadano
Starsze - SIEC
160224
1101 STRUNOBET-MIGACZ
Słup trakcyjny
Konstrukcje wsporcze strunobetonowe
ETG-3
wraz z osprzętem mocującym
b/n
nie nadano
Starsze - SIEC
160224
1102
1103
1104
1105
1106
1107
1108
1109
1110
1111
1112
1113
Oprawa oświetleniowa
Oprawa oświetleniowa
Oprawa oświetleniowa
Oprawa oświetleniowa LED
Oprawa oświetleniowa LED
Oprawa oświetleniowa LED
Oprawa oświetleniowa LED
Oprawa oświetleniowa LED
Oprawa oświetleniowa LED
Oprawa oświetleniowa LED
Oprawa oświetleniowa LED
Przewód miedziany
nie nadano
nie nadano
nie nadano
28 luty 2021
28 luty 2021
28 luty 2021
2020-12-31
2020-12-31
2020-12-31
2020-12-31
2020-12-31
nie nadano
Starsze - OSW
Starsze - OSW
Starsze - OSW
PW-17
PW-17
PW-17
TECHNOLIGHT_DISANO
TECHNOLIGHT_DISANO
TECHNOLIGHT_DISANO
TECHNOLIGHT_DISANO
TECHNOLIGHT_DISANO
TECHNOLIGHT_DISANO
TECHNOLIGHT_DISANO
TECHNOLIGHT_DISANO
TECHNOLIGHT_DISANO
TECHNOLIGHT_DISANO
TECHNOLIGHT_DISANO
TELE-FONICA-K
1114 TELE-FONICA-K
Przewód stalowo-aluminiowy
1115
1116
1117
1118
1119
1120
1121
1122
1123
1124
1125
1126
1127
1128
1129
1130
1131
1132
1133
1134
1135
1136
1137
1138
1139
1140
1141
1142
1143
1144
1145
1146
1147
1148
1149
1150
1151
1152
1153
1154
1155
1156
1157
1158
1159
Przewód jezdny
Przewód jezdny
Odciąg prętowy słupa kotwowego
Odciąg prętowy słupa kotwowego
Odciąg prętowy słupa kotwowego
Odciąg prętowy słupa kotwowego
Odciąg prętowy słupa kotwowego
Odciąg prętowy słupa kotwowego
Odciąg prętowy słupa kotwowego
Odciąg prętowy słupa kotwowego
Słup trakcyjny
Słup trakcyjny
Uchwyt przegubowy
Uchwyt przegubowy wysięgnikowy
Uchwyt przegubowy
Uchwyt podwieszeniowy
Uchwyt podwieszeniowy
Uchwyt przelotowy sztywny
Wyrównywacz przewodów jezdnych
Śruba rzymska
Przegubowy uchwyt
Uchwyt rolek linowych
Przegubowy uchwyt
Rolka linowa
Prowadnice ciężarów naprężających
Cięgła linowe urządzenia naprężającego
Uchwyt mocujący
Uchwyt do kotwień
Zabezpieczenie urządzenia naprężającego
Wsporniki ukośników
Uchwyt izolatora odciągu wysięgu
Uchwyt słupowy izolatora
Wsporniki ukośników
Uchwyt izolatora odciągu wysięgu
Uchwyt słupowy izolatora
Wsporniki ukośników
Łącznik kabłąkowy
Łącznik pojedynczy
Łącznik podwójny
Łącznik skręcony
Łącznik skręcony
Wspornik do dźwigara bramki
Uchwyt rolek linowych
Prowadnice ciężarów naprężających
Uchwyt prowadnic ciężarów naprężających
TELE-FONICA-K
TELE-FONICA-K
TERMOPROD
TERMOPROD
TERMOPROD
TERMOPROD
TERMOPROD
TERMOPROD
TERMOPROD
TERMOPROD
TERMOPROD
TERMOPROD
TERMOPROD
TERMOPROD
TERMOPROD
TERMOPROD
TERMOPROD
TERMOPROD
TERMOPROD
TERMOPROD
TERMOPROD
TERMOPROD
TERMOPROD
TERMOPROD
TERMOPROD
TERMOPROD
TERMOPROD
TERMOPROD
TERMOPROD
TERMOPROD
TERMOPROD
TERMOPROD
TERMOPROD
TERMOPROD
TERMOPROD
TERMOPROD
TERMOPROD
TERMOPROD
TERMOPROD
TERMOPROD
TERMOPROD
TERMOPROD
TERMOPROD
TERMOPROD
TERMOPROD
ASTRO naświetlacz
CRIPTO naświetlacz
ROLLE naświetlacz
COMETA
GIOVI
RODIO
1785, 1787, 1794
1713, 1714
3280, 3282
3270 STELIVIO 1 PLUS L
3273 STELIVIO 1
3274 STELIVIO 2
3275 MINI STELIVIO
3276 MINI STELIVIO
b/n
b/n
b/n
D/IEN/02/2016
D/IEN/02/2016
D/IEN/02/2016
D/IEN/29/2015
D/IEN/29/2015
D/IEN/29/2015
D/IEN/29/2015
D/IEN/29/2015
b/n
wielodrutowy goły
9811-6, 7, 8
wielodrutowy goły
9822-7, 10
b/n
nie nadano
Starsze - SIEC
9871-1, 3
9872-1, 3
1540-1 ÷ 3
1540-11 ÷ 13
1550-1 ÷ 3
1550-11 ÷ 13
1560-1 ÷ 3
1560-11 ÷ 13
1570-2
1580-2
1611-1÷5
1665-1 ÷ 4
4110-1
4120-1 ÷ 4
4130-1
4140-1 ÷ 2
4150-1
4160-1
4410-1
4420-1
4430-1
4440-1 ÷ 7
4450-1
4460-1 ÷ 3
4470-1 ÷ 4
4490-1 ÷ 3
4560-1
4570-1
4600-1, 2
4610-1 ÷ 8, 10
4620-1 ÷ 8, 10
4630-1 ÷ 8, 10
4640- 5, 7, 8, 10
4650- 5, 7, 8, 10
4660- 5, 7, 8, 10
4670-5, 7, 8, 10
4700-1
4710-1
4720-1, 2
4730-1
4740-1
4850-1-5
5040-1 ÷ 3
5070-1,2
5090-1 ÷ 3
b/n
b/n
b/n
b/n
b/n
b/n
b/n
b/n
b/n
b/n
b/n
b/n
b/n
b/n
b/n
b/n
b/n
b/n
b/n
b/n
b/n
b/n
b/n
b/n
b/n
b/n
b/n
b/n
b/n
b/n
b/n
b/n
b/n
b/n
b/n
b/n
b/n
b/n
b/n
b/n
b/n
b/n
b/n
b/n
b/n
nie nadano
nie nadano
nie nadano
nie nadano
nie nadano
nie nadano
nie nadano
nie nadano
nie nadano
nie nadano
nie nadano
nie nadano
nie nadano
nie nadano
nie nadano
nie nadano
nie nadano
nie nadano
nie nadano
nie nadano
nie nadano
nie nadano
nie nadano
nie nadano
nie nadano
nie nadano
nie nadano
nie nadano
nie nadano
nie nadano
nie nadano
nie nadano
nie nadano
nie nadano
nie nadano
nie nadano
nie nadano
nie nadano
nie nadano
nie nadano
nie nadano
nie nadano
nie nadano
nie nadano
nie nadano
Starsze - SIEC
Starsze - SIEC
Starsze - SIEC
Starsze - SIEC
Starsze - SIEC
Starsze - SIEC
Starsze - SIEC
Starsze - SIEC
Starsze - SIEC
Starsze - SIEC
Starsze - SIEC
Starsze - SIEC
Starsze - SIEC
Starsze - SIEC
Starsze - SIEC
Starsze - SIEC
Starsze - SIEC
Starsze - SIEC
Starsze - SIEC
Starsze - SIEC
Starsze - SIEC
Starsze - SIEC
Starsze - SIEC
Starsze - SIEC
Starsze - SIEC
Starsze - SIEC
Starsze - SIEC
Starsze - SIEC
Starsze - SIEC
Starsze - SIEC
Starsze - SIEC
Starsze - SIEC
Starsze - SIEC
Starsze - SIEC
Starsze - SIEC
Starsze - SIEC
Starsze - SIEC
Starsze - SIEC
Starsze - SIEC
Starsze - SIEC
Starsze - SIEC
Starsze - SIEC
Starsze - SIEC
Starsze - SIEC
Starsze - SIEC
z kratą trójkątną
dwuteownikowy
do przewodu jezdnego
do przewodu jezdnego
przewodu jezdnego
do lin nośnych
do lin nośnych
do lin nośnych
8,2 m
8,2 m
do kotwienia przewodów
rolki linowej
prowadnice na słupach bramek
na słupach przestrzennych
jednostronne
jednostronny
jednostronny
dwustronne
dwustronny
dwustronny
z uchwytami
izolatora odciągu wysięgu
75
170
450
i słupa przez dwa tory
wzdłużny
Strona 19 z 25
Uwagi
160420
160420
160420
151216
151216
151216
151216
151216
Starsze - SIEC
160411
Poprawiono opis
względem pliku źródł.
160413
160413
160415
160415
160404
PW-17 nie stosuje się.
DOPUSZCZANIE ELEMENTÓW PODSYSTEMÓW I TECHNOLOGII PRZEZNACZONYCH DO STOSOWANIA NA LINIACH KOLEJOWYCH ZARZĄDZANYCH PRZEZ PKP POLSKIE LINIE KOLEJOWE S.A.
Wspólna lista Dopuszczeń wydanych wg. Procedury SMS PW-17 oraz procedur wcześniejszych – branża elektroenergetyki.
Lp.
1160
1161
1162
1163
1164
1165
1166
1167
1168
1169
1170
1171
1172
1173
1174
1175
1176
1177
1178
1179
1180
1181
1182
1183
1184
1185
1186
1187
1188
1189
1190
1191
1192
1193
1194
1195
1196
1197
1198
1199
1200
1201
1202
1203
1204
1205
1206
1207
1208
1209
1210
1211
1212
1213
1214
Logo podmiotu lub nazwa
skrócona *3)
TERMOPROD
TERMOPROD
TERMOPROD
TERMOPROD
TERMOPROD
TERMOPROD
TERMOPROD
TERMOPROD
TERMOPROD
TERMOPROD
TERMOPROD
TERMOPROD
TERMOPROD
TERMOPROD
TERMOPROD
TERMOPROD
TERMOPROD
TERMOPROD
TERMOPROD
TERMOPROD
TERMOPROD
TERMOPROD
TERMOPROD
TERMOPROD
TERMOPROD
TERMOPROD
TERMOPROD
TERMOPROD
TERMOPROD
TERMOPROD
TERMOPROD
TERMOPROD
TERMOPROD
TERMOPROD
TERMOPROD
TERMOPROD
TERMOPROD
TERMOPROD
TERMOPROD
TERMOPROD
TERMOPROD
TERMOPROD
TERMOPROD
TERMOPROD
TERMOPROD
TERMOPROD
TERMOPROD
TERMOPROD
TERMOPROD
TERMOPROD
TERMOPROD
TERMOPROD
TERMOPROD
TERMOPROD
TERMOPROD
Uchwyt krańcowy
Uchwyt krańcowy
Uchwyt przelotowy
Uchwyt odciągowy
Złączka
Złączka
Uchwyt równoległy
Uchwyt odległościowy
Uchwyt równoległy
Uchwyt równoległy
Zacisk
Zacisk
Uchwyt
Uchwyt równoległy
Uchwyt równoległy
Uchwyt równoległy
Uchwyt równoległy
Zacisk
Zacisk
Zacisk
Łącznik szynowy
Łącznik szynowy
Łącznik szynowy
Połączenia uszyniające
Połączenia uszyniające
Połączenia uszyniające
Połączenie odłącznika z uszynieniem
Łącznik szynowy
Łącznik szynowy
Łącznik szynowy
Ukośnik rurowy
Odciąg ukośnika
Odciąg ukośnika
Odciąg ukośnika
Wysięgniki przewodu uszyniającego
Ramię odciągowe
Ramię odciągowe
Ramię odciągowe
Ramię odciągowe
Ramię odciągowe
Ramię odciągowe
Ramię odciągowe
Ramię odciągowe
Ramię odciągowe
Ramię odciągowe
Ciężar naprężający
Ciężar naprężający
Ciężar naprężający
Łącznik pojedynczy
Kołek gwintowany
Linka dławikowa z kołkiem
Uziom miedziowany
Odłącznik
Odłącznik
Skrzynka napędu ręcznego odłącznika
klinowy do przewodów jezdnych
liny nośnej
wahliwy żeliwny
przelotowy śrubowo -stożkowy
klinowa
stożkowa liny nośnej
podwójny
do 4 przew. jezdnych
potrójny
rozjazdowy
równoległy lina, przewód jezdny
równoległy do dwóch lin
liny uelastyczniającej
do dwóch lin
do dwóch lin
do dwóch lin
do dwóch lin
mostkowy
uszyniający do lin
szynowy
podłużny
z linki Cu 95 bez izolacji
z linki Cu 95 w izolacji
prętem Fe w izolacji
linką Cu50 w izolacji
kablem YKY 1x50
linką L50
podłużny, z tulejką zaciskową
z linki Cu95
z linki Cu95
Cu i Fe
Al. 120 dł. 300 mm
z tulejką zacisk. w izolacji
z tulejką zacisk. w izolacji
rurowego nieprzechylnego
rurowego przechylnego
rurowego przechylnego
lekkie
proste
łukowe
proste
łukowe
specjalne rozjazdowe
specjalne łukowe
specjalne rozjazdowe
specjalne łukowe
z otworem owalnym
żeliwny
z betonu THIOCRETE
z betonu THIOCRETE
płaski
do połączeń szynowych
ze śrubą
ze stykiem uszyniającym
1215 TERMORAD
EOR Grzejniki rurkowe
bezstykowe do elektrycznego
ogrzewania rozjazdów
1216 TERMORAD
EOR Radiatory
bezstykowe do grzejników rurkowych
1217
1218
1219
1220
1221
1222
Oprawa oświetleniowa
Oprawa oświetleniowa
Oprawa oświetleniowa
Oprawa oświetleniowa LED
Przewód miedziany
Przewód miedziany
THORN_PL
THORN_PL
THORN_PL
THORN_PL
TIM
TIM
Nr. w kat.
'KOLPROJEKT'
Opis produktu
wielodrutowy goły
wielodrutowy goły
5110-1 ÷ 4
5120-5 ÷ 8
5160-5, 7, 9, 0
5180-6, 7, 0
5210-1 ÷ 4
5250-5 ÷ 8
5340-1 ÷ 2
5350-1
5360-1
5380-1
5400-5 ÷ 7
5500-5 ÷ 7
5520-6 ÷ 8
5550-5, 6
5560-5
5570-5 ÷ 6
5580-8, 9
5590-1 ÷ 3
5670-1 ÷ 3
5680-1, 2
5810-1
5820-1, 2
5830-1, 2
5840-1, 2
5850-1, 2
5860-1, 2
5880-1
5910-1, 2
5920-1, 2
5930-1, 2
6001-1 ÷ 14
6002-1 ÷ 11
6007-1 ÷ 14
6008-1 ÷ 14
6130-1 ÷ 3
6201-1 ÷ 4
6202-1
6203-1
6204-1, 2
6205-1, 2
6206-1, 2
6207-1 + 3
6208-1 + 3
6209-1 + 3
6212-1
6321-1
6322-1
6323-1
6511-1
6850-1
6860-1 ÷ 3
6920-1 ÷ 3
7420-1
7430-1
7460-1
GKA 230 V
IMPACTFORCE
ORACLE
TROJKA
OXANE LED
Firmy Lamifil N.V.
Firmy ZPPE ELTRIM Sp. z o.o.
Strona 20 z 25
9811-6, 7
9811 - 1-3
Stan na dzień: 2016-05-17
Numer
dopuszczenia
Okres/data
ważności
Podstawa
dopuszczenia
b/n
b/n
b/n
b/n
b/n
b/n
b/n
b/n
b/n
b/n
b/n
b/n
b/n
b/n
b/n
b/n
b/n
b/n
b/n
b/n
b/n
b/n
b/n
b/n
b/n
b/n
b/n
b/n
b/n
b/n
b/n
b/n
b/n
b/n
b/n
b/n
b/n
b/n
b/n
b/n
b/n
b/n
b/n
b/n
b/n
b/n
b/n
b/n
b/n
b/n
b/n
b/n
b/n
b/n
b/n
nie nadano
nie nadano
nie nadano
nie nadano
nie nadano
nie nadano
nie nadano
nie nadano
nie nadano
nie nadano
nie nadano
nie nadano
nie nadano
nie nadano
nie nadano
nie nadano
nie nadano
nie nadano
nie nadano
nie nadano
nie nadano
nie nadano
nie nadano
nie nadano
nie nadano
nie nadano
nie nadano
nie nadano
nie nadano
nie nadano
nie nadano
nie nadano
nie nadano
nie nadano
nie nadano
nie nadano
nie nadano
nie nadano
nie nadano
nie nadano
nie nadano
nie nadano
nie nadano
nie nadano
nie nadano
nie nadano
nie nadano
nie nadano
nie nadano
nie nadano
nie nadano
nie nadano
nie nadano
nie nadano
nie nadano
Starsze - SIEC
Starsze - SIEC
Starsze - SIEC
Starsze - SIEC
Starsze - SIEC
Starsze - SIEC
Starsze - SIEC
Starsze - SIEC
Starsze - SIEC
Starsze - SIEC
Starsze - SIEC
Starsze - SIEC
Starsze - SIEC
Starsze - SIEC
Starsze - SIEC
Starsze - SIEC
Starsze - SIEC
Starsze - SIEC
Starsze - SIEC
Starsze - SIEC
Starsze - SIEC
Starsze - SIEC
Starsze - SIEC
Starsze - SIEC
Starsze - SIEC
Starsze - SIEC
Starsze - SIEC
Starsze - SIEC
Starsze - SIEC
Starsze - SIEC
Starsze - SIEC
Starsze - SIEC
Starsze - SIEC
Starsze - SIEC
Starsze - SIEC
Starsze - SIEC
Starsze - SIEC
Starsze - SIEC
Starsze - SIEC
Starsze - SIEC
Starsze - SIEC
Starsze - SIEC
Starsze - SIEC
Starsze - SIEC
Starsze - SIEC
Starsze - SIEC
Starsze - SIEC
Starsze - SIEC
Starsze - SIEC
Starsze - SIEC
Starsze - SIEC
Starsze - SIEC
Starsze - SIEC
Starsze - SIEC
Starsze - SIEC
D/IEN/06/2014
2019-05-14
PW-17
D/IEN/06/2014
2019-05-14
PW-17
nie nadano
nie nadano
nie nadano
nie nadano
nie nadano
nie nadano
Starsze - OSW
Starsze - OSW
Starsze - OSW
Starsze - OSW
Starsze - SIEC
Starsze - SIEC
b/n
b/n
b/n
b/n
b/n
b/n
Data ost.
Zmiany
160404
Uwagi
PW-17 nie stosuje się.
DOPUSZCZANIE ELEMENTÓW PODSYSTEMÓW I TECHNOLOGII PRZEZNACZONYCH DO STOSOWANIA NA LINIACH KOLEJOWYCH ZARZĄDZANYCH PRZEZ PKP POLSKIE LINIE KOLEJOWE S.A.
Wspólna lista Dopuszczeń wydanych wg. Procedury SMS PW-17 oraz procedur wcześniejszych – branża elektroenergetyki.
Lp.
1223
1224
1225
1226
1227
1228
1229
1230
1231
1232
1233
1234
1235
1236
1237
1238
1239
1240
1241
1242
1243
1244
1245
1246
1247
Logo podmiotu lub nazwa
skrócona *3)
TIM
TIM
TIM
TIM
TIM
TIM
TORPOL
TORPOL
TORPOL
TORPOL
TORPOL
TRAKCJA_PL
TRAKCJA_PL
TRAKCJA_PL
TRAKCJA_PL
TRAKCJA_PL
TRAKCJA_PL
TRAKCJA_PL
TRAKCJA_PL
TRAKCJA_PL
TRAKCJA_PL
TRAKCJA_PL
TRAKCJA_PL
TRAKCJA_PL
TRAKCJA_PL
Przewód miedziany
Przewód miedziany
Przewód miedziany
Przewód jezdny
Przewód jezdny
Przewód jezdny
Fundament palowy
Fundament palowy
Fundament palowy
Fundament palowy
Fundament palowy
Fundament palowy
Fundament palowy
Fundament palowy
Fundament palowy
Fundament palowy
Odciąg prętowy słupa kotwowego
Odciąg prętowy słupa kotwowego
Odciąg prętowy słupa kotwowego
Słup trakcyjny
Słup trakcyjny
Słup trakcyjny
Słup trakcyjny
Słup trakcyjny
Słup trakcyjny
1248 TRAKCJA_PL
Słup trakcyjny
1249 TRAKCJA_PL
Słup trakcyjny
1250 TRAKCJA_PL
Słup trakcyjny
1251
1252
1253
1254
1255
1256
1257
1258
1259
1260
1261
1262
1263
1264
1265
1266
1267
1268
1269
1270
1271
1272
1273
1274
1275
1276
1277
1278
1279
1280
1281
Wysięg przez dwa tory
Segment dźwigara
Segment dźwigara
Segment dźwigara
Segment dźwigara
Segment dźwigara
Segment dźwigara
Segment dźwigara
Segment dźwigara
Segment dźwigara
Segment dźwigara
Słup trakcyjny
Słup trakcyjny
Słup trakcyjny
Słup trakcyjny
Słup trakcyjny
Słup trakcyjny
Słup trakcyjny
Słup trakcyjny
Słup trakcyjny
Słup trakcyjny
Słup trakcyjny
Słup trakcyjny
Słup trakcyjny
Słup trakcyjny
Słup trakcyjny
Słup trakcyjny
Słup trakcyjny
Słup trakcyjny
Słup trakcyjny
Wspornik do dźwigara bramki
TRAKCJA_PL
TRAKCJA_PL
TRAKCJA_PL
TRAKCJA_PL
TRAKCJA_PL
TRAKCJA_PL
TRAKCJA_PL
TRAKCJA_PL
TRAKCJA_PL
TRAKCJA_PL
TRAKCJA_PL
TRAKCJA_PL
TRAKCJA_PL
TRAKCJA_PL
TRAKCJA_PL
TRAKCJA_PL
TRAKCJA_PL
TRAKCJA_PL
TRAKCJA_PL
TRAKCJA_PL
TRAKCJA_PL
TRAKCJA_PL
TRAKCJA_PL
TRAKCJA_PL
TRAKCJA_PL
TRAKCJA_PL
TRAKCJA_PL
TRAKCJA_PL
TRAKCJA_PL
TRAKCJA_PL
TRAKCJA_PL
Nr. w kat.
'KOLPROJEKT'
Opis produktu
wielodrutowy goły
wielodrutowy goły
wielodrutowy goły
słupa trakcyjnego
słupa trakcyjnego
słupa trakcyjnego
do kotwienia odciągów
do kotwienia odciągów
słupa trakcyjnego
słupa trakcyjnego
słupa trakcyjnego
odciągu prętowego
odciągu prętowego
Firmy ZPPE ELTRIM Sp. z o.o.
Firmy ZPPE ELTRIM Sp. z o.o.
Firmy ZPPE ELTRIM Sp. z o.o.
Firmy Lamifil N.V.
Firmy EKS Isodraht GmbH
Firmy Lamifil N.V.
typu T-1; T-1G/T-1D
typu T-2; T-2G/T-2D
typu T-3; T-3G/T-3D
typu T-10
typu T-30
z kratą trójkątną
z kratą trójkątną
z kratą trójkątną
dwuteownikowy
dwuteownikowy
kratowy
z wysięgiem przez 2 tory do
posadowienia na 2 palach
fundamentowych
z wysięgiem przez 2 tory do
posadowienia na 2 palach
fundamentowych
z wysięgiem przez 2 tory do
posadowienia na 2 palach
fundamentowych
8,2 m
7,8 m
7,4 m
8,2 m
7,4 m
10,5 m dla wysięgu przez 2 t.
środkowy
boczny
boczny
boczny
boczny
boczny
boczny
boczny
boczny
boczny
przelotowo-krańcowy bramki
krańcowy bramki
przelotowo-krańcowy bramki
krańcowy bramki
przelotowo-krańcowy bramki
krańcowy bramki
przelotowo-krańcowy bramki
krańcowy bramki
przelotowo-krańcowy bramki
przelotowo-krańcowy bramki
przelotowo-krańcowy bramki
przelotowo-krańcowy bramki
krańcowy bramki
krańcowy bramki
krańcowy bramki
krańcowy bramki
krańcowy bramki
krańcowy bramki
krańcowy bramki
i słupa przez dwa tory
9811 - 6-9
9812 - 6
9815 - 9
9871-1
9872-3
9872-1
1491
1492
1493
1495
1497
1491
1492
1493
1495
1497
1540
1550
1560
1611
1613
1614
1665
1667
1901
Numer
dopuszczenia
b/n
b/n
b/n
b/n
b/n
b/n
D/14/IEN/14/2013
D/14/IEN/14/2013
D/14/IEN/14/2013
D/14/IEN/14/2013
D/14/IEN/14/2013
b/n
b/n
b/n
b/n
b/n
b/n
b/n
b/n
b/n
b/n
b/n
b/n
b/n
b/n
Stan na dzień: 2016-05-17
Okres/data
ważności
Podstawa
dopuszczenia
Data ost.
Zmiany
nie nadano
nie nadano
nie nadano
nie nadano
nie nadano
nie nadano
2018-11-28
2018-11-28
2018-11-28
2018-11-28
2018-11-28
nie nadano
nie nadano
nie nadano
nie nadano
nie nadano
nie nadano
nie nadano
nie nadano
nie nadano
nie nadano
nie nadano
nie nadano
nie nadano
nie nadano
Starsze - SIEC
Starsze - SIEC
Starsze - SIEC
Starsze - SIEC
Starsze - SIEC
Starsze - SIEC
PW-17
PW-17
PW-17
PW-17
PW-17
Starsze - SIEC
Starsze - SIEC
Starsze - SIEC
Starsze - SIEC
Starsze - SIEC
Starsze - SIEC
Starsze - SIEC
Starsze - SIEC
Starsze - SIEC
Starsze - SIEC
Starsze - SIEC
Starsze - SIEC
Starsze - SIEC
Starsze - SIEC
160413
160413
160413
160413
160413
160413
‘(sł. o dł. 9500mm)
E-1905
1905
b/n
nie nadano
Starsze - SIEC
160415
‘(sł. o dł. 9000mm)
E-1906
1906
b/n
nie nadano
Starsze - SIEC
160415
‘(sł. o dł. 8200mm)
E-1907
1907
b/n
nie nadano
Starsze - SIEC
160415
11,0 m
11,7 m
10,8 m
9,9 m
7,6 m
7,1 m
6,2 m
5,3 m
4,8 m
3,9 m
10,7 m
10,5 m
11,5 m
11,3 m
8,7 m
8,5 m
11,9 m
11,7 m
8,2 m, na jeden fundament
9,0 m, na jeden fundament
9,5 m, na jeden fundament
8,2 m, na jeden fundament
9,0 m, na jeden fundament
9,5 m, na jeden fundament
8,2 m, na dwa fundamenty
9,0 m, na dwa fundamenty
8,2 m, na dwa fundamenty
9,0 m, na dwa fundamenty
9,5 m, na dwa fundamenty
1910
3013
3017
3018
3019
3020
3021
3022
3023
3024
3025
3031
3032
3033
3034
3035
3036
3037
3038
3111
3112
3113
3115
3116
3117
3121
3122
3125
3126
3127
4850
b/n
b/n
b/n
b/n
b/n
b/n
b/n
b/n
b/n
b/n
b/n
b/n
b/n
b/n
b/n
b/n
b/n
b/n
b/n
b/n
b/n
b/n
b/n
b/n
b/n
b/n
b/n
b/n
b/n
b/n
b/n
nie nadano
nie nadano
nie nadano
nie nadano
nie nadano
nie nadano
nie nadano
nie nadano
nie nadano
nie nadano
nie nadano
nie nadano
nie nadano
nie nadano
nie nadano
nie nadano
nie nadano
nie nadano
nie nadano
nie nadano
nie nadano
nie nadano
nie nadano
nie nadano
nie nadano
nie nadano
nie nadano
nie nadano
nie nadano
nie nadano
nie nadano
Starsze - SIEC
Starsze - SIEC
Starsze - SIEC
Starsze - SIEC
Starsze - SIEC
Starsze - SIEC
Starsze - SIEC
Starsze - SIEC
Starsze - SIEC
Starsze - SIEC
Starsze - SIEC
Starsze - SIEC
Starsze - SIEC
Starsze - SIEC
Starsze - SIEC
Starsze - SIEC
Starsze - SIEC
Starsze - SIEC
Starsze - SIEC
Starsze - SIEC
Starsze - SIEC
Starsze - SIEC
Starsze - SIEC
Starsze - SIEC
Starsze - SIEC
Starsze - SIEC
Starsze - SIEC
Starsze - SIEC
Starsze - SIEC
Starsze - SIEC
Starsze - SIEC
160413
160414
160414
160414
160414
160414
160414
160414
160414
160414
160414
160414
160414
160414
160414
160414
160414
160414
160414
Strona 21 z 25
160415
Uwagi
DOPUSZCZANIE ELEMENTÓW PODSYSTEMÓW I TECHNOLOGII PRZEZNACZONYCH DO STOSOWANIA NA LINIACH KOLEJOWYCH ZARZĄDZANYCH PRZEZ PKP POLSKIE LINIE KOLEJOWE S.A.
Wspólna lista Dopuszczeń wydanych wg. Procedury SMS PW-17 oraz procedur wcześniejszych – branża elektroenergetyki.
Lp.
1282
1283
1284
1285
1286
1287
1288
1289
1290
Logo podmiotu lub nazwa
skrócona *3)
TRAKCJA_PL
TRAKCJA_PL
VM-ELEKTRO
WIRBET
WPS-SA
WPS-SA
WPS-SA
WPS-SA
WPS-SA
Odłącznikowy napęd silnikowy
Izolator sekcyjny
Oprawa oświetleniowa
Numer
dopuszczenia
Okres/data
ważności
Podstawa
dopuszczenia
Data ost.
Zmiany
7470
7500-1, 2
b/n
b/n
b/n
nie nadano
nie nadano
nie nadano
Starsze - SIEC
Starsze - SIEC
Starsze - OSW
160314
1491
1492
1493
1495
1497
b/n
b/n
b/n
b/n
b/n
nie nadano
nie nadano
nie nadano
nie nadano
nie nadano
Starsze - SIEC
Starsze - SIEC
Starsze - SIEC
Starsze - SIEC
Starsze - SIEC
7010-1, 2
b/n
nie nadano
Starsze - SIEC
AM
Uwagi
Poza decyzją PKP PLK
Obecnie, jako RADPOL
Fundament palowy
Fundament palowy
Fundament palowy
Fundament palowy
Fundament palowy
słupa trakcyjnego
słupa trakcyjnego
słupa trakcyjnego
odciągu prętowego
odciągu prętowego
1291 ZAPEL
Izolator trakcyjny
ukośnika wysięgnika teownikowego
1292 ZAPEL
Izolator trakcyjny kompozytowy
ukośnika wysięgnika teownikowego
1293
1294
1295
1296
1297
1298
1299
1300
1301
1302
1303
1304
1305
Izolator trakcyjny
Izolator trakcyjny kompozytowy
Izolator trakcyjny
Izolator trakcyjny
Izolator trakcyjny kompozytowy
Izolator trakcyjny
Izolator trakcyjny kompozytowy
Izolator trakcyjny
Uchwyt przelotowy
Uchwyt przelotowy
Uchwyt odciągowy
Uchwyt odciągowy
Zacisk
odciągu wysięgnika
odciągu wysięgnika
podwieszeniowy
podwieszeniowy
podwieszeniowy
ukośnika wysięgnika rurowego
ukośnika wysięgnika rurowego
liniowy
wahliwy żeliwny
wahliwy
przelotowy śrubowo -stożkowy
zaprasowywany
uszyniający do lin
ZAPEL
ZAPEL
ZAPEL
ZAPEL
ZAPEL
ZAPEL
ZAPEL
ZAPEL
ZEMEX
ZEMEX
ZEMEX
ZEMEX
ZEMEX
Nr. w kat.
'KOLPROJEKT'
Opis produktu
Stan na dzień: 2016-05-17
typu MI
typu MII
typu MIII
typu MI-K
typu MIII-K
LT 40W-K NF 0114211 3 kV
LT 40K-K NF 0114110 3 kV
LT 40U-K NF 0111612 3 kV
LT 40R-K NF 0114210 3 kV
7010
D/IEN/20/2015
2020-08-24
PW-17
7020-1
7020
7030-1
7040-1
7040
7100-1
7100
7200
5160-7, 9
5161
5180-7
5181
5670
b/n
D/IEN/20/2015
b/n
b/n
D/IEN/20/2015
b/n
D/IEN/20/2015
b/n
b/n
b/n
b/n
b/n
b/n
nie nadano
2020-08-24
nie nadano
nie nadano
2020-08-24
nie nadano
2020-08-24
nie nadano
nie nadano
nie nadano
nie nadano
nie nadano
nie nadano
Starsze - SIEC
PW-17
Starsze - SIEC
Starsze - SIEC
PW-17
Starsze - SIEC
PW-17
Starsze - SIEC
Starsze - SIEC
Starsze - SIEC
Starsze - SIEC
Starsze - SIEC
Starsze - SIEC
150807
zamiennik
150807
zamiennik
150807
zamiennik
150807
zamiennik
Uwagi różne
*1) Górna sztywna sieć trakcyjna typu CR2 oraz CR3HS do prędkości 160 km/h - zaprojektowana zgodnie z DTR dla górnej sztywnej sieci trakcyjnej produkcji Furrer + Frey AG i wykonana zgodnie z WTWiO - Warszawa, styczeń 2014 oraz pos
*2) "Warunkowo bezterminowo" - Warunkiem uzyskania bezterminowego okresu ważności niniejszego dopuszczenia jest przeprowadzenie w przeciągu 5 lat badań eksploatacyjnych, po wykonaniu pierwszej instalacji na sieci PKP Polskie Li
*3) Patrz: 'Wykaz producentów i dostawców'
Strona 22 z 25
DOPUSZCZANIE ELEMENTÓW PODSYSTEMÓW I TECHNOLOGII PRZEZNACZONYCH DO STOSOWANIA NA LINIACH KOLEJOWYCH
ZARZĄDZANYCH PRZEZ PKP POLSKIE LINIE KOLEJOWE S.A.
Wspólna lista Dopuszczeń wydanych wg. Procedury SMS PW-17 oraz procedur wcześniejszych – branża elektroenergetyki.
Logo lub nazwa skrócona
Wykaz producentów i dostawców
Pełna nazwa właściciela Dopuszczenia
ABLE
ALUMAST
ALUMAST_BENITO
able Technologie
ALUMAST S.A.
ALUMAST S.A.
ANIA
Centrum Elektryczne "Ania" Boguccy i Spółka Sp.j. Elektromarket,
AREX
Zakład Automatyki i Urządzeń Pomiarowych AREX Spółka z o.o
ARTHUR FLURY
Kromiss-Bis Sp. z o.o. ARTHUR FLURY
ART-MEDIA
Art-Media Dariusz Ratajczyk
ASTE
ASTE Sp. z o.o.
ATM
ATM Lightning Spółka z o.o.
AURALIGHT
Auralight Polska Sp. z o.o.
AZO-DIGITAL
AZO-DIGITAL Sp. z o.o.
BELOS-PLP
BELOS-PLP Spółka Akcyjna
BS-SYSTEM
BS System sp. z o. o.
BUSH_PL
Busch Polska Sp. z o.o.
CEBAPO
Centrum Badawcze Powłok Ochronnych CEBAPO sp. z o.o.
DALEKOVOD_PL
DALEKOVOD - POLSKA
DELTA-ZIENC
Przedsiębiorstwo „DELTA-ZIEŃĆ”
DRUT-PLAST
DRUT-PLAST Fabryka Kabli i Przewodów Sp. z o.o.
DRY-TECHNOLOGIS_LAFOGE
DRY TECHNOLOGIES Sp. z o.o.
ELBUD-IMPEX
Elbud - Impex Sp. z o.o.
ELBUD-PPE
ELBUD PPE Sp. z o.o.
ELEKTROPORCELAN
Elektroporcelan Louny A.S.
ELESTER-PKP
Elester-PKP Sp. z o.o
ELGO
ELGO Lighting Industries S.A.
ELMO
ELMO S.A.
ELPAR
Fabryka Kabli ELPAR Sp. z o.o.
ELTOM
Zakład Produkcji Aparatury Elektrycznej i Izolatorów ELTOM Tomasz Cisak
ELTRIM
Zakład Produkcji Przewodów Elektrycznych ELTRIM Sp. z o.o.
ELTRON
Eltron - Kabel Spółka Jawna; Krzysztof Rutkowski, Tadeusz Rutkowski
ELTTRONICA-IT
Elettronica Italiana Sp. z o.o.
ES-SYSTEM
ES-System S.A.
EURO-TECH
Przedsiębiorstwo Produkcyjno-Handlowe "EURO-TECH"
EXBUD-SKANSKA
EXBUD SKANSKA S.A.
FABRYKA-PRZEWODOW-EN
Fabryka Przewodów Energetycznych S.A.
FUK
Fabryka Urządzeń Kolejowych Sp. z o.o.
Furrer + Frey AG
Furrer + Frey AG
Uwagi
Dystrybutor f-my BENITO URBAN
do kwietnia 2015 r., jako: Art-Media S.C. Artur Biernacki, Dariusz Ratajczyk.
kwiecień 2015 r.: Spólka ART-MEDIA - przekształca się w sp. jednoosobową
Strona 23 z 25
DOPUSZCZANIE ELEMENTÓW PODSYSTEMÓW I TECHNOLOGII PRZEZNACZONYCH DO STOSOWANIA NA LINIACH KOLEJOWYCH
ZARZĄDZANYCH PRZEZ PKP POLSKIE LINIE KOLEJOWE S.A.
Wspólna lista Dopuszczeń wydanych wg. Procedury SMS PW-17 oraz procedur wcześniejszych – branża elektroenergetyki.
Logo lub nazwa skrócona
Wykaz producentów i dostawców
Pełna nazwa właściciela Dopuszczenia
Uwagi
HSK-DATA
HSK-DATA Ltd. Sp. z o.o.
HTI-BP_BS-SYSTEM
HTI-BP Sp. z o.o. Zachód Spółka Komandytowa
INSTYTUT-EZD
Instytut Elektrotechniki Zakład Doświadczalny III
INTERFREZ
Interfrez Sp. z o.o.
INTERFREZ-MIGAŁA
Interfrez Migała Sp. j.
INVOLT_ARTUR-FLURY
INVOLT Sp. z o.o.
jako dystrybutor firmy ARTUR-FLURY
INVOLT_ELTRIM
INVOLT Sp. z o.o.
jako dystrybutor firmy ELTRIM
INVOLT_IZODRAHT
INVOLT Sp. z o.o.
jako dystrybutor firmy IZODRAHT GMBH
INVOLT_TELE-FONIKA
INVOLT Sp. z o.o.
jako dystrybutor firmy TELE-FONIKA
ISOSYSTEM_SCHOMBURG
ISOSYSTEM Sp. z o.o.
Przedstawiciel producenta SCHOMBURG POLSKA Sp. z o.o.
JEDLICZE
ZPRE JEDLICZE Sp. z o.o.
KOLEN
KOLEN R. Jaworski i Wspólnicy Spółka Jawna
KOL-MINEX
Kol-Minex Sp. z o.o.
KOZBI
PPUH KOZBI Zbigniew Kowalski
KPB-KUTNO
Kutnowska Prefabrykacja Betonów Kutno Sp. z o.o.
KRULEN_NORKA
KRULEN Spółka z o.o. / NORKA GmbH
KUCA
KUCA Sp. z o.o.
LA-FARGA
La Farga Lacambra S.A.U
LAPP-INS
Lapp Insulators Sp. z o.o.
LENA-LIGHTING
Lena Lighting S.A.
LUG-L-F
LUG Light Factory Sp. z o.o.
LUXIONA
LUXIONA POLAND S.A.
LUXMAT
Luxmat Sp. z o.o.
MABO
MABO Sp. z o.o.
MACHINEN & ANLAGEN
Machinen & Anlagen Service Gmbh Guben Niemcy
MARBET
MARBET-WIL Sp. z o.o.
MINER
Miner-PBG Sp. z o.o.
MOSTOSTAL-SIEDLCE
Mostostal Siedlce Spólka z o.o.
NTK-CABLES
ntk cables S.A.
PAMAR
PAMAR Kornelia Chłapek
PATEREK
ZNTK PATEREK S.A.
PFISTERER
Pfisterer Sp. z o.o.
PHILIPS_PL
Philips Lighting Poland S.A.
PINTSCH
PINTSCH ABE B.V. Holandia
PKP-EN_OU_W-WA
PKP Energetyka S.A. Oddział usługi w Warszawie
PKP-EN_PLN
PKP Energetyka S.A. Zakład Północny
PKP-EN_SLO
PKP Energetyka S.A. Zakład Robót Energetycznych w Słotwinach
Autoryzowany dystrybutor dla BS-SYSTEM
Interfrez Sp. z o.o. powstała z doświadczenia Interfrez Migała Sp. j.
Dystrybutor f-my NORKA
Do dn.01.10.2014 r., jako MABO Adolf Bogacki
Dn. 13.02.2016 miana formy prawnej;
- dawniej jako: Polimex-Mostostal S.A. Zakład Wyrobów Stalowych
Strona 24 z 25
DOPUSZCZANIE ELEMENTÓW PODSYSTEMÓW I TECHNOLOGII PRZEZNACZONYCH DO STOSOWANIA NA LINIACH KOLEJOWYCH
ZARZĄDZANYCH PRZEZ PKP POLSKIE LINIE KOLEJOWE S.A.
Wspólna lista Dopuszczeń wydanych wg. Procedury SMS PW-17 oraz procedur wcześniejszych – branża elektroenergetyki.
Logo lub nazwa skrócona
Wykaz producentów i dostawców
Pełna nazwa właściciela Dopuszczenia
PKP-EN_SWI
PKP Energetyka S.A. Zakład Świętokrzyski
PKP-EN_WSC
PKP Energetyka S.A. Zakład Wschodni
POLCYNK
POLCYNK Sp. z o.o.
POLFRANS_ORAPI
POLFANS Jacek Rybiński
PUMECH
PUMECH Sp. z o.o.
RABBIT
Rabbit Sp. z o.o.
RADPOL
Radpol S.A.
RIBE
RIBE Elektroarmaturen GmbH&Co.KG.
R-K-O-S
Radomskie Konsorcjum Osprzętu Sieciowego Sp. z o.o.
ROSA
Z.P.S.O. „ROSA” Stanisław Rosa
SCHREDER_SCHREDER
Schreder Polska Sp. z o.o.
SESTO
SESTO Sp. z o.o., ul. Wygodna 23, 91-021 Łódź
SFAMASZ
Skierniewicka Fabryka Maszyn, Urządzeń i Konstrukcji "Sfamasz"
SPEC-MIN
Spec-Min Sp. z o.o
STANMAR
STANMAR Sp. z o.o.
STRUNOBET-MIGACZ
STRUNOBET-MIGACZ Sp. z o.o.
TECHNOLIGHT_DISANO
Biuro Techniczno-Handlowe TechnoLight
TELE-FONICA-K
Tele-Fonika Kable Sp. z o.o.
TERMOPROD
P.P.U.H. TERMOPROD
TERMORAD
TERMORAD s.c. Zakład Termoelektryczny H.Komosa K.Komosa
THORN_PL
Thorn Lighting Polska Sp. z o.o.
TIM
TIM S.A.
TIM
TIM S.A.
TORPOL
TORPOL S.A.
TRAKCJA_PL
Trakcja Polska S.A.
VM-ELEKTRO
VM Elektro
Uwagi
Uznanie dla prod. "Słup trakcyjny 1611 11-15" dawniej wykonywanego dla f-my TRAKCE-TOR.
powstało w dniu 05.03.2012 r. powołane przez firmy : PPUH „TERMOPROD” Marek Czupryn oraz Kolejowy
Zakład Osprzętu Sieciowego Sp. z o.o. Radom
Autoryzowany dystrybutor grupy dla Disano-Italia
Strona 25 z 25