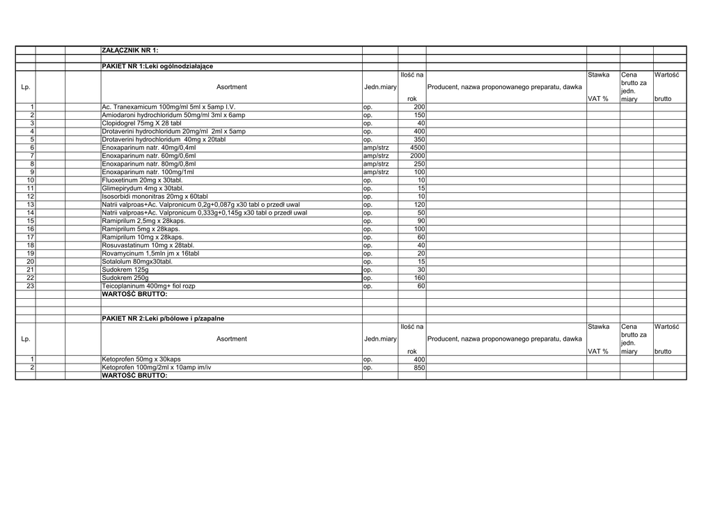
ZAŁĄCZNIK NR 1: PAKIET NR 1:Leki ogólnodziałające Lp

Transkrypt

ZAŁĄCZNIK NR 1: PAKIET NR 1:Leki ogólnodziałające Lp
ZAŁĄCZNIK NR 1:
PAKIET NR 1:Leki ogólnodziałające
Ilość na
Lp.
1
2
3
4
5
6
7
8
9
10
11
12
13
14
15
16
17
18
19
20
21
22
23
Asortment
Ac. Tranexamicum 100mg/ml 5ml x 5amp I.V.
Amiodaroni hydrochloridum 50mg/ml 3ml x 6amp
Clopidogrel 75mg X 28 tabl
Drotaverini hydrochloridum 20mg/ml 2ml x 5amp
Drotaverini hydrochloridum 40mg x 20tabl
Enoxaparinum natr. 40mg/0,4ml
Enoxaparinum natr. 60mg/0,6ml
Enoxaparinum natr. 80mg/0,8ml
Enoxaparinum natr. 100mg/1ml
Fluoxetinum 20mg x 30tabl.
Glimepirydum 4mg x 30tabl.
Isosorbidi mononitras 20mg x 60tabl
Natrii valproas+Ac. Valpronicum 0,2g+0,087g x30 tabl o przedł uwal
Natrii valproas+Ac. Valpronicum 0,333g+0,145g x30 tabl o przedł uwal
Ramiprilum 2,5mg x 28kaps.
Ramiprilum 5mg x 28kaps.
Ramiprilum 10mg x 28kaps.
Rosuvastatinum 10mg x 28tabl.
Rovamycinum 1,5mln jm x 16tabl
Sotalolum 80mgx30tabl.
Sudokrem 125g
Sudokrem 250g
Teicoplaninum 400mg+ fiol rozp
WARTOŚĆ BRUTTO:
Jedn.miary
op.
op.
op.
op.
op.
amp/strz
amp/strz
amp/strz
amp/strz
op.
op.
op.
op.
op.
op.
op.
op.
op.
op.
op.
op.
op.
op.
Stawka
Producent, nazwa proponowanego preparatu, dawka
rok
200
150
40
400
350
4500
2000
250
100
10
15
10
120
50
90
100
60
40
20
15
30
160
60
VAT %
Cena
brutto za
jedn.
miary
Wartość
Cena
brutto za
jedn.
miary
Wartość
brutto
PAKIET NR 2:Leki p/bólowe i p/zapalne
Ilość na
Lp.
1
2
Asortment
Ketoprofen 50mg x 30kaps
Ketoprofen 100mg/2ml x 10amp im/iv
WARTOŚĆ BRUTTO:
Jedn.miary
op.
op.
Stawka
Producent, nazwa proponowanego preparatu, dawka
rok
400
850
VAT %
brutto
PAKIET NR 3:Leki ogólnodziałające
Ilość na
Lp.
Asortment
Jedn.miary
Stawka
Producent, nazwa proponowanego preparatu, dawka
rok
1
2
3
4
5
6
7
8
9
10
11
12
Acetylocysteina 200mg x 20tabl
Acetylocysteina 600mg x 20 tabl. musuj.
Acetylocysteina 300mg/3ml x 5amp
Aluminii acetotartras X 6tabl
Cefuroximum 250mg x 10tabl
Cefuroximum 500mg x 10tabl.
Clindamycinum 300mg x 16kaps
Clindamycinum 300mg/2ml x 5amp.
Ferri hydroxydi polysomaltosum IM 2ML X 50AMP
Ferri hydroxydi polysomaltosum SYROP 50MG/5ML 100ML
Ferri hydroxydi saccharum 0,02g/ml 5ml x 5amp.
Leko sasz. do dezynf. X 100szt.
WARTOŚĆ BRUTTO:
op.
op.
op.
op.
op.
op.
op.
op.
op.
op.
op.
op.
VAT %
Cena
brutto za
jedn.
miary
Wartość
Cena
brutto za
jedn.
miary
Wartość
Cena
brutto za
jedn.
miary
Wartość
brutto
10
10
50
450
40
20
10
10
3
1
100
25
PAKIET NR 4:Kontrasty , paski do pomiaru glukozy we krwi
Ilość na
Lp.
Asortment
Jedn.miary
Stawka
Producent, nazwa proponowanego preparatu, dawka
rok
1
2
3
4
5
Iomeprolum 0,3g jodu/ml 20ml
Iomeprolum 0,3g jodu/ml 50ml
Paski do pomiaru glukozy we krwi ACCU CHECK ACTIV x 50szt.
Paski do pomiaru glukozy we krwi ACCU CHECK GO x 50szt.
Urapidilum 25MG/5ML X 5AMP.
WARTOŚĆ BRUTTO:
fiol.
fiol.
op.
op.
op.
VAT %
brutto
40
140
25
30
30
PAKIET NR 5:Antybiotyki
Ilość na
Lp.
1
Asortment
Amikacinum inj. 500mg / 2ml
WARTOŚĆ BRUTTO:
Jedn.miary
fiol.
Stawka
Producent, nazwa proponowanego preparatu, dawka
rok
2000
VAT %
brutto
PAKIET NR 6:Antybiotyki
Ilość na
Lp.
1
2
Asortment
Amoksycylina 500mg + kwas klawulanowy 125mg tabl.
Amoksycylina 500mg + kwas klawulanowy 100mg inj.
WARTOŚĆ BRUTTO:
Jedn.miary
tabl.
fiol.
Stawka
Producent, nazwa proponowanego preparatu, dawka
rok
4410
360
VAT %
Ilość na
Stawka
Cena
brutto za
jedn.
miary
Wartość
Cena
brutto za
jedn.
miary
Wartość
Cena
brutto za
jedn.
miary
Wartość
Cena
brutto za
jedn.
miary
Wartość
brutto
PAKIET NR 7:Antybiotyki
Lp.
1
Asortment
Amoksycylina 1000mg + kwas klawulanowy 200mg inj.
WARTOŚĆ BRUTTO:
Jedn.miary
fiol.
Producent, nazwa proponowanego preparatu, dawka
rok
8000
VAT %
Ilość na
Stawka
brutto
PAKIET NR 8:Leki przeciwbólowe
Lp.
1
Asortment
Jedn.miary
fiol.
Paracetamol r-r do infuzji 10mg/ml
WARTOŚĆ BRUTTO:
Producent, nazwa proponowanego preparatu, dawka
rok
1800
VAT %
brutto
PAKIET NR 9:Antybiotyki
Ilość na
Lp.
1
Asortment
Ceftriaxon 1g
WARTOŚĆ BRUTTO:
Jedn.miary
fiol.
Stawka
Producent, nazwa proponowanego preparatu, dawka
rok
200
VAT %
brutto
PAKIET NR 10:Leki ogólnodziałające
Ilość na
Lp.
Asortment
Jedn.miary
Stawka
Producent, nazwa proponowanego preparatu, dawka
rok
1
2
3
4
5
6
7
8
9
10
Budesonid 0,125mg/ml 2ml x 20
Budesonid 0,250mg/ml 2ml x 20
Budesonid 0,500mg/ml 2ml x 20
Bupivacaina spinal heavy 0,5% 5mg/ml a 4ml x 5amp.
nie wymagane jałowe pakowanie ampułek
Bupivacaina z adrenaliną 0,5% 5mg/ml a 20ml x 5fiol.
Meropenem 1g inj x10fiol.
Metoprololi succinas 100mg x 28tabl o przedł uwal
Metoprololi succinas 50mg x 28tabl o przedł uwal
Metoprololi tartras 1mg/ml x 5amp. 5ml
Torasemid 10mg x 30tabl
WARTOŚĆ BRUTTO:
VAT %
op.
op.
op.
op.
60
50
160
260
op.
op.
op.
op.
op.
op.
10
50
40
70
10
60
Cena
brutto za
jedn.
miary
Wartość
Cena
brutto za
jedn.
miary
Wartość
Cena
brutto za
jedn.
miary
Wartość
Cena
brutto za
jedn.
miary
Wartość
brutto
PAKIET NR 11:Albuminy
Ilość na
Lp.
1
Asortment
Albuminum humanum 20% 50 ml
WARTOŚĆ BRUTTO:
PAKIET NR 12:Import docelowy
Lp.
1
Jedn.miary
fiol.
Stawka
Producent, nazwa proponowanego preparatu, dawka
rok
120
VAT %
Ilość na
Stawka
brutto
TERMIN DOSTAWY 30 DNI!!!!!
Asortment
Methyloergometrine 0,2mg/ml
WARTOŚĆ BRUTTO:
Jedn.miary
amp.
Producent, nazwa proponowanego preparatu, dawka
rok
200
VAT %
brutto
PAKIET NR 13:Immunoglobuliny
Ilość na
Lp.
Asortment
Jedn.miary
rok
1
LUDZKA IG G DO WLEWÓW IV (zawartość
IG G co najmniej 95%) w post.roztworu lub subst.suchej
WARTOŚĆ BRUTTO:
gram
Stawka
Producent, nazwa proponowanego preparatu, dawka
200
VAT %
brutto
PAKIET NR 14:Antidota
Ilość na
Lp.
Asortment
Jedn.miary
Stawka
Producent, nazwa proponowanego preparatu, dawka
rok
1
Flumazenil 0,5mg/ml x 5amp.
WARTOŚĆ BRUTTO:
op.
VAT %
Cena
brutto za
jedn.
miary
Wartość
Cena
brutto za
jedn.
miary
Wartość
Cena
brutto za
jedn.
miary
Wartość
Cena
brutto za
jedn.
miary
Wartość
brutto
5
PAKIET NR 15:Hormony
Ilość na
Lp.
1
Asortment
Terlipressinum 200mcg/2ml x 5amp
WARTOŚĆ BRUTTO:
Jedn.miary
op.
Stawka
Producent, nazwa proponowanego preparatu, dawka
rok
100
VAT %
brutto
PAKIET NR 16:Leki nestezjologiczne
Ilość na
Lp.
Asortment
Jedn.miary
Stawka
Producent, nazwa proponowanego preparatu, dawka
rok
1
2
3
4
Desflurane płyn do inhal. 1mg/ml 240ml
Dzierżawa 2szt parowników do preparatu zaorerowanego w poz. 1;
Sevoflurane płyn do inhal. 250ml
Dzierżawa 3sztparowników do preparatu zaorerowanego w poz. 3;
WARTOŚĆ BRUTTO:
fl.
miesiąc
fl.
miesiąc
VAT %
brutto
54
12
30
12
PAKIET NR 17:Leki ogólnodziałające
Ilość na
Lp.
Asortment
Jedn.miary
rok
1
3
4
2
Amantadini sulfas 200mg/500ml x 10fl. do wlewów i.v.
Calcium musujące 150-300mg Ca w 1tabl.
Lacium kaps.
Ornithine 0,5g/ml a 10ml x 10amp.
WARTOŚĆ BRUTTO:
op.
tabl.
kaps.
op.
Stawka
Producent, nazwa proponowanego preparatu, dawka
5
1300
4800
20
VAT %
brutto
PAKIET NR 18:Antybiotyki , insuliny
Ilość na
Lp.
Asortment
Jedn.miary
Stawka
Producent, nazwa proponowanego preparatu, dawka
rok
1
2
3
4
5
6
7
8
9
10
11
12
13
14
15
16
17
18
Amoksicillinum 0,25g x 16kaps.
Amoksicillinum 0,5g x 16kaps.
Benzylopenicyllinum kalicum 1mln j.m.
Cefamandol 1g
Cefotaksym 1g
Cefotaksym 2g
Colistinum 1mln jm
Dobutaminum 0,25g
Doxycyclinum 0,1g x 10amp.
Doxycyclinum 0,1g x 10kaps
Erythromycinum 0,3g
Hydrocortison+Oxytetracyclinum (3,1mg+9,3mg)/g 55ml
INSULINA KRÓTKODZIAŁAJĄCA początek działania po 30min, max po 1-3h,
całkowity czas dział. ok. 8h; zawiesina do wstrz. 100j.m./ml a 3ml
INSULINA O POŚREDNIM CZASIE DZIAŁANIA, początek dzałania po 1,5h,
maximum dział. 4-12h, całkowity czas dział ok. 24h; zawiesina do wstrz.
100j.m./ml a 3ml
INSULINA O POŚREDNIM CZASIE DZIAŁANIA, początek dzałania po 30min,
maximum dział. 2-8h, całkowity czas dział do. 24h; zawiesina do wstrz.
100j.m./ml a 3ml
Neomycinum aer.55g
Streptomycinum 1g
W poz. 5 i 6 wymaga się aby proponowane preparaty pochodziły
od jednego producenta
WARTOŚĆ BRUTTO:
VAT %
op.
op.
fiol.
fiol.
fiol.
fiol.
fiol.
fiol.
op.
op.
fiol.
op.
6
200
100
1600
600
4500
1600
1500
200
120
30
5
fiol.
350
fiol.
45
fiol.
op.
fiol.
100
150
50
Cena
brutto za
jedn.
miary
Wartość
Cena
brutto za
jedn.
miary
Wartość
brutto
PAKIET NR 19:Leki kardiologiczne
Ilość na
Lp.
1
2
3
4
5
Asortment
Gliclazidum tabl o zmod uwal 60mg
Trimetazidini dihydrochloridum tabl o zmod uwal 35mg
Perindopril 5mg
Perindopril 10mg
Indapamid tabl. powl. o powolnym uwalnianiu 1,5mg
WARTOŚĆ BRUTTO:
Jedn.miary
tabl
tabl
tabl
tabl
tabl
Stawka
Producent, nazwa proponowanego preparatu, dawka
rok
1200
900
10800
1800
3600
VAT %
brutto
PAKIET NR 20:Antybiotyki
Ilość na
Lp.
1
Asortment
Imipenem 0,5g+Cilastatinum 0,5g pr do podawania r-ru do inf.
WARTOŚĆ BRUTTO:
Jedn.miary
szt.
Stawka
Producent, nazwa proponowanego preparatu, dawka
rok
600
VAT %
Ilość na
Stawka
Cena
brutto za
jedn.
miary
Wartość
Cena
brutto za
jedn.
miary
Wartość
Cena
brutto za
jedn.
miary
Wartość
brutto
PAKIET NR 21:Preparaty do żywienia pozajelitowego
Lp.
Asortment
Jedn.miary
Producent, nazwa proponowanego preparatu, dawka
rok
1
Worek 3-komorowy do żywienia pozajelitowego o pojemności 1700-2000ml
zawierający aminokwasy, glukozę, emulsję tłuszczową (80% oleju z oliwek i 20%
oleju sojowego), zarejestrowany do podawania drogą żył obwodowych i/lub centralnych.
Zawartość: 40g tłuszczu, 7,3-8,6g azotu, stosunek energii niebiałkowej do azotu
144-150
szt.
2
Stężony r-r niezbędnych pierwiastków śladowych przeznaczony
do kompletnego żywienia pozajelitowego 10ml
Wodny 20% r-r glicerofosforanu sodu do żywienia pozajelitowego
Zbilansowany zestaw witamin rozp w wodzie i tłuszczach z wyjątkiem vit K dla dorosłych
imłodzieży; przeznaczony dla pacjentów żywionych pozajelitowo, w postaci proszku do
spożądzania r-ru do wstrzykiwań i infuzji 750mg
Phospholipidum essen/soiae ol. Emulsja do inf 20%MCT/LCT 500ml
w pozycjach 2,3,4 wymaga się dostarczenia oświadczenia
o stabilności pozwalaącej na zastosowanie proponowanych
preparatów z zaoferowanym w poz. 1 workiem
3
4
5
amp.
amp.
amp.
fl.
VAT %
brutto
600
600
600
600
5
WARTOŚĆ BRUTTO:
PAKIET NR 22:Leki ogolnodziałające
Ilość na
Lp.
1
2
3
4
5
6
7
Asortment
Diosmectite pr do sporz zaw doust 3,76g
Macrogolum 74g x 50sasz.
Oxitocinum r-r do inf. lub wstrz. 5 j.m.
Rocuronii bromidum 100mg/10ml x 10fiol
Rocuronii bromidum 50mg/5ml x 10fiol
Vecuronium bromide 10MG/ML X 10FIOL.
Vecuronium bromide 4MG/ML X 50AMP
WARTOŚĆ BRUTTO:
Jedn.miary
sasz.
op.
amp.
op.
op.
op.
op.
Stawka
Producent, nazwa proponowanego preparatu, dawka
rok
1500
40
600
5
4
25
8
VAT %
brutto
PAKIET NR 23:Preparaty do żywienia dojelitowego
Ilość na
Lp.
Asortment
Jedn.miary
Producent, nazwa proponowanego preparatu, dawka
rok
1
Dieta wspomagająca leczwnie ran, kompletna pod względem odżyw-
5
czym, normokaloryczna, bogatoresztkowa, do leczenia żywieniowego
drogą przew pokarmowego; zawart białka 5,5g/100 w tym arginina min
0,85g, bezglutenowa, wolna od laktozy; op miękkie typu pack 1L
Kompletna pod wzgl odżywczym dieta normalizująca glikemię,
min 1kcal/ml, zaw białka nie mn iej niż 4g/100ml, bogatoresztkowa (6
rodz błonnika o odpowiednich proporcjach włókien rozpuszczalnych i
nierozpuszczalnych), węglowodany w max 54% (skrobia i fruktoza),
tłuszcz max 40%, bezglutenowa, wolna od laktozy, do podaży przez
zgłębnik, op miękkie typu pack 1L
Płynna, kompletna pod wzgl odżywczym dieta do leczenia żywieniowego drogą przew pokarmowego , normokaloryczna, zaw białka nie mniej
niż 4g/100ml, bodatoresztkowa (6 rodz błonnika rozpuszczalnego i nierozpuszczalnego), energia uzyskana z węglowodanów max 50%, wolna
od laktozy, osmolarność nie wyższa niż 210mOsm/l, op miękkie typu
pack 1L
Płynna, kompletna pod wzgl odżywczym dieta do leczenia żywieniowego drogą przew pokarmowego, normokaloryczna 1kcal/ml, oparta wyłącznie na białku kazeinowym, zaw białka nie mn niż 4g/100ml, bezsmakowa, bezresztkowa, bezglutenowa, wolna od laktozy, osmolarność
nie wyższa niż 270mOsm/l, op miękkie typu pack 1L
Płynna, kompletna pod wzgl odżywczym dieta do leczenia żywieniowe-
6
go drogą przew pokarmowego,, hiperkaloryczna 1,5kcal/ml,dostarczająca min 49% energii z węglowodanów, oparta wyłącznie na białku kazeinowym, zaw białka 6g/100ml, bezsmakowa, bezresztkowa, bezglutenowa, wolna od laktozy, op miękkie typu pack 1L
niskotłuszczowa dieta do leczenia żywieniowego drogą przewodu pokar
2
3
4
7
8
9
mowego, kompletna pod wzgl odżywczym, normokaloryczna 1kcal/ml,
oparta wyłącznie na hydrolizacie serwatki, zawartość tłuszczu nie więcej niż 2g/100ml (max 15% energii), bezresztkowa, bezglutenowa,
wolna od laktozy, op miękkie typu pack 1L
Bogatobiałkowa (oparta na białku kazeinowym) dieta bezresztkowa,
kompletna pod wzdlędem odżywczym, hiperkaloryczna dostarczająca
min 1,25kcal/ml, wolna od laktozy, bezglutenowa, osmolarność nie
wyższa niż 290mOsm/l, do leczenia żywieniowego drogą przewodu pokarmowego, op miękkie typu pack 1L
Poliuretanowy przyrząd grawitacyjny z zaciskiem rolkowym do żywienia
dojelitowego do op mękkiego typu pack. Nie zawiera DEHP
Dieta dla pacjentów z cukrzycą, kompletna pod względem odżywczym,
o zawartości energii nie mniej niż 1 kcal/ml, gdzie gł zródło węglowodanów
stanowi izomaltoza, zawierająca błonnik pokarmowy oraz białko serwatkowe
i sojowe, bezglutenowa. Butelka 200ml
Stawka
VAT %
op.
50
op.
90
op.
300
op.
120
op.
40
op.
50
op.
200
szt.
850
op.
30
Cena
brutto za
jedn.
miary
Wartość
brutto
10
11
12
13
14
15
Doustna dieta płynna, hiperkaloryczna 1,5kcal/ml, kompletna pod względem
odżywczym, oparta wyłącznie na białkach mleka, zawierająca nie mniej niż
6g białka/100ml. Bezglutenowa, wolna od laktozy, zawierająca wyłącznie
tłuszcze LCT. Butelka 200 ml
Płynna, kompletna pod wzgl odżywczym dieta do leczenia żywieniowego drogą przew pokarmowego , normokaloryczna, zaw białka nie mniej
niż 4g/100ml, bodatoresztkowa (6 rodz błonnika rozpuszczalnego i nierozpuszczalnego), energia uzyskana z węglowodanów max 50%, wolna
od laktozy, osmolarność nie wyższa niż 210mOsm/l, op. typu butelka 0,5L
Płynna, kompletna pod wzgl odżywczym dieta do leczenia żywieniowego drogą przew pokarmowego, normokaloryczna 1kcal/ml, oparta wyłącznie na białku kazeinowym, zaw białka nie mn niż 4g/100ml, bezsmakowa, bezresztkowa, bezglutenowa, wolna od laktozy, osmolarność
nie wyższa niż 270mOsm/l, op. typu butelka 0,5L
Płynna, kompletna pod wzgl odżywczym dieta do leczenia żywieniowego drogą przew pokarmowego,, hiperkaloryczna 1,5kcal/ml,dostarczająca min 49% energii z węglowodanów, oparta wyłącznie na białku kazeinowym, zaw białka 6g/100ml, bezsmakowa, bezresztkowa, bezglutenowa, wolna od laktozy, op typu butelka 0,5L
niskotłuszczowa dieta do leczenia żywieniowego drogą przewodu pokar
mowego, kompletna pod wzgl odżywczym, normokaloryczna 1kcal/ml,
oparta wyłącznie na hydrolizacie serwatki, zawartość tłuszczu nie więcej niż 2g/100ml (max 15% energii), bezresztkowa, bezglutenowa,
wolna od laktozy, op typu butelka 0,5L
Poliuretanowy przyrząd grawitacyjny z zaciskiem rolkowym do żywienia
dojelitowego do op typu butelka. Nie zawiera DEHP
op.
100
op.
30
op.
200
op.
60
op.
100
szt.
390
WARTOŚĆ BRUTTO:
PAKIET NR 24:Antybiotyki
Ilość na
Lp.
1
2
3
4
Asortment
Cefoperazon 1g+ Sulbactam 1g i.v./i.m.
Linezolid r-r do wl dożyl 2mg/ml 300ml
KETAMINA 500mg/10ml
Voriconazol proszek do inf.200mg x 1fiol.
WARTOŚĆ BRUTTO:
Jedn.miary
fiol.
worek
fiol.
fiol.
Stawka
Producent, nazwa proponowanego preparatu, dawka
rok
100
70
40
60
VAT %
Cena
brutto za
jedn.
miary
Wartość
brutto
PAKIET NR 25:Heparyna drobnocząsteczkowa
Ilość na
Lp.
1
2
Asortment
DALTEPARYNA 2500 t. j. aXa / 0,2ml
DALTEPARYNA 5000 t. j. aXa / 0,2ml
WARTOŚĆ BRUTTO:
Jedn.miary
amp/strz
amp/strz
Stawka
Producent, nazwa proponowanego preparatu, dawka
rok
1000
350
VAT %
Ilość na
Stawka
Cena
brutto za
jedn.
miary
Wartość
Cena
brutto za
jedn.
miary
Wartość
Cena
brutto za
jedn.
miary
Wartość
Cena
brutto za
jedn.
miary
Wartość
brutto
PAKIET NR 26:Antbiotyki
Lp.
1
Asortment
Jedn.miary
Vancomycinum 1g
WARTOŚĆ BRUTTO:
fiol.
Producent, nazwa proponowanego preparatu, dawka
rok
150
VAT %
brutto
PAKIET NR 27:IPP do iniekcji
Ilość na
Lp.
Asortment
Jedn.miary
Stawka
Producent, nazwa proponowanego preparatu, dawka
rok
1
Omeprazol 40mg fiolki - nie wymagana potwierdzona
skuteczność kliniczna i bezpieczeństwo stosowania
u dzieci; dopuszcza się preparaty z ograniczeniami
czasowymi w podawaniu. Wymagana możliwość podawania preparatu w pompie
oraz rozpuszczalność w 0,9% NaCl i 5% glukozie
WARTOŚĆ BRUTTO:
fiol.
VAT %
brutto
2500
PAKIET NR 28:IPP do podawania doustnego
Ilość na
Lp.
1
Asortment
Omeprazol 20mg kaps.dojel.
WARTOŚĆ BRUTTO:
Jedn.miary
kaps.
Stawka
Producent, nazwa proponowanego preparatu, dawka
rok
25000
VAT %
brutto
PAKIET NR 29:Leki ogólnodziałające
Ilość na
Lp.
1
2
3
4
5
6
7
8
9
10
11
12
13
14
15
16
17
18
19
20
21
22
23
24
Asortment
Ac acetylosalicylicum 75mg x 60tabl. dojel.
Ac. Acetylsalicylicum 0,15g x 60tabl.
Ac. Acetylsalicylicum 0,3g x 20tabl.
Aqua pro inj. 10mlx100amp.
Ciprofloksacyna roztwór do wlewów i infuzji 2mg/ml a 100ml
Ciprofloksacyna roztwór do wlewów i infuzji 2mg/ml a 50ml
INJ. NATRII CHLORATI 0,9% 10ML X 100AMP
INJ. NATRII CHLORATI 10% 10ML X 100AMP
Klarytromycyna 125mg/5ml 60ml
Klarytromycyna 250mg x 14 tabl.
Klarytromycyna 500mg x 14 tabl.
Magnesium sulph 20% 10mlx10amp.
Metamizolum natricum 0,5g x 6tabl.
Metamizolum natricum 1g/2ml x 5amp.
Metamizolum natricum 2,5g/5ml x 5amp.
Metforminum 0,5gx30tabl./tabl. powl.
Metforminum 0,85gx30tabl. /tabl.powl.
Metformium 1,0gx30tabl. /tabl.powl.
Metronidazolum 0,5% 100 ml r-r do infuzji i/lub wlewow
Natrium bicarbonicum 8,4% 20mlx10amp.
Piracetam 12g/60ml
Ranitydinum 0,5mg/ml 100ml r-r do inf.
Tramadoli hydrochloridum 100mg/2ml x 5amp.
Tramadoli hydrochloridum 50mg x 20kps.
WARTOŚĆ BRUTTO:
Jedn.miary
op.
op.
op.
op.
szt.
szt.
op.
op.
op.
op.
op.
op.
op.
op.
op.
op.
op.
op.
fl.
op.
fl.
fl.
op.
op.
Stawka
Producent, nazwa proponowanego preparatu, dawka
rok
200
50
180
70
4700
800
320
40
50
60
15
200
850
400
1300
70
90
15
3500
35
800
1800
400
175
VAT %
Cena
brutto za
jedn.
miary
Wartość
Cena
brutto za
jedn.
miary
Wartość
Cena
brutto za
jedn.
miary
Wartość
brutto
PAKIET NR 30:Leki przeczyszczające
Ilość na
Lp.
Asortment
Jedn.miary
Stawka
Producent, nazwa proponowanego preparatu, dawka
rok
1
Lactulosa 1L
WARTOŚĆ BRUTTO:
fl.
VAT %
brutto
55
PAKIET NR 31:Środki dezynfekcyjne
Ilość na
Lp.
Asortment
Jedn.miary
Producent, nazwa proponowanego preparatu, dawka
rok
1
Spirytus salicylowy płyn 800g
WARTOŚĆ BRUTTO:
op.
Stawka
VAT %
25
brutto
PAKIET NR 32:Immunoglobuliny
Ilość na
Lp.
Asortment
Jedn.miary
Stawka
Producent, nazwa proponowanego preparatu, dawka
rok
1
Immunoglobulinum humanum anty Hbs r-r do wstrz domięśn.200j.m.2ml
WARTOŚĆ BRUTTO:
amp.
VAT %
Cena
brutto za
jedn.
miary
Wartość
Cena
brutto za
jedn.
miary
Wartość
Cena
brutto za
jedn.
miary
Wartość
brutto
3
PAKIET NR 33:Leki ogólnodziałające
Ilość na
Lp.
1
2
3
4
5
6
7
8
Asortment
Dexamethasoni natrii phosphas 4mg x 10amp.
Hydrocortisonum 100mg x 5amp.+ 5amp. rozp.
Hydrocortisonum 25mg x 5amp.+ 5amp. rozp.
Lignocainum h/chl 2% żel 30g
Lignocainum h/chl 2% żel 30g tuba z kaniulą
Sulfathiazolum argentum 2% krem 400g
Sulfathiazolum argentum 2% krem 40g
Suxamethonii chloridum 0,2g x 10fiol z s.suchą
WARTOŚĆ BRUTTO:
Jedn.miary
op.
op.
op.
op.
op.
op.
op.
op.
Stawka
Producent, nazwa proponowanego preparatu, dawka
rok
100
1600
140
30
250
100
80
10
VAT %
Ilość na
Stawka
brutto
PAKIET NR 34:leki p/wirusowe
Lp.
Asortment
Jedn.miary
Producent, nazwa proponowanego preparatu, dawka
rok
1
Lamivudyna/ Zydovudyna 150mg/300mg x 60tabl.powl.
WARTOŚĆ BRUTTO:
VAT %
1
brutto
PAKIET NR 35:leki ogólnodziałające
Ilość na
Asortment
Lp.
1
2
3
4
5
6
7
8
9
10
11
12
13
14
15
16
17
18
19
20
21
22
23
24
25
26
27
28
29
30
31
32
33
34
35
36
37
38
39
40
41
42
43
Jedn.miary
Producent, nazwa proponowanego preparatu, dawka
rok
Acenocumarol 4mgx60tabl-wymagana możliwość podziału tabl na 4 części
Adrenalina 1% 1mg/ml a 1ml x10amp.
Amylasum, lipasum,proteasum 16t.j.x60kaps.dojel.
Atropinum sulph. 0,5mg/ml a 1ml x10amp.
Bupivacaina 0,5% 5mg/ml 10mlx10amp.
Calcium chloratum 10% 10ml x 10amp.
Ceteryzyna 10mg x 30tabl.powl.
Chloropromazini h/chl. 25mg/5mlx5amp.I.V.
Clemastinum 1mgx30tabl.
Clemastinum inj. 2mg/2mlx5amp.
Cyanocobalaminum 1mg/2mlx5amp.
Diazepamum 10mg/2mlx50amp.
Diazepamum 5mg/2,5mlx5wlewów
Digoxinum 0,5mg/2mlx5amp.
Digoxinum tabl. 0,25mgx30
Dopaminum h/chl. 4% 0,2g/5mlx10amp.
Ephedrinum h/chl 25mg/mlx10amp.
Fentanylum 0,1mg/2mlx50amp.
Haloperidolum 1mgx40tabl.
Haloperidolum 5mg/mlx10amp.
Haloperidolum gtt.10ml
Heparinum 25t.j.m./5mlx10fiol.
Kalium chloratum 15% 20mlx10fiol.
Lidocainum 2% +0,000125% nordrenalin 2mlx10amp.
Lignocainum 2% 20mlx5fiol.
Lignocainum 2% 2mlx10amp.
Loperamidum 2mgx30tabl.
Midazolam 5mg/5ml
Molsidominum 4mgx30tabl.
Morphini sulphas 20mg/mlx10amp.
Morphinum h/chl. plv op. a 1g
Naloxoni h/chl. 0,4mg/ml r-r do wstrz.x10amp.
Norepinefrini bitartras r-r do inf. 1mg/mlx10amp.
Papaverinum h/chl 40mg/2mlx10amp.
Pethidinum 0,1g/2mlx10amp.
Phytomenadionum 10mg/mlx10amp.
Propofolum 1% emulsja do wstrzyknięć i wlewów 20ml
Propranololi h/chl. 1mg/mlx10amp.
Propranololi h/chl.10mgx50tabl.
Salbutamolum 0,5mg/mlx10amp.
Salbutamolum 4mgx25tabl.
Sulfacetamidum natr. H-E-C 10% 2x5ml
Tropicamidum 1% 2x5ml
WARTOŚĆ BRUTTO:
op.
op.
op.
op.
op.
op.
op.
op.
op.
op.
op.
op.
op.
op.
op.
op.
op.
op.
op.
op.
op.
op.
op.
op.
op.
op.
op.
amp.
op.
op.
gram
op.
op.
op.
op.
op.
amp/fiol.
op.
op.
op.
op.
op.
op.
Stawka
30
100
40
400
100
70
20
15
30
30
65
12
8
70
60
50
90
60
20
60
450
15
650
10
450
400
130
4000
15
40
1
40
400
450
55
50
1400
5
30
5
30
45
5
VAT %
Cena
brutto za
jedn.
miary
Wartość
brutto
PAKIET NR 36:Leki rózne
Ilość na
Lp.
Asortment
Jedn.miary
Stawka
Producent, nazwa proponowanego preparatu, dawka
rok
1
2
3
4
AQUA PRO INJ 500ML, BUTELKA Z PODWÓJNYM PORTEM
NATRII CHLORATI 0,9% 1L BUTELKA Z PODWÓJNYM PORTEM
NATRII CHLORATI 0,9% 0,5L typu Ecolav
PRZYRZĄD DO ASPIROWANIA LEKÓW I PŁYNÓW Z OP. ZBIORCZYCH Z FILTREM
P/BAKTERYJNYM 0,45 POSIADAJĄCY ZASTAWKĘ BEZZWROTNĄ
ZAPOBIEGAJĄCĄ PRZYPADKOWEMU WYDOSTAWANIU SIĘ LEKU
NA ZEWNĄTRZ KOMPATYBILNY Z PROPONOWANYMI W POZ. 1 i 2 BUTELKAMI
5
6
7
Povidone-iodine 0,1g/g maść 250g
PRONTOSAN R-R DO PŁUKANIA RAN 350 ML
Etomidate 20mg/10ml emulsja do wstrzyknięć iv, pH7,5-8,5 x 10amp
butelka
butelka
butelka
20
700
500
szt.
op.
op.
op.
720
200
80
60
VAT %
Cena
brutto za
jedn.
miary
Wartość
Cena
brutto za
jedn.
miary
Wartość
brutto
WARTOŚĆ BRUTTO:
PAKIET NR 37:Płyny infuzyjne
Ilość na
Lp.
1
2
3
4
5
6
7
8
9
10
11
12
13
14
15
16
17
18
19
20
21
22
Asortment
AQUA PRO INJ. 500ML
AQUA PRO INJ. 250ML
AQUA PRO INJ. 100ml
TETRASPAN 10% 500ml
TETRASPAN 6% 500ml
DEKSTRAN 40T.J.M. 500ML (worek/butelka)
DEKSTRAN 70T. J.M.500ML (worek/butelka)
5% GLUCOSA + 0,9%NaCl 2:1 250ML butelka/worek
GLUCOSA 5% 250ML butelka/worek
GLUCOSA 5% 500ML
GLUCOSA 10% 100ML
GLUCOSA 10% 250ML
GLUCOSA 10% 500ML
HYDROKSYETYLOSKROBIA 10% 250ML
HYDROKSYETYLOSKROBIA 6% 250ML
MANNITOL 20% 100ML
MANNITOL 20% 250ML
NATRII CHLORATI 0,9% 1L WOREK TYPU VIAFLO
NATRII CHLORATI 0,9% 5L WOREK TYPU VIAFLO
NATRII CHLORATI 0,9% 100ML butelka/worek
NATRII CHLORATI 0,9% 250ML butelka/worek
NATRII CHLORATI 0,9% 500ML butelka/worek
Jedn.miary
szt.
szt.
szt.
szt.
szt.
op.
op.
szt.
szt.
butelka
butelka
butelka
butelka
fl.
fl.
butelka
butelka
szt.
szt.
szt.
szt.
szt.
Stawka
Producent, nazwa proponowanego preparatu, dawka
rok
3000
300
300
300
220
20
60
1400
700
5500
300
200
460
60
700
1000
400
2200
400
6000
4000
8000
VAT %
brutto
23
24
25
26
27
butelka
butelka
butelka
butelka
butelka
PŁYN JELITOWY 500 ML
PŁYN PEDIATR. WYRÓWNAW. 250ML
PŁYN ŻOŁĄDKOWY ZAPOBIEG. 500ML
PŁYN RINGERA 500ML
PŁYN WIELOELEKTROLITOWY 500ML
40
900
500
2300
10000
WARTOŚĆ BRUTTO:
PAKIET NR 38:Leki układu oddechowego
Ilość na
Lp.
30
Asortment
Jedn.miary
flakon
TEOFILINA 300MG/250ML
Stawka
Producent, nazwa proponowanego preparatu, dawka
rok
5000
VAT %
Cena
brutto za
jedn.
miary
Wartość
Cena
brutto za
jedn.
miary
Wartość
Cena
brutto za
jedn.
miary
Wartość
brutto
WARTOŚĆ BRUTTO:
PAKIET NR 39:Preparat do cewnikowania
Ilość na
Lp.
1
Asortment
Jałowy żel do cewnikowania pęcherza moczowego 5ml
WARTOŚĆ BRUTTO:
Jedn.miary
szt.
Stawka
Producent, nazwa proponowanego preparatu, dawka
rok
100
VAT %
Ilość na
Stawka
brutto
PAKIET NR 40:leki ogólnodziałające
Lp.
1
2
3
4
5
6
7
8
9
Asortment
Ac ascorbicum r-r do wstrz. 100mg/ml a 5ml x 10amp.
Calcii glucobionas 9mg jonów Ca/ml 10ml r-r do wstrz.
Fenoteroli hydrobromidum 0,5mg/10ml x 15amp.r-r do wstrz iv
Glucosa 20% r-r do wstrz. I.v. 10ml
Glucosa 40% r-r do wstrz. I.v. 10ml
Hydroxyzinum inj.0,1g/2ml x 5amp.
Ornithine r-r do infuzji 100mg/ml a 5ml x 10amp.
Polstygminum 0,5mg/ml x 10amp.
Thiamini r-r-do wstrz.25mg/ml a 1ml x 10amp.
WARTOŚĆ BRUTTO:
Jedn.miary
op.
amp.
op.
amp.
amp.
op.
op.
op.
op.
Producent, nazwa proponowanego preparatu, dawka
rok
100
400
3
300
600
240
30
100
20
VAT %
brutto
PAKIET NR 41:czynnik VII Krzepnięcia
Ilość na
Lp.
Asortment
Jedn.miary
Stawka
Producent, nazwa proponowanego preparatu, dawka
rok
1
Coagulation factor VII 4,8mg 240Kj.m liofilizat do inj.1fiol+rozp.
WARTOŚĆ BRUTTO:
kpl.
VAT %
Cena
brutto za
jedn.
miary
Wartość
Cena
brutto za
jedn.
miary
Wartość
brutto
1
PAKIET NR 42:Maści
Ilość na
Lp.
1
2
Asortment
Ketoprofen żel 50g 2,5%
Betamethasoni+Clotrimazolum+Gentamycyna (0,5mg+0,01g+1mg)/g maść 15g
WARTOŚĆ BRUTTO:
Jedn.miary
op.
op.
Stawka
Producent, nazwa proponowanego preparatu, dawka
rok
100
5
VAT %
brutto
PAKIET NR 43:Płyny do hemodializy
Ilość na
Lp.
Asortment
Jedn.miary
Stawka
Producent, nazwa proponowanego preparatu, dawka
rok
1
2
Płyn do hemofiltracji 2mmol/l worek 5l
Płyn do hemofiltracji 4mmol/l worek 5l
WARTOŚĆ BRUTTO:
szt.
szt.
VAT %
Cena
brutto za
jedn.
miary
Wartość
Cena
brutto za
jedn.
miary
Wartość
brutto
60
130
PAKIET NR 44:Leki ogólnodziałające
Ilość na
Lp.
Asortment
Jedn.miary
Producent, nazwa proponowanego preparatu, dawka
rok
1
2
3
4
5
6
7
8
9
10
11
12
13
14
15
16
17
18
19
20
21
22
23
24
25
26
27
28
29
30
Amoxicillinum+Ac. Clavulanicum 0,4g+0,057 mg)/5ml 70ml zaw.(10,6g)
Bisacodylum 10mgx5supp.
Phenylbutazonum 250mgx5supp
Phenylbutazonum 0,05g/g ung 30g
Clotrimazolum krem 1% 20g
Clotrimazolum 0,1gx6 tabl. vag
Clobetasoli propionas 0,5mg/g maść 25g
Diclofenacum 50mgx10supp
Ceftazidimum 1g monovial pr. do przygotow r-ru do wstrzyknięć
Nadroparinum calc.9500jm aXa/ml a 5ml
Strzykawka 1ml z podzialką co 0,1ml, jałowa, apirogenna
PRZYRZĄD DO ASPIROWANIA LEKÓW I PŁYNÓW Z OP. ZBIORCZYCH Z FILTREM
P/BAKTERYJNYM 0,45μm POSIADAJĄCY ZASTAWKĘ BEZZWROTNĄ
ZAPOBIEGAJĄCĄ PRZYPADKOWEMU WYDOSTAWANIU SIĘ LEKU
NA ZEWNĄTRZ KOMPATYBILNY Z FIOLKĄ PROPONOWANYNĄ W POZ.10
Nadroparinum calc. 2850jm aXa/0,3ml
Nadroparinum calc. 3800jm aXa/0,4ml
Nadroparinum calc. 5700jm aXa/0,6ml
Ferrosi sulfas tbl o przedł uwal 0,105g Fe²+ x30tabl.
Heparinum natricum 300jm/g krem 20g
Kalii chloridum 0,391gK+ x30tabl.o przedł uwal.
Mivacurii chloridum 2mg/ml r-r do wstrz.10mlx5amp.
Cisatracurium r-r do wstrz i infuzji 2mg/ml 5mlx5amp.
Diazepamum 5mgx20tabl.
Theophyllinum 0,1gx30tabl.
Theophyllinum 0,3gx50tabl.
Remifentanilum liofilizat do inj dożylnej 1mgx5fiol.
Remifentanilum liofilizat do inj dożylnej 5mgx5fiol.
Salbutamolum aer wziewny, zawiesina 100mcg/dawkę x200 dawek
Ondasetronum 8mg liofiliz. do stos. doustnego x10tabl.
WARTOŚĆ BRUTTO:
fl.
op.
op.
op.
op.
op.
op.
op.
szt.
fiol.
szt.
szt.
amp/strz
amp/strz
amp/strz
op.
op.
op.
op.
op.
op.
op.
op.
op.
op.
op.
op.
Stawka
VAT %
30
100
10
50
150
20
120
15
800
900
9000
900
100
200
120
60
60
900
12
30
40
80
110
5
5
15
20
brutto
PAKIET NR 45:Antybiotyki
Ilość na
Lp.
1
2
Asortment
Cefuroxym 0,75g do podawania od 1-go miesiąca życia
Cefuroxym 1,5g do podawania od 1-go miesiąca życia
WARTOŚĆ BRUTTO:
Jedn.miary
szt.
szt.
Stawka
Producent, nazwa proponowanego preparatu, dawka
rok
2000
2000
VAT %
Ilość na
Stawka
Cena
brutto za
jedn.
miary
Wartość
Cena
brutto za
jedn.
miary
Wartość
brutto
PAKIET 46:leki o dziąlaniu ogólnym
Lp.
Asortment
Jedn.miary
Producent, nazwa proponowanego preparatu, dawka
rok
1
2
3
4
5
6
7
8
9
10
11
12
13
14
15
16
17
18
19
20
21
22
23
24
25
26
27
28
29
30
31
Ac acetylsalicylicum 30mgx60 tabl.
Ac ursodeoxycholicum 150 mg x 50kaps.
Ac. Ascorbicum+ rutosidum 0,1g+0,025g tabl.powl.
Ac. Folicum 15mgx30tabl
Ac.Lactici 250ml
Acebutolol 0,2gx30tabl.powl.
Acidi borici PLV.
Acidum acetylsalicylicum 150mgx50tabl.dojel.
Aethylum chloratum aer.70g
Allantoinum maść 2%30g
Allantoinum/dexpanthenolum (0,02+0,05g)/g 30g
Allantoinum+Ac boric+ Zinci oxidum puder leczniczy 50g
Allopurinolum 0,1gx50tabl.
Alteplasum 0,02g 1fiol.subst.suchej+1amp. rozp.
Ambroxoli h/chl syrop 0,015g/5ml 120ml
Ambroxoli h/chl. 15mg/2mlx10amp.
Amikacyna 0,3% gtt.opht. 5ml
Amiloridum, hydrochlorotiazid 5mg+0,05g x 50tabl.
Amiodaroni h/chl 0,2gx60tabl.powl.
Amitriptylina 10mgx60tabl.powl
Amitriptylina 25mgx60 tabl.powl.
Amlodypina 10mgx30tabl.
Amlodypina 5mgx30tabl.
Ammonium sulfobituminicum subst. pro receptura a 250g
Antazolini mesilas 0,1g/2mlx10amp.
Argenti nitras 0,01g/ml x 50 pipet.kr.do oczu
Argentum nitricum subst pro rec.
Artemisol 100g płyn
Atenolol 25mgx60tabl.
Atorvastatyna 40mgx30szt.
Baclofenum 10mgx50tabl.
op.
op.
tabl.
op.
fl.
op.
kg
op.
op.
op.
op.
op.
op.
op.
op.
op.
op.
op.
op.
op.
op.
op.
op.
op.
op.
op.
gram
op.
op.
op.
op.
VAT %
2
2
6500
60
6
6
2
40
70
10
36
20
25
10
2
50
10
20
45
5
5
20
65
8
50
3
30
20
10
30
40
brutto
32
33
34
35
36
37
38
39
40
41
42
43
44
45
46
47
48
49
50
51
52
53
54
55
56
57
58
59
60
61
62
63
64
65
66
67
68
69
70
71
72
73
74
75
76
77
78
79
80
81
Balsam peruwiański subst.
Barium sulphuricum 200ml
Bebiko 1 350g
Bebiko 1 90ml
Bebiko 2 R 350g
Bebilon 1 350g
Bebilon 1 90ml
Bebilon pepti 1 450g
Bebilon pepti 90ml
Belladonnae extr sicc, Papaverini hydr. (0,015g+0,04g)/1,5g supp x 10szt.
Benserazid+Levodopa 0,0125g+0,05g x100kaps.
Benserazid+Levodopa 0,025g+0,1gx100kaps.
Benzydamini h/chl 1,5mg/ml 30ml aer. do stos w jamie ustnej
Benzyli benzoas płyn 30% 150g
Betamethasoni dip., gentamycini sulph (0,5mg+1mg)/g maść 150g
Biperidini h/chl. 2mg x 50 tabl.
Bisoprololi fumaras 5mgx30 szt.
Bromhexini h/chl 8mgx20tabl.
Bromocriptini mesilas 2,5mgx30tabl.
Butamiratum syrop 1,5mg/ml 100ml
Butamiratum syrop 1,5mg/ml 200ml
Calcium carb. preaecip
Calcium chloratum plv
Calcium panthot. 0,1gx50tabl.
Captoprilum 25mgx40tabl.
Carbamazepina 0,2g x 50tabl.
Carbamazepina 2% 0,02g/ml 250ml zawiesina doustna
Carbamazepinum 300mg x 50tabl.o przedł.uwal.
Carbamazepinum 600mg x 50tabl.o przedł.uwal.
Carbo medicinalis 0,25g x20tabl.
Carbomerolum żel do oczu 2mg/g a 10g
Carvedilol 6,25mgx30tabl./tabl.powl.
Carvedilol 12,5mgx30tabl./tabl.powl.
Carvedilol 25mg x 30tabl./tabl.powl.
Chlorchinaldolum0,1g+Metronidazolum 0,25g x10tabl dopoch.
Cholesterol subst do rec.
Cinnarizinum 25mgx50tabl.
Ciprofloxacinum 0,5gx10tabl.powl.
Cisapridum 5mgx30tabl.
Clomethiazolum 300mgx100kaps.
Clonazepamum 0,5mgx30tabl.
Clonazepamum 1mg/mlx10amp.
Clonidinum h/chl 75mgx50tabl.
Cocarboxylasi h/chl 50mg/2ml x 5amp.
Codeinum, Guaiacolsulfonatum 0,015g+0,3g x 10tabl.
Crotamiton 10%maść 140g
Cyclonamina 0,25g x 30tabl.
Cyclonamina 12,5% 125mg/ml a 2ml x 50amp
Cyclonamina 12,5% 125mg/ml a 2ml x 5amp
Dernilan maść 35g
gram
op.
op.
szt.
op.
op.
szt.
op.
szt.
op.
op.
op.
op.
op.
op.
op.
op.
op.
op.
op.
op.
gram
g
op.
op.
op.
op.
op.
op.
op.
op.
op.
op.
op.
op.
gram
op.
op.
op.
op.
op.
op.
op.
op.
op.
op.
op.
op.
op.
op.
2000
50
5
144
5
5
150
60
96
26
15
35
40
15
10
30
500
160
3
5
20
500
400
20
40
160
2
45
20
10
5
60
10
10
45
500
5
120
5
20
5
10
20
8
240
60
10
45
15
10
82
83
84
85
86
87
88
89
90
91
92
93
94
95
96
97
98
99
100
101
102
103
104
105
106
107
108
109
110
111
112
113
114
115
116
117
118
119
120
121
122
123
124
125
126
127
128
129
130
131
Detreomycyna PLV
Detreomycynum 1% 5g ung.
Dexamethasonum 1mgx20tabl.
Diclofenak 50mgx20tabl.dojel.
Dihydroxyaluminii natrii carbonas 0,34g/5ml zawiesina 250ml
Diltiazemum 60mg tabl.
Dimenhydrinatum 0,05g x 5tabl.
Dimeticonum 50mgx100kps
Dimeticonum gtt. 0,98g/g 5g
Doneprezil h/chl 5mg x 28tabl.
Doxazosyna 1mg x 30tabl.
Doxazosyna 2mg x 30tabl.
Doxazosyna 4mg x 30tabl.
Doxepinum10mgx30szt.
Dydrogesteronum 10mgx20szt.
Enalaprili maleas 10mg x 30tabl.
Enalaprili maleas 20mg x 30tabl.
Enalaprili maleas 5mg x 30tabl.
Enfamil AR 400g
Escinum 20mgx30 tabl. powl.
Estazolam 2mgx20tabl.
Etacridini lactas 0,1gx5tabl do przygotow r-ru
Etomidatum 2mg/1ml 10mlx5amp.
Fenoteroil hydrob.+ Ipratropii br.(0.05mg+0,021mg)/daw. aer.wziew. 200dawek.
Fenoteroli hydrob.+Ipratropii br.(0,25mg+0,5mg/ml płyn do inh 20ml
Fenoteroli hydrobromidum 5mgx100tabl.
Fluconazol r-r do infuzji 2mg/ml 100ml
Fluconazol 50mgx14tabl.
Formalina 40%
Furagin 50mgx30tabl
Furazolidon 0,33g/100g zaw. 160g
Furosemid 0,02/2mlx50amp.
Furosemid 0,02/2mlx5amp.
Furosemid 40mgx30tabl.
Galantamini hydrobromidum 5mg/mlx10amp a 1ml
Gastrolit 415g x15sasz.
Gentamycinum gąbka żelatynowa p/krwotoczna 130mg 10x10x0,5cm
Gentamycinum gtt.opht. 0,3% 5ml
Gentamycinum I.V/I.M 80mg/2ml x 10amp.
Glucosum PLV
Glyceroli suppositoria 1gx10szt.
Glyceroli trinitras r-r do infuzji 1mg/ml 10ml x 10amp.
Glyceroli trinitras r-r do infuzji 1mg/ml 10ml x 10amp.
Hemorectal x 10 supp
Hydrocortisoni butyras 1mg/g 0,1% maść 15g
Hydrocortisonum krem 1% 15g
Hydrogenium peroxydatum 30% perhydrol
Hydrohlorotiazidum 25mgx30tabl.
Hydroxyzyna 10mg tabl/tabl powl.
Hydroxyzyna 25mg tabl/tabl.powl.
gram
op.
op.
op.
op.
tabl.
op.
op.
op.
op.
op.
op.
op.
op.
op.
op.
op.
op.
op.
op.
op.
op.
op.
op.
op.
op.
fiol.
op.
litr
op.
op.
op.
op.
op.
op.
op.
szt.
op.
op.
kg
op.
op.
op.
op.
op.
op.
kg
op.
szt.
szt.
70
70
5
200
80
400
10
140
5
20
10
10
20
60
10
120
90
80
5
200
20
320
7
10
500
6
20
80
35
260
10
290
5
170
5
3
3
30
85
47
70
20
20
15
10
40
18
8
9000
9000
132
133
134
135
136
137
138
139
140
141
142
143
144
145
146
147
148
149
150
151
152
153
154
155
156
157
158
159
160
161
162
163
164
165
166
167
168
169
170
171
172
173
174
175
176
177
178
Hyoscini butylobromidum 20mg/mlx10amp.a 1ml
Hyoscini butylobromidum x 6czopk doodbyt.
Ibuprofenum 100mg/5ml 100g zaw. doust.
Isosorbidi dinitras 10mg x 60tabl.
Jodyna płyn 800g
Kalii canrenoas 0,0210ml x 10amp
Kalium hypermang. 0,1gx30tabl.
Kalium iodatum plv
Krople żołądkowe 35g
Lamotriginum 100mgx60tabl
Lanolina bezwodna
Lansoprazol 30mg x 14kaps dojel.
Levopromazini hydromaleas 0,025g x 50 tabl. powl.
Levothyroxinum natricum 0,025mg
Levothyroxinum natricum 0,05mg
Levothyroxinum natricum 0,1mg
Lidocainum h/chl. aer. 10% 38g
Lidocainum+Prilocainum (2,5g+2,5g)/100g 5% krem 5gx1szt.
Lincomycini h/chl 300mg/ml 2ml
Lorazepamum 1mgx25szt.
Losartanum kalicum 50mg x 30tabl.
Luminalum 0,015gx10supp.
Luminalum 0,1gx10tabl.
Magnesii hydroaspartas, Kalii hydroaspartas /0,017g, 0,054g/ x50tabl.
Maść propolisowa 7% 30g
Mebendazol 0,1x6tabl
Mebeverini h/chl 135mgx30tabl.powl./tabl
Meglumini amidotrizoas, Natrii amidotrizoas konc do wl doust i doodb.(0,66g+0,1g)/ml
100mlx10but.
Methyldopum 250mgx50tabl.
Methyloprednisolonum 16mgx30tabl
Methylprednisolon 500mg/8ml liofil.+rozp do wstrz.
Methylprednisolonum 40mg/ml fiol a 1ml
Metoclopramidi h/chl 10mg/2mlx5amp.
Metoclopramidi h/chl 10mgx50tabl.
Metoprolol 50mgx30tabl.
Metronidazol 0,25gx20tabl.
Metronidazol 500mgx10tabl. dopoch.
Mianseryna 10mg tabl/tabl.powl.
Mianseryna 30mg tabl/tabl.powl.
Misoprostolum 0,2mg x 30tabl.
Mometasoni furoas 0,1% krem 15g
Mometasoni furoas 0,1% maść 15g
Mupirocinum maść 15g
Nan Pro 1 350g
Nan Pro 2 350g
Nan Pro H.A 1 400g
Nan Pro HA 90ml
op.
op.
op.
op.
op.
op.
op.
g
op.
op.
kg
op.
op.
tabl.
tabl.
tabl.
op.
op.
fiolka
op.
op.
op.
op.
op.
op.
op.
op.
op.
op.
op.
fiolka
op.
op.
op.
op.
op.
op.
szt.
szt.
op.
op.
op.
op.
op.
op.
op.
fl.
45
10
40
3
3
20
5
300
5
10
1
400
5
1300
2000
400
20
10
200
5
10
5
5
35
20
30
3
1
10
5
100
25
800
20
90
45
10
1500
500
5
5
5
2
4
4
4
120
179
180
181
182
183
184
185
186
187
188
189
190
191
192
193
194
195
196
197
198
199
200
201
202
203
204
205
207
208
209
210
211
212
213
214
215
216
217
218
219
220
221
222
223
224
225
226
227
228
Natamycin, hydrocortison, Neomycyna (0,01g+0,01g+3,5tju)/g maść 15g
Natamycinum 0,1g x 3 glob.vag
Natrii chlorati plv
Natrii dihydrophosphas, natrii hydrophos(0,0322g+0,139g)/ml 150ml
Natrii tetraboras płyn 10g
Natrium bicarbonicum PLV
Natrium citrium PLV
Neomycini sulph. 0,25g x16tabl.
Neostygminum 0,5mg/ml x 10amp.
Nicotinmethylamidum 0,5gx30tabl.
Nifurarelum 200mgx20tabl. powl.
Nifuroxazydum 100mg x 24tabl.powl.
Nitrazepam 5mgx20tabl
Nitrendypina 10mgx30tabl.
Nitrendypina 20mgx30tabl.
Nutramigen 1 425g
Nutramigen 2 425g
Nystatyna 100tjm x 10tabl.vag.
Nystatyna 500 tjm.x16draż
Nystatyna pro susp. 5g/24ml
Oleum ricini
Omeprazol 20mg
Opipramoli dihydrochloridum 50mgx20tabl.powl.
Ornithini aspartas 150mgx40tabl.
Osłonki do usg pudrowane
Oxymetazolini h/chl 0,1mg/ml 0,01% 5ml krop do nosa
Oxytetracyclinum +Polymyxinum B+Hydrocortisonum (5mg+10tjm+0,015g)/ml 5ml
Pantoprazol 40mg tabl.dojel./tabl powl
Paracetamol 125mgx10supp.
Paracetamol 500mg tabl.
Paracetamol 500mg x10supp.
Parafinum liqidum
Parafinum solidum
Paski do glukometru glucocard II X 50 szt.
Paski Optium Xido x 50szt
Pasta cynkowa 20g
Pentaerithritili tetranitr., Gliceroli trin. 0,02g+0,5mg x 20tabl
Pentoxyfilinum 0,1g tabl.
Pentoxyfilinum 0,1g/5mlx5amp.
Perazinum 25mg x20tabl.
Perazinum100mg x20tabl.
Piracetamum 0,4gx60tabl.powl./kaps.
Piracetamum 0,8gx60tabl.powl.
Piracetamum 1,2gx60tabl.powl.
Polycresulenum 36% r-r zewnętrzny 50g
Prednisonum 10mgx20tabl.
Progesteronum 50mgx30tabl.vag
Promazini h/chl 0,025gx60tabl drażow
Promazini h/chl 0,05gx60tabl drażow.
op.
op.
kg
op.
op.
gram
gram
op.
op.
op.
op.
op.
op.
op.
op.
op.
op.
op.
op.
op.
kg
kaps.
op.
op.
szt.
op.
op.
tabl.
op.
tabl.
op.
kg
kg
op.
op.
op.
op.
tabl.
op.
op.
op.
op.
op.
op.
op.
op.
op.
op.
op.
30
130
1
10
250
1000
1000
5
100
120
5
250
30
15
5
5
5
5
80
55
0,5
36000
10
50
1000
25
4
840
75
8000
25
8
45
4
4
5
4
1000
200
12
520
5
5
110
5
60
20
100
140
229
230
231
232
233
234
235
236
237
238
239
240
241
242
243
244
245
246
247
248
249
250
251
252
253
254
255
256
257
258
259
260
261
262
263
264
265
266
267
268
269
270
271
272
Promazini h/chl 0,1gx60tabl drażow.
Promethazini h/chl. 25mgx20szt.
Propafenoni h/chl 0,15gx20tabl.powl.
Propafenoni h/chl 3,5mg/ml 20mlx5amp.
Protamini sulfas 1% amp. 5ml
Pyoctaninum coerul plv
Pyrantelum 0,25g x 3 tabl.
Ranitidinum 150mg x 60tabl.powl.
Rifampicyna 0,3gx100kaps.
Risperidon 2mg x 20tabl.powl.
Sertralina 50mg tabl.powl
Simvastytyna 20mg tabl.powl.
Smoczek jednorazowy z nakretką na butelkę z mlekiem
Sol. Pyoctanini aquosa 2% 20g
Sol.Pyoctanini spir.1% 20ml
Spironolacton 100mgx20tabl.
Spironolacton 25mgx100tabl.powl.
Sukralfat 1g/5ml zaw doust 250ml
Sulfasalazinum 0,5gx100tabl.dojel.
Sulpiryd 50mgx24kaps.
Talk
Temazepam 10mgx20tabl.
Test do wykrywania amfetaminy w moczu x 1 szt.
Test do wykrywania kanabinoidów w moczu x1szt.
Test do wykrywania kokainy w moczu X 1szt.
Test do wykrywania morfiny w moczu X 1szt.
Theophyllinum r-r do wstrzyknięć i infuzji 20mg/ml 10ml x 5amp.
Thiamazolum 5mgx50tabl.
Thiethylperazinum 6,5mg/ml x 5amp.
Thiethylperazinum 6,5mgx50 tabl.powl.
Thiethylperazinum supp 6,5mgx6szt.
Tolperisoni h/chl 150mgx30tabl.powl.
Tolperisoni h/chl, lidocaini h/chl 0,1g+2,5mg/ml x 5amp.a 1ml
Tormentiol maść 20g
Trimebutini maleas 0,1g tbl.
Trimebutini maleas 250ml gran.do przygotow.zaw.
Trimetoprim/Sulfametoxazol (0,08g+0,016g)/ml x10amp.a 5ml
Trimetoprim/Sulfametoxazol 0,4g+0,08g x 20tabl.
Trombinum bovine 200j.m/ml x 1fiol.+1amp rozp.
Tuberculin ppd. RT23 0,4μg/ml 1,5ml x 10fiol.
Ung ammoni sulfobituminci 10% 20g
Ung. Cholesteroli 500g
Valsartan 160mg + Amlodypina 10mg + Hydrochlorotiazyd 25mg x 28szt.
Valsartan 160mg+ Amlodypina 10mg x 28szt.
op.
op.
op.
op.
op.
gram
op.
op.
op.
op.
tabl.
tabl.
szt.
op.
op.
op.
op.
op.
op.
op.
kg
op.
szt.
szt.
szt.
szt.
op.
op.
op.
op.
op.
op.
op.
op.
tabl.
op.
op.
op.
op.
op.
op.
op.
op.
op.
10
40
20
15
2
30
20
180
1
15
6000
7300
200
20
12
30
100
3
1
10
4
250
10
20
10
10
400
45
20
15
40
10
55
10
300
20
140
120
5
1
30
8
10
10
273
274
275
276
277
278
279
280
281
282
283
284
285
286
287
288
289
290
291
292
Valsartan 160mgx28 szt.
Vaselinum album
Vaselinum flavum
Venescin x30 szt.
Verapamil 0,04gx20tabl.powl
Verapamil 0,08gx20tabl.powl
Verapamil 0,12gx20tabl.powl
Vinpocetinum 5mgx50tabl.
Vinpocetinum inj. 10mg/2mlx10amp.
Vit B 1 25mgx50tabl.
VIT B 6 50MG/2MLX5AMP.
Vit B 6 50MGx50szt.
Vit B1, B6, B12, lignocainum h/chl r-r do wstrz. i.m. x 5amp
Vit C 100mgx50tabl.powl./draż.
Vit D3 10ml gtt.
Vit PP 0,2gx20tabl
Vit. A 10ml 50000jm/ml
Xylometazolini h/chl. 0,1%10ml krople do nosa
Zestaw do kolografii z barytem
Zinci oxidum 100g
WARTOŚĆ BRUTTO:
op.
kg
kg
op.
op.
op.
op.
op.
op.
op.
op.
op.
op
op.
op.
op.
op.
op.
op.
op.
30
40
2
10
25
5
20
70
10
10
40
5
5
190
2
15
100
20
25
5
PAKIET NR 47:Szczepionka p/grypie
Ilość na
Lp.
Asortment
Jedn.miary
Stawka
Producent, nazwa proponowanego preparatu, dawka
rok
Szczepionka przeciw ludzkiemu wirusowi grypy dla dorosłych na sezon
2014/2015
WARTOŚĆ BRUTTO:
1
szt.
VAT %
Cena
brutto za
jedn.
miary
Wartość
Cena
brutto za
jedn.
miary
Wartość
brutto
250
PAKIET NR 48:Leki ogólnodziałające
Ilość na
Lp.
1
2
Asortment
Thiopentalum natricum 0,5g
Fenoterol 50mcg/ml 10mlx15amp.
WARTOŚĆ BRUTTO
Jedn.miary
fiol.
op.
Stawka
Producent, nazwa proponowanego preparatu, dawka
rok
280
6
VAT %
brutto