Szkoła Zalesie Grupowe ubezpieczenie NNW dzieci 2014

Transkrypt

Szkoła Zalesie Grupowe ubezpieczenie NNW dzieci 2014
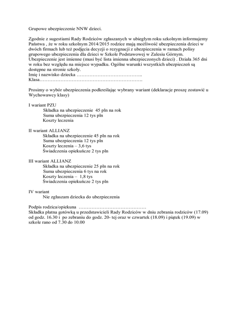
Grupowe ubezpieczenie NNW dzieci.
Zgodnie z sugestiami Rady Rodziców zgłaszanych w ubiegłym roku szkolnym informujemy
Państwa , że w roku szkolnym 2014/2015 rodzice mają możliwość ubezpieczenia dzieci w
dwóch firmach lub też podjęcia decyzji o rezygnacji z ubezpieczenia w ramach polisy
grupowego ubezpieczenia dla dzieci w Szkole Podstawowej w Zalesiu Górnym.
Ubezpieczenie jest imienne (musi być lista imienna ubezpieczonych dzieci) . Działa 365 dni
w roku bez względu na miejsce wypadku. Ogólne warunki wszystkich ubezpieczeń są
dostępne na stronie szkoły.
Imię i nazwisko dziecka …………………………………..
Klasa……………………………………………………….
Prosimy o wybór ubezpieczenia podkreślając wybrany wariant (deklaracje proszę zostawić u
Wychowawcy klasy)
I wariant PZU
Składka na ubezpieczenie 45 pln na rok
Suma ubezpieczenia 12 tys pln
Koszty leczenia
II wariant ALLIANZ
Składka na ubezpieczenie 45 pln na rok
Suma ubezpieczenia 12 tys pln
Koszty leczenia – 3,6 tys
Świadczenia opiekuńcze 2 tys pln
III wariant ALLIANZ
Składka na ubezpieczenie 25 pln na rok
Suma ubezpieczenia 6 tys na rok
Koszty leczenia – 1,8 tys
Świadczenia opiekuńcze 2 tys pln
IV wariant
Nie zgłaszam dziecka do ubezpieczenia
Podpis rodzica/opiekuna ……………………………………
Składka płatna gotówką u przedstawicieli Rady Rodziców w dniu zebrania rodziców (17.09)
od godz. 16.30 i po zebraniu do godz. 20- tej oraz w czwartek (18.09) i piątek (19.09) w
szkole rano od 7.30 do 10.00