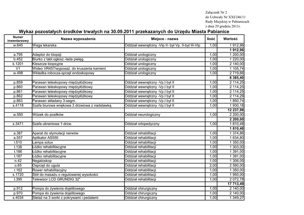
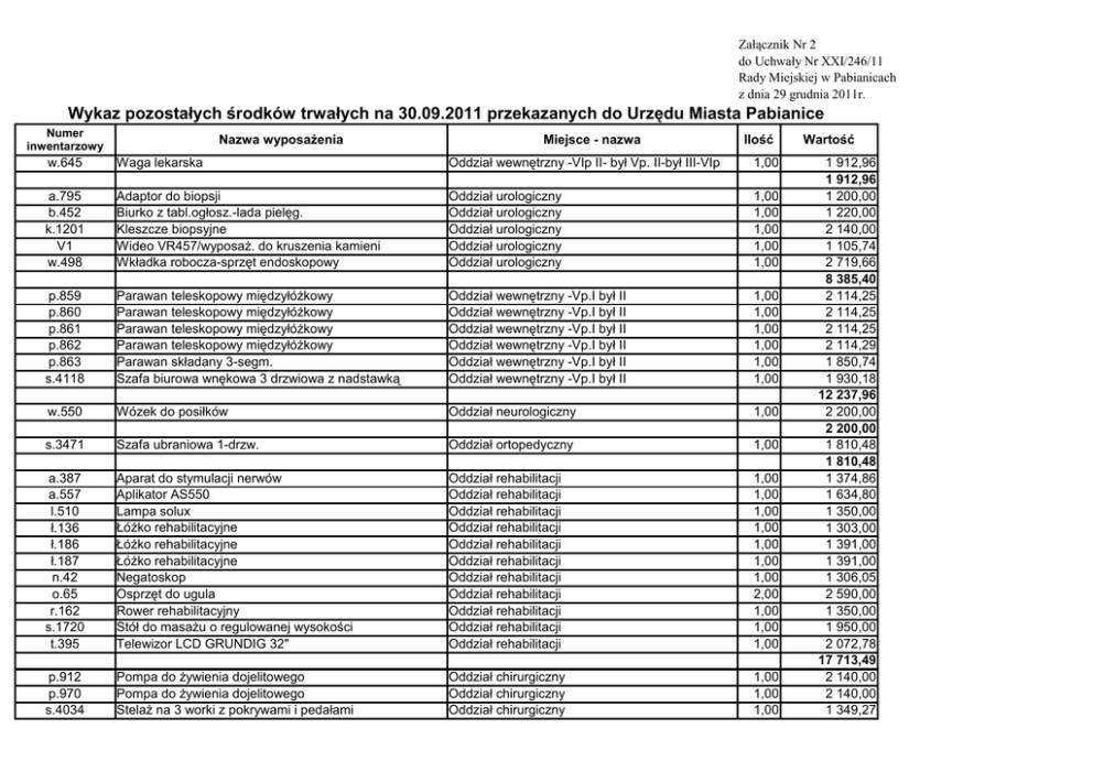
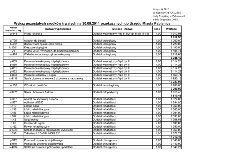
Załącznik Nr 2

Transkrypt

Załącznik Nr 2
Załącznik Nr 2
do Uchwały Nr XXI/246/11
Rady Miejskiej w Pabianicach
z dnia 29 grudnia 2011r.
Wykaz pozostałych środków trwałych na 30.09.2011 przekazanych do Urzędu Miasta Pabianice
Numer
inwentarzowy
Nazwa wyposażenia
Miejsce - nazwa
Ilość
w.645
Waga lekarska
Oddział wewnętrzny -VIp II- był Vp. II-był III-VIp
1,00
a.795
b.452
k.1201
V1
w.498
Adaptor do biopsji
Biurko z tabl.ogłosz.-lada pielęg.
Kleszcze biopsyjne
Wideo VR457/wyposaż. do kruszenia kamieni
Wkładka robocza-sprzęt endoskopowy
Oddział urologiczny
Oddział urologiczny
Oddział urologiczny
Oddział urologiczny
Oddział urologiczny
1,00
1,00
1,00
1,00
1,00
p.859
p.860
p.861
p.862
p.863
s.4118
Parawan teleskopowy międzyłóżkowy
Parawan teleskopowy międzyłóżkowy
Parawan teleskopowy międzyłóżkowy
Parawan teleskopowy międzyłóżkowy
Parawan składany 3-segm.
Szafa biurowa wnękowa 3 drzwiowa z nadstawką
Oddział wewnętrzny -Vp.I był II
Oddział wewnętrzny -Vp.I był II
Oddział wewnętrzny -Vp.I był II
Oddział wewnętrzny -Vp.I był II
Oddział wewnętrzny -Vp.I był II
Oddział wewnętrzny -Vp.I był II
1,00
1,00
1,00
1,00
1,00
1,00
w.550
Wózek do posiłków
Oddział neurologiczny
1,00
s.3471
Szafa ubraniowa 1-drzw.
Oddział ortopedyczny
1,00
a.387
a.557
l.510
ł.136
ł.186
ł.187
n.42
o.65
r.162
s.1720
t.395
Aparat do stymulacji nerwów
Aplikator AS550
Lampa solux
Łóżko rehabilitacyjne
Łóżko rehabilitacyjne
Łóżko rehabilitacyjne
Negatoskop
Osprzęt do ugula
Rower rehabilitacyjny
Stół do masażu o regulowanej wysokości
Telewizor LCD GRUNDIG 32"
Oddział rehabilitacji
Oddział rehabilitacji
Oddział rehabilitacji
Oddział rehabilitacji
Oddział rehabilitacji
Oddział rehabilitacji
Oddział rehabilitacji
Oddział rehabilitacji
Oddział rehabilitacji
Oddział rehabilitacji
Oddział rehabilitacji
1,00
1,00
1,00
1,00
1,00
1,00
1,00
2,00
1,00
1,00
1,00
p.912
p.970
s.4034
Pompa do żywienia dojelitowego
Pompa do żywienia dojelitowego
Stelaż na 3 worki z pokrywami i pedałami
Oddział chirurgiczny
Oddział chirurgiczny
Oddział chirurgiczny
1,00
1,00
1,00
Wartość
1 912,96
1 912,96
1 200,00
1 220,00
2 140,00
1 105,74
2 719,66
8 385,40
2 114,25
2 114,25
2 114,25
2 114,29
1 850,74
1 930,18
12 237,96
2 200,00
2 200,00
1 810,48
1 810,48
1 374,86
1 634,80
1 350,00
1 303,00
1 391,00
1 391,00
1 306,05
2 590,00
1 350,00
1 950,00
2 072,78
17 713,49
2 140,00
2 140,00
1 349,27