3.Uporządkuj rosnąco liczby. a= b

Transkrypt

3.Uporządkuj rosnąco liczby. a= b
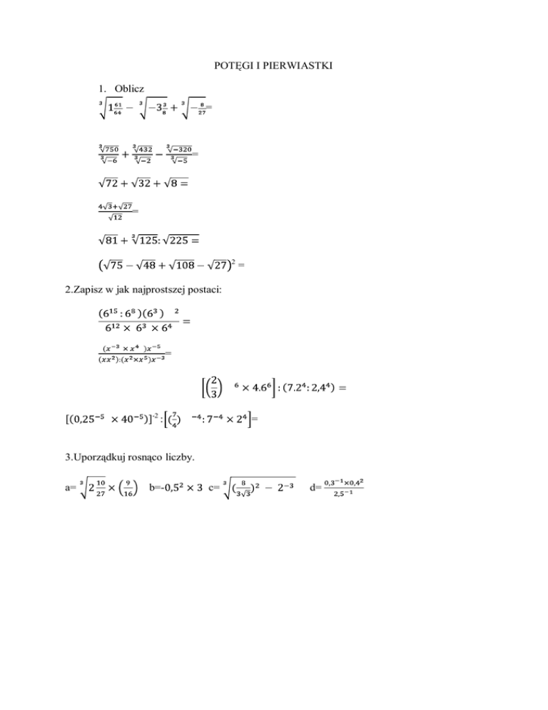
POTĘGI I PIERWIASTKI
1. Oblicz
=
=
=
2
=
2.Zapisz w jak najprostszej postaci:
=
-2
:
=
3.Uporządkuj rosnąco liczby.
a=
b=-
c=
d=
PROCENTY
1. Oblicz
16% z 3200 zł,
7,5% z 300 g
34% z 1 tony
2. Znajdź liczbę której
20 % jest równe 16,
% jest równe 120
8,5% jest równe 0,85
3. Oblicz jakim procentem
liczby 240 jest liczba 60
liczby 9 jest liczba 0,03
liczby 150 jest liczba 18,75
4. Cena wycieczki to 1400 zł. Ta sama wycieczka w czasie wakacji kosztowała 1806zł. O ile procent
wzrosła cena wycieczki?
5. Pan Jan wpłacił bo banku 3400 zł . Po roku bank wypłacił 187 z. odsetek. Jakie było
oprocentowanie w tym banku?
6. Po dwukrotnej obniżce stół kosztował 648 zł. Za pierwszym razem cenę stołu obniżono o 10 %,
a za drugim razem o 20 %. Oblicz ile kosztował stół przed obniżkami?
7. Suma kątów
a miara kąta
jest równa 225
Miara kąta
jest równa 150 % miary kąta
jest o 20 % mniejsza od miary kąta
. Wyznacz miary katów.
,