3-1 Człowiek jako czynnik zmian środowiska 1. Społeczności okresu

Transkrypt

3-1 Człowiek jako czynnik zmian środowiska 1. Społeczności okresu
Antropogeniczne przeobrażenia środowiska – W3
Bartosz Korabiewski
_________________________________________________________________________________________________
Człowiek jako czynnik zmian środowiska
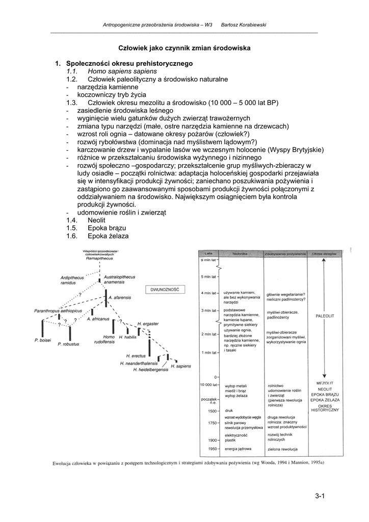
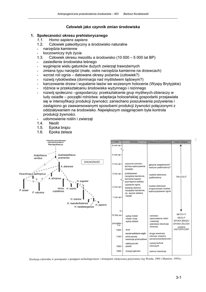
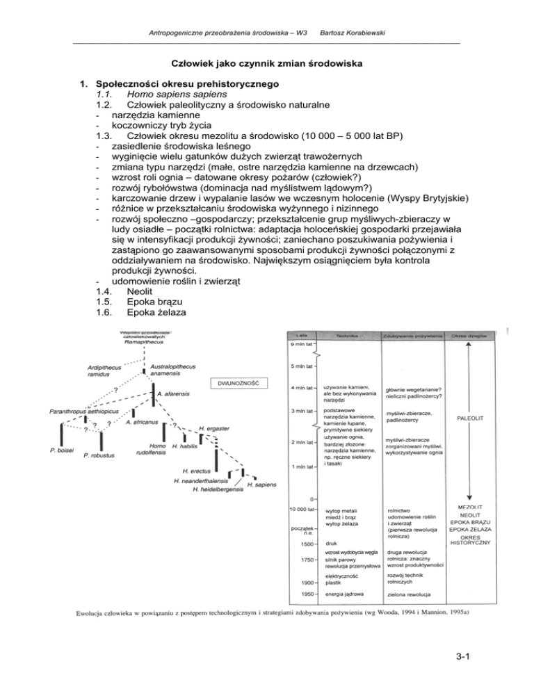
1. Społeczności okresu prehistorycznego
1.1. Homo sapiens sapiens
1.2. Człowiek paleolityczny a środowisko naturalne
- narzędzia kamienne
- koczowniczy tryb życia
1.3. Człowiek okresu mezolitu a środowisko (10 000 – 5 000 lat BP)
- zasiedlenie środowiska leśnego
- wyginięcie wielu gatunków dużych zwierząt trawożernych
- zmiana typu narzędzi (małe, ostre narzędzia kamienne na drzewcach)
- wzrost roli ognia – datowane okresy pożarów (człowiek?)
- rozwój rybołówstwa (dominacja nad myślistwem lądowym?)
- karczowanie drzew i wypalanie lasów we wczesnym holocenie (Wyspy Brytyjskie)
- różnice w przekształcaniu środowiska wyżynnego i nizinnego
- rozwój społeczno –gospodarczy; przekształcenie grup myśliwych-zbieraczy w
ludy osiadłe – początki rolnictwa: adaptacja holoceńskiej gospodarki przejawiała
się w intensyfikacji produkcji żywności; zaniechano poszukiwania pożywienia i
zastąpiono go zaawansowanymi sposobami produkcji żywności połączonymi z
oddziaływaniem na środowisko. Największym osiągnięciem była kontrola
produkcji żywności.
- udomowienie roślin i zwierząt
1.4. Neolit
1.5. Epoka brązu
1.6. Epoka żelaza
3-1
Antropogeniczne przeobrażenia środowiska – W3
Bartosz Korabiewski
_________________________________________________________________________________________________
2. Zmiany środowiska w okresie historycznym
2.1.
Starożytność – okres grecki i rzymski
2.2.
Średniowiecze (400 – 1400 r. n.e.)
2.3.
Okres 1400 – 1700 r.
3. Okres przemysłowy po 1700 r.
3-2
Antropogeniczne przeobrażenia środowiska – W3
Bartosz Korabiewski
_________________________________________________________________________________________________
3-3
Antropogeniczne przeobrażenia środowiska – W3
Bartosz Korabiewski
_________________________________________________________________________________________________
Rozprzestrzenienie się rolnictwa w Europie w neolicie wg datowania
radiowęglem
3-4