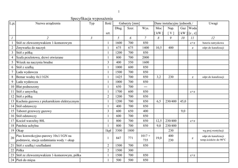
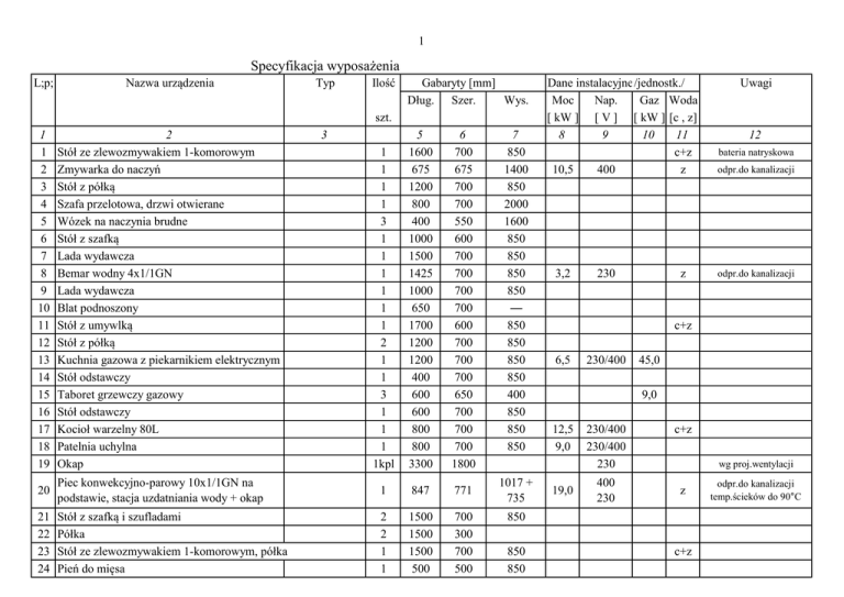
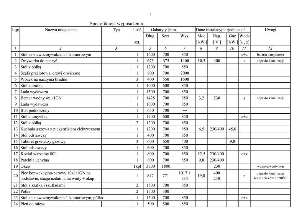
Specyfikacja wyposażenia

Transkrypt

Specyfikacja wyposażenia
1
Specyfikacja wyposażenia
L;p;
Nazwa urządzenia
Typ
Ilość
Gabaryty [mm]
Dług. Szer.
Wys.
szt.
1
1
2
3
4
5
6
7
8
9
10
11
12
13
14
15
16
17
18
19
2
Stół ze zlewozmywakiem 1-komorowym
Zmywarka do naczyń
Stół z półką
Szafa przelotowa, drzwi otwierane
Wózek na naczynia brudne
Stół z szafką
Lada wydawcza
Bemar wodny 4x1/1GN
Lada wydawcza
Blat podnoszony
Stół z umywlką
Stół z półką
Kuchnia gazowa z piekarnikiem elektrycznym
Stół odstawczy
Taboret grzewczy gazowy
Stół odstawczy
Kocioł warzelny 80L
Patelnia uchylna
Okap
20
21
22
23
24
3
1
1
1
1
3
1
1
1
1
1
1
2
1
1
3
1
1
1
1kpl
5
1600
675
1200
800
400
1000
1500
1425
1000
650
1700
1200
1200
400
600
600
800
800
3300
6
700
675
700
700
550
600
700
700
700
700
600
700
700
700
650
700
700
700
1800
Piec konwekcyjno-parowy 10x1/1GN na
podstawie, stacja uzdatniania wody + okap
1
847
771
Stół z szafką i szufladami
Półka
Stół ze zlewozmywakiem 1-komorowym, półka
Pień do mięsa
2
2
1
1
1500
1500
1500
500
700
300
700
500
7
850
1400
850
2000
1600
850
850
850
850
—
850
850
850
850
400
850
850
850
1017 +
735
Dane instalacyjne /jednostk./
Moc
Nap.
Gaz Woda
[ kW ] [ V ] [ kW ] [c , z]
8
9
10
11
c+z
10,5
400
z
3,2
230
z
12
bateria natryskowa
odpr.do kanalizacji
odpr.do kanalizacji
c+z
6,5
230/400
45,0
9,0
12,5
9,0
19,0
230/400
230/400
230
400
230
c+z
wg proj.wentylacji
z
850
850
850
Uwagi
c+z
odpr.do kanalizacji
temp.ścieków do 90°C
2
1
25
26
27
28
29
30
31
32
33
34
35
36
37
38
39
40
41
42
43
44
45
46
47
48
49
50
51
2
3
Stół chłodniczy z szufladami
Stół z półką
Półka
Szafa chłodniczo-mroźnicza
Maszyna uniwersalna na stojaku z przystawkami
Umywalka
Regał na naczynia, półki przestawne /5 półek/,perforowane
Stół z basenem
Stół z półką
Szafa chłodnicza
Szafa mroźnicza
Obieraczka do ziemniaków z odkrochmalnikiem
Stół z półką
Stół ze zlewozmywakiem 1-komorowym , półka
Podest
Regał magazynowy, półki przestawne/5 półek/
Regał magazynowy, półki przestawne/5 półek/
Regał magazynowy, półki przestawne/5 półek/
Naświetlacz do jaj
Chłodziarka /pod blatem/
Stół ze zlewozm. 1-komor.i miejscem na chłodziarkę
Zlewozmywak 1-komorowy na szafce
Szafka wisząca
Stolik
Krzesło
Szafka ubraniowa 2-działowa
Regał na środki czystości
52 Zlew porządkowy
1
1
1
1
1
2
1
1
1
2
1
1
2
1
1
2
2
2
1
1
1
1
1
1
3
5
1
5
1325
1400
1600
640
460
—
1000
800
700
640
640
450
1100
1400
1600
1000
1100
1400
402
540
1600
1000
1000
600
–
400
600
6
700
700
300
720
260
—
700
700
700
720
720
435
700
600
700
600
600
600
572
580
600
600
300
600
–
500
500
7
850
850
8
0,4
9
230
2000
380/580
—
1800
850
850
2000
2000
1100
850
850
150
1800
1800
1800
292
800
850
850
600
750
–
1800
1800
0.6
1,1
230
400
1
—
—
–
10
11
12
c+z
c+z
0,3
0,5
0,6
230
230
400
bateria natryskowa
z
c+z
0,04
0,2
230
230
c+z
c+z
c+z
zainstal.na h=0,5m,
bateria ścienna