Nr Numer inwentarzowy Nazwa składnika majątkowego JM Ilość rok

Transkrypt

Nr Numer inwentarzowy Nazwa składnika majątkowego JM Ilość rok
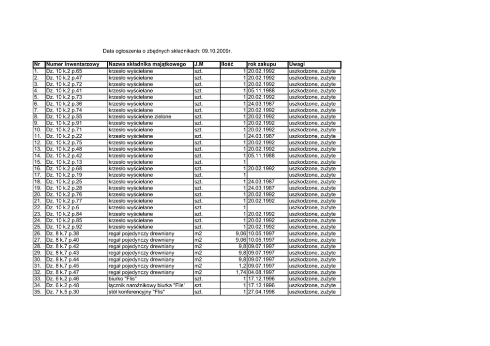
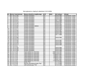
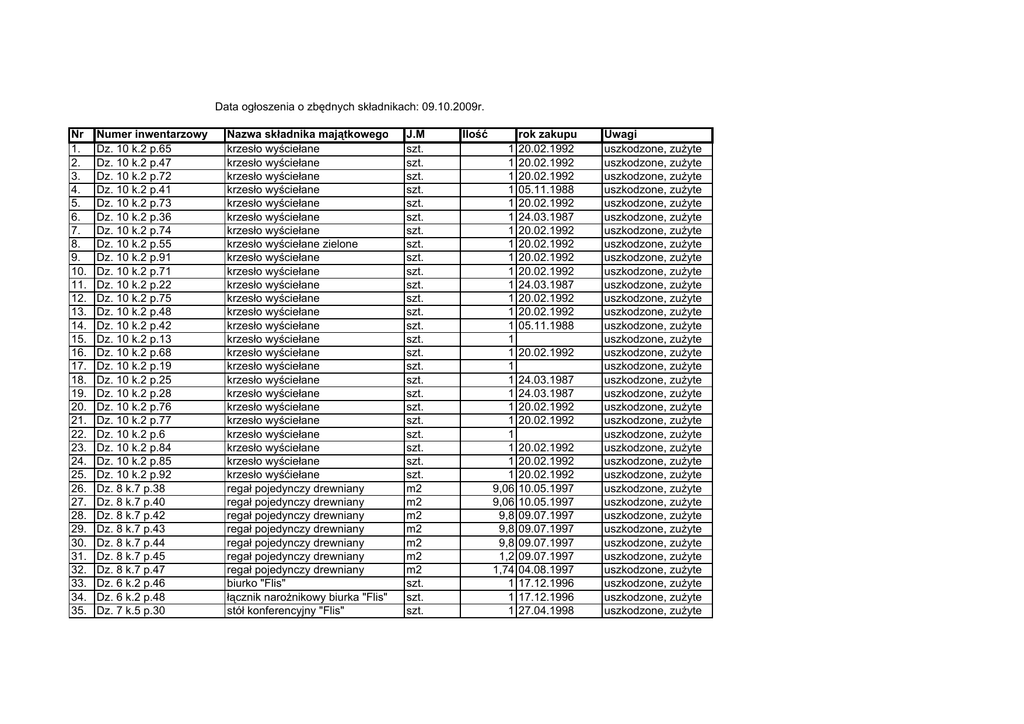
Data ogłoszenia o zbędnych składnikach: 09.10.2009r.
Nr
1.
2.
3.
4.
5.
6.
7.
8.
9.
10.
11.
12.
13.
14.
15.
16.
17.
18.
19.
20.
21.
22.
23.
24.
25.
26.
27.
28.
29.
30.
31.
32.
33.
34.
35.
Numer inwentarzowy
Dz. 10 k.2 p.65
Dz. 10 k.2 p.47
Dz. 10 k.2 p.72
Dz. 10 k.2 p.41
Dz. 10 k.2 p.73
Dz. 10 k.2 p.36
Dz. 10 k.2 p.74
Dz. 10 k.2 p.55
Dz. 10 k.2 p.91
Dz. 10 k.2 p.71
Dz. 10 k.2 p.22
Dz. 10 k.2 p.75
Dz. 10 k.2 p.48
Dz. 10 k.2 p.42
Dz. 10 k.2 p.13
Dz. 10 k.2 p.68
Dz. 10 k.2 p.19
Dz. 10 k.2 p.25
Dz. 10 k.2 p.28
Dz. 10 k.2 p.76
Dz. 10 k.2 p.77
Dz. 10 k.2 p.6
Dz. 10 k.2 p.84
Dz. 10 k.2 p.85
Dz. 10 k.2 p.92
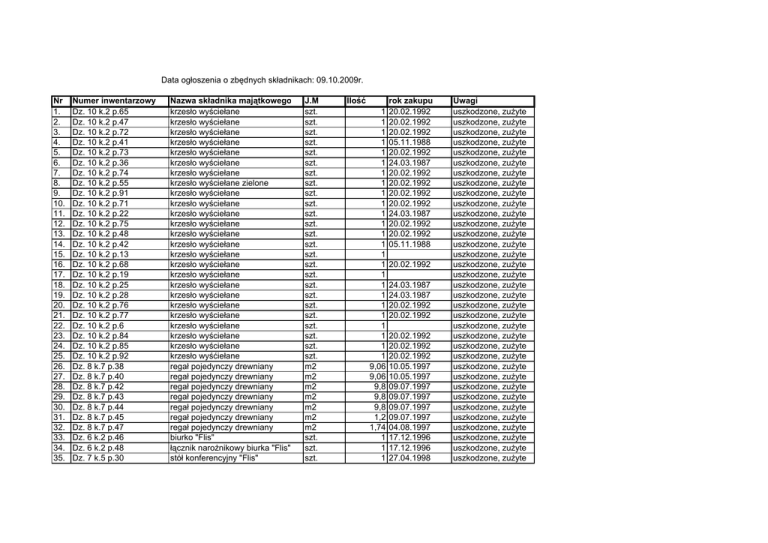
Dz. 8 k.7 p.38
Dz. 8 k.7 p.40
Dz. 8 k.7 p.42
Dz. 8 k.7 p.43
Dz. 8 k.7 p.44
Dz. 8 k.7 p.45
Dz. 8 k.7 p.47
Dz. 6 k.2 p.46
Dz. 6 k.2 p.48
Dz. 7 k.5 p.30
Nazwa składnika majątkowego
krzesło wyściełane
krzesło wyściełane
krzesło wyściełane
krzesło wyściełane
krzesło wyściełane
krzesło wyściełane
krzesło wyściełane
krzesło wyściełane zielone
krzesło wyściełane
krzesło wyściełane
krzesło wyściełane
krzesło wyściełane
krzesło wyściełane
krzesło wyściełane
krzesło wyściełane
krzesło wyściełane
krzesło wyściełane
krzesło wyściełane
krzesło wyściełane
krzesło wyściełane
krzesło wyściełane
krzesło wyściełane
krzesło wyściełane
krzesło wyściełane
krzesło wyśćiełane
regał pojedynczy drewniany
regał pojedynczy drewniany
regał pojedynczy drewniany
regał pojedynczy drewniany
regał pojedynczy drewniany
regał pojedynczy drewniany
regał pojedynczy drewniany
biurko "Flis"
łącznik narożnikowy biurka "Flis"
stół konferencyjny "Flis"
J.M
szt.
szt.
szt.
szt.
szt.
szt.
szt.
szt.
szt.
szt.
szt.
szt.
szt.
szt.
szt.
szt.
szt.
szt.
szt.
szt.
szt.
szt.
szt.
szt.
szt.
m2
m2
m2
m2
m2
m2
m2
szt.
szt.
szt.
Ilość
1
1
1
1
1
1
1
1
1
1
1
1
1
1
1
1
1
1
1
1
1
1
1
1
1
9,06
9,06
9,8
9,8
9,8
1,2
1,74
1
1
1
rok zakupu
20.02.1992
20.02.1992
20.02.1992
05.11.1988
20.02.1992
24.03.1987
20.02.1992
20.02.1992
20.02.1992
20.02.1992
24.03.1987
20.02.1992
20.02.1992
05.11.1988
20.02.1992
24.03.1987
24.03.1987
20.02.1992
20.02.1992
20.02.1992
20.02.1992
20.02.1992
10.05.1997
10.05.1997
09.07.1997
09.07.1997
09.07.1997
09.07.1997
04.08.1997
17.12.1996
17.12.1996
27.04.1998
Uwagi
uszkodzone, zużyte
uszkodzone, zużyte
uszkodzone, zużyte
uszkodzone, zużyte
uszkodzone, zużyte
uszkodzone, zużyte
uszkodzone, zużyte
uszkodzone, zużyte
uszkodzone, zużyte
uszkodzone, zużyte
uszkodzone, zużyte
uszkodzone, zużyte
uszkodzone, zużyte
uszkodzone, zużyte
uszkodzone, zużyte
uszkodzone, zużyte
uszkodzone, zużyte
uszkodzone, zużyte
uszkodzone, zużyte
uszkodzone, zużyte
uszkodzone, zużyte
uszkodzone, zużyte
uszkodzone, zużyte
uszkodzone, zużyte
uszkodzone, zużyte
uszkodzone, zużyte
uszkodzone, zużyte
uszkodzone, zużyte
uszkodzone, zużyte
uszkodzone, zużyte
uszkodzone, zużyte
uszkodzone, zużyte
uszkodzone, zużyte
uszkodzone, zużyte
uszkodzone, zużyte