Wkłady barwiące - załącznik nr 2

Transkrypt

Wkłady barwiące - załącznik nr 2
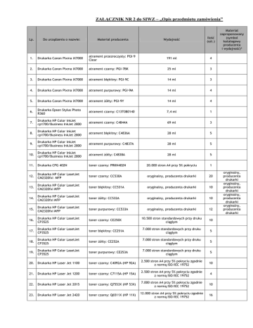
ZAŁĄCZNIK NR 2 do SIWZ – „Opis przedmiotu zamówienia”
Lp.
Do urządzenia o nazwie:
Materiał producenta
Wydajność
Ilość
(szt.)
1.
Drukarka Canon Pixma iX7000
atrament przezroczysty: PGI-9
Clear
191 ml
4
2.
Drukarka Canon Pixma iX7000
atrament czarny: PGI-7BK
25 ml
3
3.
Drukarka Canon Pixma iX7000
atrament błękitny: PGI-9C
14 ml
3
4.
Drukarka Canon Pixma iX7000
atrament purpurowy: PGI-9M
14 ml
4
5.
Drukarka Canon Pixma iX7000
atrament żółty: PGI-9Y
14 ml
4
6.
Drukarka Epson Stylus Photo
R360
atrament czarny: C13T080140
7,4 ml
1
7.
Drukarka HP Color InkJet
cp1700/Business InkJet 2800
atrament czarny: C4844A
69 ml
3
8.
Drukarka HP Color InkJet
cp1700/Business InkJet 2800
atrament błękitny: C4836A
28 ml
5
9.
Drukarka HP Color InkJet
cp1700/Business InkJet 2800
atrament purpurowy: C4837A
28 ml
5
10.
Drukarka HP Color InkJet
cp1700/Business InkJet 2800
atrament żółty: C4838A
28 ml
5
11.
Drukarka CPG 402N
toner czarny: PRKN402N
20.000 stron A4 przy 5% pokryciu
1
12.
Drukarka HP Color LasetJet
CM2320fxi MFP
toner czarny: CC530A
oryginalny, producenta drukarki
20
13.
Drukarka HP Color LasetJet
CM2320fxi MFP
toner błękitny: CC531A
oryginalny, producenta drukarki
10
14.
Drukarka HP Color LasetJet
CM2320fxi MFP
toner żółty: CC532A
oryginalny, producenta drukarki
10
15.
Drukarka HP Color LasetJet
CM2320fxi MFP
toner purpurowy: CC533A
oryginalny, producenta drukarki
12
16.
Drukarka HP Color LasetJet
CP3525
toner czarny: CE250X
10.500 stron standardowych przy druku
ciągłym
10
17.
Drukarka HP Color LasetJet
CP3525
toner błękitny: CE251A
7.000 stron standardowych przy druku
ciągłym
5
18.
Drukarka HP Color LasetJet
CP3525
toner żółty: CE252A
7.000 stron standardowych przy druku
ciągłym
5
19.
Drukarka HP Color LasetJet
CP3525
toner purpurowy: CE253A
7.000 stron standardowych przy druku
ciągłym
5
20.
Drukarka HP Laser Jet 1100
toner czarny: C4092A (HP 92A)
2.500 stron A4 przy 5% pokryciu zgodnie
z normą ISO/IEC 19752
10
21.
Drukarka HP Laser Jet 1200
toner czarny: C7115A (HP 15A)
2.500 stron A4 przy 5% pokryciu zgodnie
z normą ISO/IEC 19752
4
22.
Drukarka HP Laser Jet 2015
toner czarny: Q7553X (HP 53X)
7.000 stron A4 przy 5% pokryciu zgodnie
z normą ISO/IEC 19752
10
23.
Drukarka HP Laser Jet 2420
toner czarny: Q6511X (HP 11X)
12.000 stron A4 przy 5% pokryciu zgodnie
z normą ISO/IEC 19752
16
Materiał
zaproponowany
(symbol
katalogowy
producenta
i wydajność)*
oryginalny,
producenta
drukarki
oryginalny,
producenta
drukarki
oryginalny,
producenta
drukarki
oryginalny,
producenta
drukarki
24.
Drukarka HP Laser Jet 3052
toner czarny: Q2612A (HP 12A)
2.000 stron A4 przy 5% pokryciu zgodnie
z normą ISO/IEC 19752
20
25.
Drukarka HP Laser Jet 4350 dtn
toner czarny: Q5942XD (HP 42X
Dual Pack)
2 x 20.000 stron standardowych przy 5%
pokryciu zgodnie z normą ISO/IEC 19752
1
26.
Drukarka HP Laser Jet 6P
toner czarny: C3903A (HP 03A)
4.000 stron A4 przy 5% pokryciu zgodnie
z normą ISO/IEC 19752
1
27.
Drukarka Lexmark E120
toner czarny: 12016SE
2.000 stron A4 przy 5% pokryciu
1
28.
Drukarka Lexmark E250dn
toner czarny: 0E250A11E
oryginalny, producenta drukarki
7
29.
Drukarka Lexmark E250dn
bęben: E250X22G
30.000 stron A4 przy drukowaniu ciągłym
2
30.
Drukarka Lexmark E260d
toner czarny: E260A11E
3.500 stron A4 przy 5% pokryciu zgodnie
z normą ISO/IEC 19752
6
31.
Drukarka OKI 390FB
taśma barwiąca czarna:
09002310
2 mln znaków
20
32.
Drukarka OKI OKIPAGE 20
series
toner czarny: 41022502
6.000 stron A4 przy 5% pokryciu
5
33.
Drukarka OKI B410d/B430d
toner czarny: 43979102
3.500 stron A4 przy 5% pokryciu
1
34.
Drukarka OKI B430d
toner czarny: 43979207
10.000 stron A4 przy 5% pokryciu
2
35.
Drukarka OKI B410d/B430d
bęben: 43979002
25.000 stron A4 przy drukowaniu ciągłym
2
36.
Drukarka OKI B4350n
toner czarny: 01101202
6.000 stron A4 przy 5% pokryciu
12
37.
Drukarka OKI B4350n
bęben: 42102802
25.000 stron A4 przy drukowaniu ciągłym
6
38.
Drukarka OKI B4545 MFP
toner czarny: 9004169
12.000 stron A4 przy 5% pokryciu
10
39.
Drukarka OKI B4545 MFP
bęben: 09004170
20.000 stron A4 przy drukowaniu ciągłym
3
40.
Drukarka OKI B6300
toner czarny: 09004079
17.000 stron A4 przy 5% pokryciu zgodnie
z normą ISO/IEC 19752
1
41.
Drukarka OKI C3200
toner czarny: 42804540
3.000 stron A4 przy 5% pokryciu
4
42.
Drukarka OKI C3200
bęben czarny: 42126665
14.000 stron A4 przy drukowaniu ciągłym
2
43.
Drukarka OKI C5540 MFP
toner CMYK Rainbow Kit:
42403006
4 x 5.000 stron A4 przy 5% pokryciu
10
44.
Drukarka OKI C5540 MFP
toner czarny: 42127457
5.000 stron A4 przy 5% pokryciu
10
45.
Drukarka OKI C5540 MFP
bęben żółty: 42126670
17.000 stron A4 przy drukowaniu
ciągłym
6
46.
Drukarka OKI C5540 MFP
bęben purpurowy: 42126671
17.000 stron A4 przy drukowaniu
ciągłym
6
47.
Drukarka OKI C5540 MFP
bęben błękitny: 42126672
17.000 stron A4 przy drukowaniu
ciągłym
6
48.
Drukarka OKI C5540 MFP
bęben czarny: 42126673
17.000 stron A4 przy drukowaniu
ciągłym
8
49.
Drukarka OKI C5100N/C5400N
toner CMYK Rainbow Kit:
42403002
4 x 5.000 stron A4 przy 5% pokryciu
1
50.
Drukarka OKI C5100N/C5400N
toner czarny: 42127408
5.000 stron A4 przy 5% pokryciu
1
oryginalny,
producenta
drukarki
51.
Drukarka OKI C5100N/C5400N
bęben żółty: 42126605
17.000 stron A4 przy drukowaniu ciągłym
1
52.
Drukarka OKI C5100N/C5400N
bęben błękitny: 42126607
17.000 stron A4 przy drukowaniu ciągłym
2
53.
Drukarka OKI C5100N/C5400N
bęben czarny: 42126608
17.000 stron A4 przy drukowaniu ciągłym
3
54.
Drukarka OKI
C3200/C5100/C5400N/C5540
MFP
pas transferu: 42158712
50.000 stron A4 przy drukowaniu ciągłym
5
55.
Drukarka OKI
C3200/C5400N/C5540 MFP
zespół utrwalający: 42625503
45.000 stron A4 przy drukowaniu ciągłym
4
56.
Drukarka OKI C5100N
zespół utrwalający: 42158603
45.000 stron A4 przy drukowaniu ciągłym
1
57.
Drukarka OKI C5600
toner żółty: 43381905
2.000 stron A4 przy 5% pokryciu
16
58.
Drukarka OKI C5600
toner purpurowy: 43381906
2.000 stron A4 przy 5% pokryciu
13
59.
Drukarka OKI C5600
toner błękitny: 43381907
2.000 stron A4 przy 5% pokryciu
17
60.
Drukarka OKI C5600
toner czarny: 43324408
6.000 stron A4 przy 5% pokryciu
14
61.
Drukarka OKI C5600
bęben żółty: 43381705
20.000 stron A4 przy drukowaniu ciągłym
4
62.
Drukarka OKI C5600
bęben purpurowy: 43381706
20.000 stron A4 przy drukowaniu ciągłym
5
63.
Drukarka OKI C5600
bęben błękitny: 43381707
20.000 stron A4 przy drukowaniu ciągłym
4
64.
Drukarka OKI C5600
bęben czarny: 43381708
20.000 stron A4 przy drukowaniu ciągłym
4
65.
Drukarka OKI C5600
pas transferu: 43363412
60.000 stron A4 przy drukowaniu ciągłym
4
66.
Drukarka OKI C5600
zespół utrwalający: 43363203
60.000 stron A4 przy drukowaniu ciągłym
1
67.
Drukarka OKI C8600
toner CMYK Rainbow Kit:
43698501
4 x 6.000 stron A4 przy 5% pokryciu
3
68.
Drukarka OKI C8600
toner purpurowy: 43487710
6.000 stron A4 przy 5% pokryciu
1
69.
Drukarka OKI C8600
toner błękitny: 43487711
6.000 stron A4 przy 5% pokryciu
1
70.
Drukarka OKI C8600
bęben żółty: 43449013
20.000 stron A4 przy drukowaniu ciągłym
1
71.
Drukarka OKI C8600
bęben purpurowy: 43449014
20.000 stron A4 przy drukowaniu ciągłym
1
72.
Drukarka OKI C8600
bęben błękitny: 43449015
20.000 stron A4 przy drukowaniu ciągłym
1
73.
Drukarka OKI C8600
bęben czarny: 43449016
20.000 stron A4 przy drukowaniu ciągłym
1
74.
Drukarka SAMSUNG ML-3471ND
toner czarny: ML-D3470B
10.000 stron A4 przy 5% pokryciu zgodnie
z normą ISO/IEC 19752
1
75.
Drukarka SAMSUNG ML-3561ND
toner czarny: ML-3560DB
12.000 stron A4 przy 5% pokryciu zgodnie
z normą ISO/IEC 19752
2
76.
Drukarka Kyocera FS-1116
toner czarny: TK-110
6.000 stron A4 przy 5% pokryciu zgodnie
z normą ISO/IEC 19752
1
77.
Drukarka Minolta 1100L
toner czarny: 1710405002
6.000 stron A4 przy 5% pokryciu
2
78.
Faks Panasonic KX-FLB853
bęben: KX-FA86X(E)
10.000 stron A4 przy 5% pokryciu
1
79.
Faks Panasonic KX-MB773
toner czarny: KX-FAT92
2.000 stron A4 przy 5% pokryciu
1
80.
Faks Panasonic KX-MB773
bęben: KX-FAD93
6.000 stron A4 przy 5% pokryciu
2
81.
Faks Panasonic KX-FLM653
toner czarny: KX-FA83
2.500 stron A4 przy 5% pokryciu
4
82.
Faks Panasonic KX-FLM653
bęben: KX-FA84
10.000 stron A4 przy 5% pokryciu
2
83.
Ploter Oce CS2044
tusz photo magenta: 29952212
330 ml
2
84.
Ploter Oce CS2436
tusz pigment black IJC236:
29952264
130 ml
8
85.
Ploter Oce CS2436
tusz black IJC236: 29952265
130 ml
4
86.
Ploter Oce CS2436
tusz cyan IJC236: 29952266
130 ml
4
87.
Ploter Oce CS2436
tusz magenta IJC246: 29951268
130 ml
4
88.
Ploter Oce CS2436
tusz yellow IJC236: 29952268
130 ml
4
89.
Ploter Oce TCS 500
kaseta konserwacyjna:
1060015781 / 1060092781
-
1
90.
Ploter Oce TCS 500
Combipack TCS500 Black Kit:
29953720
400 ml
1
91.
Ploter Oce TCS 500
Combipack TCS500 Cyan Kit:
29953719
400 ml
1
92.
Ploter Oce TCS 500
Combipack TCS500 Yellow Kit:
29953722
400 ml
1
93.
Kserokopiarka Sharp AR-5316
toner czarny: AR-016T
16.000 stron A4 przy 5% pokryciu
4
94.
Kserokopiarka Sharp AR-M 451U toner czarny: AR-455T
35.000 stron A4 przy 5% pokryciu
5
95.
Kserokopiarka Sharp MX-M550U
toner czarny: AR-621T
83.000 stron A4 przy 5% pokryciu
4
96.
Kserokopiarka Sharp MX-M282N
toner czarny: MX-500GT
40.000 stron A4 przy 5% pokryciu
6
……………………………………………………………………….
/podpis Wykonawcy/
*) – wypełnić w przypadku zaproponowania materiałów równoważnych