Specyfikacja sprzętu

Transkrypt

Specyfikacja sprzętu
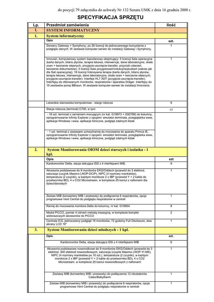
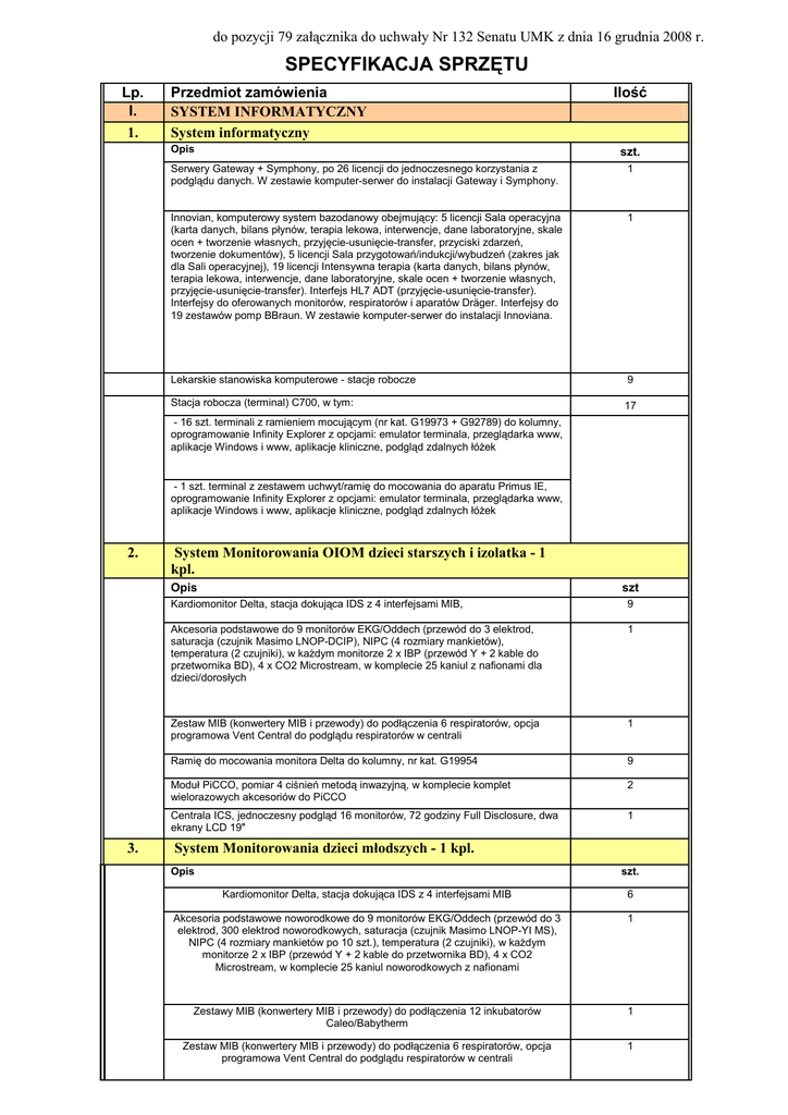
do pozycji 79 załącznika do uchwały Nr 132 Senatu UMK z dnia 16 grudnia 2008 r.
SPECYFIKACJA SPRZĘTU
Lp.
I.
1.
Przedmiot zamówienia
SYSTEM INFORMATYCZNY
System informatyczny
Opis
Ilość
szt.
Serwery Gateway + Symphony, po 26 licencji do jednoczesnego korzystania z
podglądu danych. W zestawie komputer-serwer do instalacji Gateway i Symphony.
1
Innovian, komputerowy system bazodanowy obejmujący: 5 licencji Sala operacyjna
(karta danych, bilans płynów, terapia lekowa, interwencje, dane laboratoryjne, skale
ocen + tworzenie własnych, przyjęcie-usunięcie-transfer, przyciski zdarzeń,
tworzenie dokumentów), 5 licencji Sala przygotowań/indukcji/wybudzeń (zakres jak
dla Sali operacyjnej), 19 licencji Intensywna terapia (karta danych, bilans płynów,
terapia lekowa, interwencje, dane laboratoryjne, skale ocen + tworzenie własnych,
przyjęcie-usunięcie-transfer). Interfejs HL7 ADT (przyjęcie-usunięcie-transfer).
Interfejsy do oferowanych monitorów, respiratorów i aparatów Dräger. Interfejsy do
19 zestawów pomp BBraun. W zestawie komputer-serwer do instalacji Innoviana.
1
Lekarskie stanowiska komputerowe - stacje robocze
9
Stacja robocza (terminal) C700, w tym:
17
- 16 szt. terminali z ramieniem mocującym (nr kat. G19973 + G92789) do kolumny,
oprogramowanie Infinity Explorer z opcjami: emulator terminala, przeglądarka www,
aplikacje Windows i www, aplikacje kliniczne, podgląd zdalnych łóŜek
- 1 szt. terminal z zestawem uchwyt/ramię do mocowania do aparatu Primus IE,
oprogramowanie Infinity Explorer z opcjami: emulator terminala, przeglądarka www,
aplikacje Windows i www, aplikacje kliniczne, podgląd zdalnych łóŜek
2.
System Monitorowania OIOM dzieci starszych i izolatka - 1
kpl.
Opis
3.
szt
Kardiomonitor Delta, stacja dokująca IDS z 4 interfejsami MIB,
9
Akcesoria podstawowe do 9 monitorów EKG/Oddech (przewód do 3 elektrod,
saturacja (czujnik Masimo LNOP-DCIP), NIPC (4 rozmiary mankietów),
temperatura (2 czujniki), w kaŜdym monitorze 2 x IBP (przewód Y + 2 kable do
przetwornika BD), 4 x CO2 Microstream, w komplecie 25 kaniul z nafionami dla
dzieci/dorosłych
1
Zestaw MIB (konwertery MIB i przewody) do podłączenia 6 respiratorów, opcja
programowa Vent Central do podglądu respiratorów w centrali
1
Ramię do mocowania monitora Delta do kolumny, nr kat. G19954
9
Moduł PiCCO, pomiar 4 ciśnień metodą inwazyjną, w komplecie komplet
wielorazowych akcesoriów do PiCCO
2
Centrala ICS, jednoczesny podgląd 16 monitorów, 72 godziny Full Disclosure, dwa
ekrany LCD 19"
1
System Monitorowania dzieci młodszych - 1 kpl.
Opis
szt.
Kardiomonitor Delta, stacja dokująca IDS z 4 interfejsami MIB
6
Akcesoria podstawowe noworodkowe do 9 monitorów EKG/Oddech (przewód do 3
elektrod, 300 elektrod noworodkowych, saturacja (czujnik Masimo LNOP-YI MS),
NIPC (4 rozmiary mankietów po 10 szt.), temperatura (2 czujniki), w kaŜdym
monitorze 2 x IBP (przewód Y + 2 kable do przetwornika BD), 4 x CO2
Microstream, w komplecie 25 kaniul noworodkowych z nafionami
1
Zestawy MIB (konwertery MIB i przewody) do podłączenia 12 inkubatorów
Caleo/Babytherm
1
Zestaw MIB (konwertery MIB i przewody) do podłączenia 6 respiratorów, opcja
programowa Vent Central do podglądu respiratorów w centrali
1
Lp.
4.
Przedmiot zamówienia
6
Centrala ICS, jednoczesny podgląd 8 monitorów, 72 godziny Full Disclosure, jeden
ekran LCD 19"
1
System monitorowania - sala wybudzeń i sala operacyjna
Opis
II.
1.
2.
3.
Ilość
Ramię do mocowania monitora Delta do kolumny, nr kat. G19954
szt
Kardiomonitor Delta, stacja dokująca IDS z 4 interfejsami MIB, zestaw
uchwyt/ramię do mocowania do aparatu Primus IE
1
Kardiomonitor Delta, stacja dokująca IDS z 4 interfejsami MIB, z zasilaczem
4
Akcesoria podstawowe do 5 monitorów EKG/Oddech (przewód do 3 elektrod,
saturacja (czujnik Masimo LNOP-DCIP), NIPC (4 rozmiary mankietów),
temperatura (2 czujniki), w kaŜdym monitorze 2 x IBP (przewód Y + 2 kable do
przetwornika BD)
1
Zestawy MIB (konwertery MIB i przewody) do połączenia Primus IE - Delta
1
Zestaw MIB (konwertery MIB i przewody) do podłączenia 4 respiratorów, opcja
programowa Vent Central do podglądu respiratorów w centrali
1
Ramię do mocowania monitora Delta do kolumny Ponta, nr kat. G19954
3
Ramię do mocowania monitora Delta do kolumny Gemina, nr kat. G19975
1
Centrala ICS, jednoczesny podgląd 8 monitorów, 72 godziny Full Disclosure, jeden
ekran LCD 19"
1
Sprzęt medyczny współpracujący z wyŜej wymienionym systemem
Kardiomonitor zapasowy DELTA
POMPY
Pompa infuzyna objętościowa INFUSOMAT SPACE z czujnikiem
kropli
1
Pompa infuzyna strzykawkowa PERFUZOR SPACE
25
240
Stacja dokująca B.BRAUN
60
Interfejs do komunikacji z komputerem za pomocą Ethernetu lub
innej sieci SPACECOM z oprzyrządowaniem
APARAT DO ZNIECZULANIA PRIMUS
19
3
w tym:
Stanowisko do znieczulania PRIMUS - 1 szt. do montaŜu na kolumnie
zawierajace:
TRYBY WENTYLACJI: VCV, PCV, SIMV, PS, AUTO FLOW,
wspomaganie oddechów spontanicznych w trybach wentylacji
objetościowej i ciśnieniowej
REGULACJE: Regulacje wszystkich parametrów wentylacji w tym
objętość oddechowa TV od 5 ml, Częstość oddechów 100 odd/min
PREZENTACJA: parametry wentylacji ustawiane i parametry mierzone
krzywe: objętość, przepływ i ciśnienie w funkcji czasu pętle oddechowe:
ciśnienie/objetość, objetość/przepływ
Monitorowanie: parametry wentylacji (objętość oddechowa, objetość
minutowa, częstośćoddechowa, ciśnienie w układzie oddechowym),
stęŜenie O2 (czujnik paramagnetyczny),
Anestetyki wziewne pomiar i prezentacja stęŜenia wdechowego i
wydechowego anestetyków wziewnych, MAC
Respirator anestetyczny napedzany elektrycznie
Mozliwość podłaczenia układów półotwartych typu Kuhn
Ssak inŜektorowy zasilany powietrzem z wyposaŜeniem
Układ pacjenta dla dorosłych i noworodków
PAROWNIK Vapor 2000 do sevofluranu
NawilŜacz F&P MR 850 z kompletem akcesoriów
Stanowisko do znieczulania PRIMUS IE- 2 szt. aparat na podstawie
jezdnej zawierające:
Lp.
Przedmiot zamówienia
Ilość
TRYBY WENTYLACJI: VCV, PCV, SIMV, PS, AUTO FLOW,
wspomaganie oddechów spontanicznych w trybach wentylacji
objetościowej i ciśnieniowej
REGULACJE: Regulacje wszystkich parametrów wentylacji w tym
objętość oddechowa TV od 5 ml, Częstość oddechów 100 odd/min
PREZENTACJA: parametry wentylacji ustawiane i parametry mierzone
krzywe: objętość, przepływ i ciśnienie w funkcji czasu pętle oddechowe:
ciśnienie/objetość, objetość/przepływ
Monitorowanie: parametry wentylacji (objętość oddechowa, objetość
minutowa, częstośćoddechowa, ciśnienie w układzie oddechowym),
stęŜenie O2 (czujnik paramagnetyczny),
Anestetyki wziewne pomiar i prezentacja stęŜenia wdechowego i
wydechowego anestetyków wziewnych, MAC
Respirator anestetyczny napedzany elektrycznie
Mozliwość podłaczenia układów półotwartych typu Kuhn
Ssak inŜektorowy zasilany powietrzem z wyposaŜeniem
4.
Układ pacjenta dla dorosłych i noworodków
Respirator dla dzieci i noworodków EVITA XL
19
w tym:
Respirator EVITA XL - 3 szt. zawierający:
Oprogramowanie wersja 7.n
Opcja Smart Care Capno
Opcja PPS-proprcjonalne wspomaganie PS
opcja NeoFlow (wentylacja noworodków)
Opcja Evita Link do jednoczesnego podłączenia przez MEDIBUS kilku
urzadzeń
Opcja NIV Plus
Opcja pakiet ochronny płuc
NawilŜacz F&P MR 850 z kompletem akcesoriów
Nebulizator Aeroneb Pro - kompletny zestaw z zasilaczem, modułem
sterującym, złaczem typu T dla dorosłych i do układów
noworodkowychoraz uchwytem mocującym
Respirator EVITA XL - 16 szt. zawierający:
Oprogramowanie wersja 7.n
Opcja NeoFlow (wentylacja noworodków)
Opcja NIV Plus
Opcja Evita Link do jednoczesnego podłączenia przez MEDIBUS kilku
urzadzeń
5.
NawilŜacz F&P MR 850 z kompletem akcesoriów
Respirator transportowy OXYLOG 3000 z systemem transportowym i
akcesoriami
1