Instalacja Programu konfiguracyjnego – Configuration Software 1

Transkrypt

Instalacja Programu konfiguracyjnego – Configuration Software 1
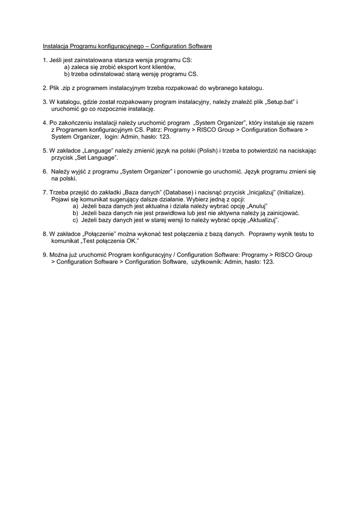
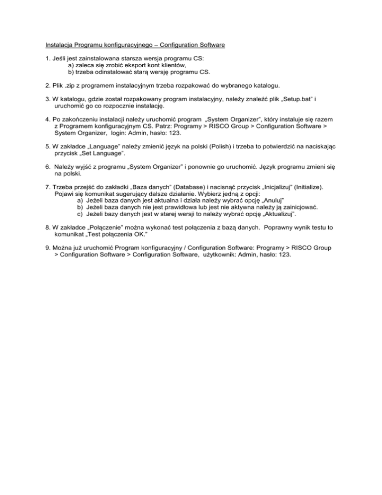
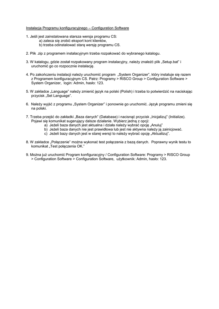
Instalacja Programu konfiguracyjnego – Configuration Software
1. Jeśli jest zainstalowana starsza wersja programu CS:
a) zaleca się zrobić eksport kont klientów,
b) trzeba odinstalować starą wersję programu CS.
2. Plik .zip z programem instalacyjnym trzeba rozpakować do wybranego katalogu.
3. W katalogu, gdzie został rozpakowany program instalacyjny, należy znaleźć plik „Setup.bat” i
uruchomić go co rozpocznie instalację.
4. Po zakończeniu instalacji należy uruchomić program „System Organizer”, który instaluje się razem
z Programem konfiguracyjnym CS. Patrz: Programy > RISCO Group > Configuration Software >
System Organizer, login: Admin, hasło: 123.
5. W zakładce „Language” należy zmienić język na polski (Polish) i trzeba to potwierdzić na naciskając
przycisk „Set Language”.
6. Należy wyjść z programu „System Organizer” i ponownie go uruchomić. Język programu zmieni się
na polski.
7. Trzeba przejść do zakładki „Baza danych” (Database) i nacisnąć przycisk „Inicjalizuj” (Initialize).
Pojawi się komunikat sugerujący dalsze działanie. Wybierz jedną z opcji:
a) Jeżeli baza danych jest aktualna i działa należy wybrać opcję „Anuluj”
b) Jeżeli baza danych nie jest prawidłowa lub jest nie aktywna należy ją zainicjować.
c) Jeżeli bazy danych jest w starej wersji to należy wybrać opcję „Aktualizuj”.
8. W zakładce „Połączenie” można wykonać test połączenia z bazą danych. Poprawny wynik testu to
komunikat „Test połączenia OK.”
9. Można już uruchomić Program konfiguracyjny / Configuration Software: Programy > RISCO Group
> Configuration Software > Configuration Software, użytkownik: Admin, hasło: 123.