Załącznik nr 1 do projektu umowy

Transkrypt

Załącznik nr 1 do projektu umowy
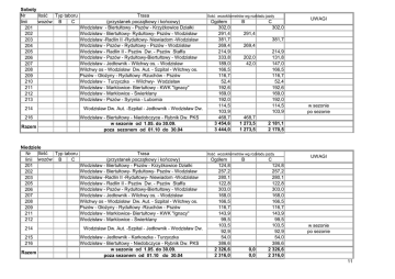
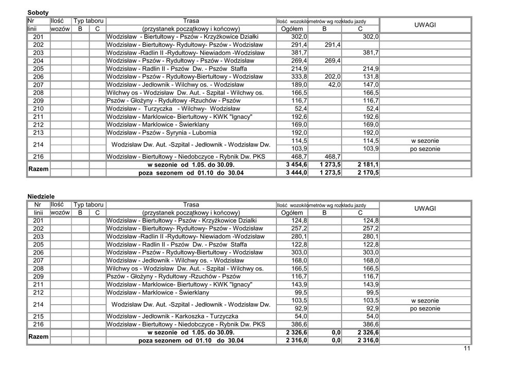
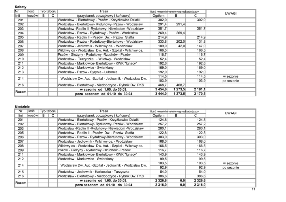
Soboty
Nr
Ilość
Typ taboru
linii
wozów B
C
201
202
203
204
205
206
207
208
209
210
211
212
213
214
216
Razem
Niedziele
Ilość
Nr
Typ taboru
linii wozów B
C
201
202
203
205
206
207
208
209
211
212
214
215
216
Razem
Trasa
(przystanek początkowy i końcowy)
Wodzisław - Biertułtowy - Pszów - Krzyżkowice Działki
Wodzisław - Biertułtowy- Rydułtowy- Pszów - Wodzisław
Wodzisław -Radlin II -Rydułtowy- Niewiadom -Wodzisław
Wodzisław - Pszów - Rydułtowy - Pszów - Wodzisław
Wodzisław - Radlin II - Pszów Dw. - Pszów Staffa
Wodzisław - Pszów - Rydułtowy-Biertułtowy - Wodzisław
Wodzisław - Jedłownik - Wilchwy os. - Wodzisław
Wilchwy os - Wodzisław Dw. Aut. - Szpital - Wilchwy os.
Pszów - Głożyny - Rydułtowy -Rzuchów - Pszów
Wodzisław - Turzyczka - Wilchwy- Wodzisław
Wodzisław - Marklowice- Biertułtowy - KWK "Ignacy"
Wodzisław - Marklowice - Świerklany
Wodzisław - Pszów - Syrynia - Lubomia
Wodzisław Dw. Aut. -Szpital - Jedłownik - Wodzisław Dw.
Wodzisław - Biertułtowy - Niedobczyce - Rybnik Dw. PKS
w sezonie od 1.05. do 30.09.
poza sezonem od 01.10 do 30.04
Trasa
(przystanek początkowy i końcowy)
Wodzisław - Biertułtowy - Pszów - Krzyżkowice Dzialki
Wodzisław - Biertułtowy- Rydułtowy- Pszów - Wodzisław
Wodzisław -Radlin II -Rydułtowy- Niewiadom -Wodzisław
Wodzisław - Radlin II - Pszów Dw. - Pszów Staffa
Wodzisław - Pszów - Rydułtowy-Biertułtowy - Wodzisław
Wodzisław - Jedłownik - Wilchwy os. - Wodzisław
Wilchwy os - Wodzisław Dw. Aut. - Szpital - Wilchwy os.
Pszów - Głożyny - Rydułtowy -Rzuchów - Pszów
Wodzisław - Marklowice- Biertułtowy - KWK "Ignacy"
Wodzisław - Marklowice - Świerklany
Wodzisław Dw. Aut. -Szpital - Jedłownik - Wodzisław Dw.
Wodzisław - Jedłownik - Karkoszka - Turzyczka
Wodzisław - Biertułtowy - Niedobczyce - Rybnik Dw. PKS
w sezonie od 1.05. do 30.09.
poza sezonem od 01.10 do 30.04
Ilość wozokilometrów wg rozkładu jazdy
Ogółem
302,0
291,4
381,7
269,4
214,9
333,8
189,0
166,5
116,7
52,4
192,6
169,0
192,0
114,5
103,9
468,7
3 454,6
3 444,0
B
C
302,0
291,4
381,7
269,4
214,9
131,8
147,0
166,5
116,7
52,4
192,6
169,0
192,0
114,5
103,9
202,0
42,0
468,7
1 273,5
1 273,5
B
C
0,0
0,0
w sezonie
po sezonie
2 181,1
2 170,5
Ilość wozokilometrów wg rozkładu jazdy
Ogółem
124,8
257,2
280,1
122,8
303,0
168,0
166,5
116,7
143,9
99,5
103,5
92,9
54,0
386,6
2 326,6
2 316,0
UWAGI
124,8
257,2
280,1
122,8
303,0
168,0
166,5
116,7
143,9
99,5
103,5
92,9
54,0
386,6
2 326,6
2 316,0
UWAGI
w sezonie
po sezonie
11