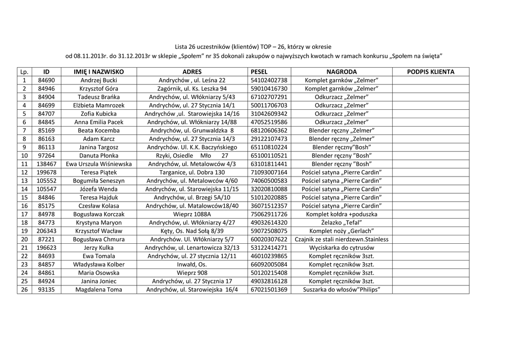
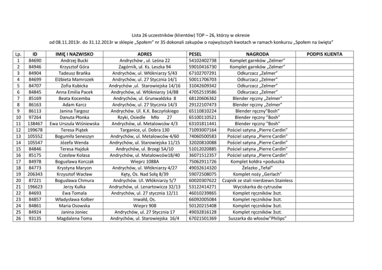
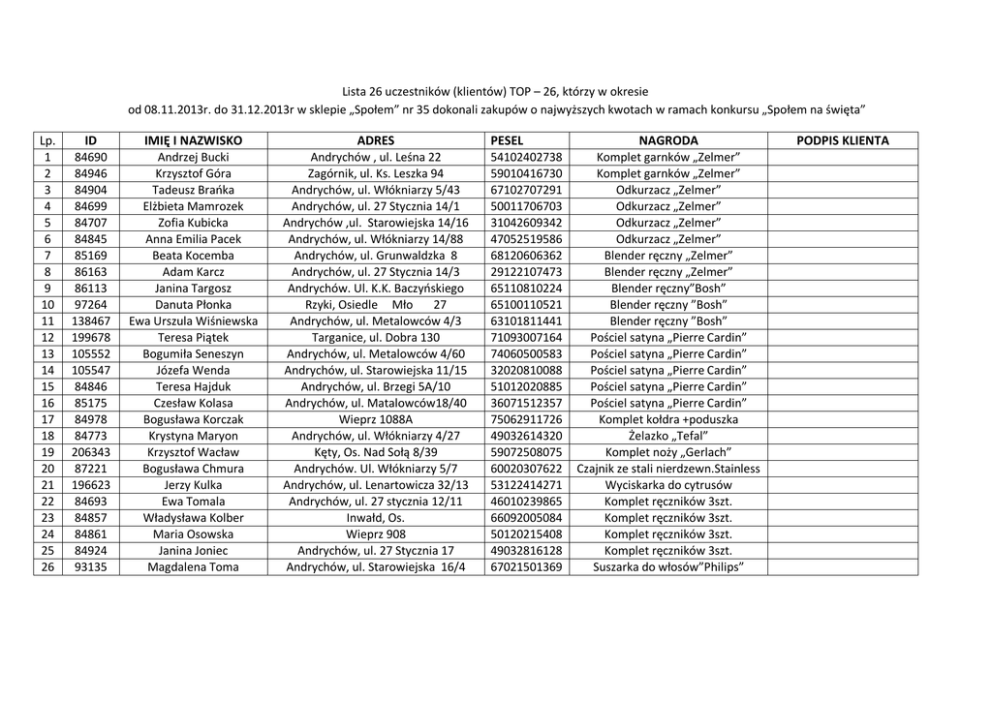
Lp. ID IMIĘ I NAZWISKO ADRES PESEL NAGRODA

Transkrypt

Lp. ID IMIĘ I NAZWISKO ADRES PESEL NAGRODA
Lista 26 uczestników (klientów) TOP – 26, którzy w okresie
od 08.11.2013r. do 31.12.2013r w sklepie „Społem” nr 35 dokonali zakupów o najwyższych kwotach w ramach konkursu „Społem na święta”
Lp.
1
2
3
4
5
6
7
8
9
10
11
12
13
14
15
16
17
18
19
20
21
22
23
24
25
26
ID
84690
84946
84904
84699
84707
84845
85169
86163
86113
97264
138467
199678
105552
105547
84846
85175
84978
84773
206343
87221
196623
84693
84857
84861
84924
93135
IMIĘ I NAZWISKO
Andrzej Bucki
Krzysztof Góra
Tadeusz Brańka
Elżbieta Mamrozek
Zofia Kubicka
Anna Emilia Pacek
Beata Kocemba
Adam Karcz
Janina Targosz
Danuta Płonka
Ewa Urszula Wiśniewska
Teresa Piątek
Bogumiła Seneszyn
Józefa Wenda
Teresa Hajduk
Czesław Kolasa
Bogusława Korczak
Krystyna Maryon
Krzysztof Wacław
Bogusława Chmura
Jerzy Kulka
Ewa Tomala
Władysława Kolber
Maria Osowska
Janina Joniec
Magdalena Toma
ADRES
Andrychów , ul. Leśna 22
Zagórnik, ul. Ks. Leszka 94
Andrychów, ul. Włókniarzy 5/43
Andrychów, ul. 27 Stycznia 14/1
Andrychów ,ul. Starowiejska 14/16
Andrychów, ul. Włókniarzy 14/88
Andrychów, ul. Grunwaldzka 8
Andrychów, ul. 27 Stycznia 14/3
Andrychów. Ul. K.K. Baczyńskiego
Rzyki, Osiedle Mło
27
Andrychów, ul. Metalowców 4/3
Targanice, ul. Dobra 130
Andrychów, ul. Metalowców 4/60
Andrychów, ul. Starowiejska 11/15
Andrychów, ul. Brzegi 5A/10
Andrychów, ul. Matalowców18/40
Wieprz 1088A
Andrychów, ul. Włókniarzy 4/27
Kęty, Os. Nad Sołą 8/39
Andrychów. Ul. Włókniarzy 5/7
Andrychów, ul. Lenartowicza 32/13
Andrychów, ul. 27 stycznia 12/11
Inwałd, Os.
Wieprz 908
Andrychów, ul. 27 Stycznia 17
Andrychów, ul. Starowiejska 16/4
PESEL
54102402738
59010416730
67102707291
50011706703
31042609342
47052519586
68120606362
29122107473
65110810224
65100110521
63101811441
71093007164
74060500583
32020810088
51012020885
36071512357
75062911726
49032614320
59072508075
60020307622
53122414271
46010239865
66092005084
50120215408
49032816128
67021501369
NAGRODA
Komplet garnków „Zelmer”
Komplet garnków „Zelmer”
Odkurzacz „Zelmer”
Odkurzacz „Zelmer”
Odkurzacz „Zelmer”
Odkurzacz „Zelmer”
Blender ręczny „Zelmer”
Blender ręczny „Zelmer”
Blender ręczny”Bosh”
Blender ręczny ”Bosh”
Blender ręczny ”Bosh”
Pościel satyna „Pierre Cardin”
Pościel satyna „Pierre Cardin”
Pościel satyna „Pierre Cardin”
Pościel satyna „Pierre Cardin”
Pościel satyna „Pierre Cardin”
Komplet kołdra +poduszka
Żelazko „Tefal”
Komplet noży „Gerlach”
Czajnik ze stali nierdzewn.Stainless
Wyciskarka do cytrusów
Komplet ręczników 3szt.
Komplet ręczników 3szt.
Komplet ręczników 3szt.
Komplet ręczników 3szt.
Suszarka do włosów”Philips”
PODPIS KLIENTA