część 11 - bip

Transkrypt

część 11 - bip
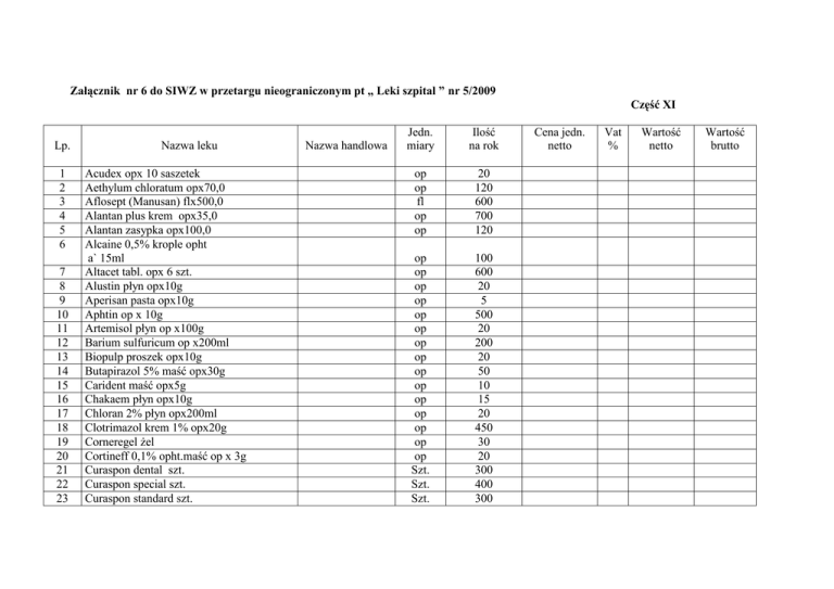
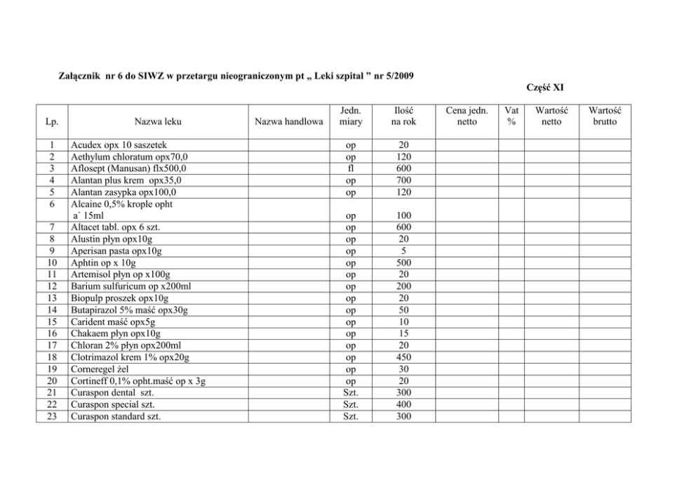
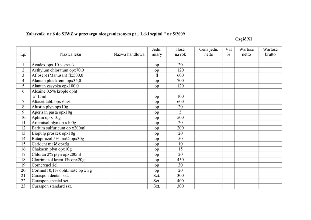
Załącznik nr 6 do SIWZ w przetargu nieograniczonym pt „ Leki szpital ” nr 5/2009
Część XI
Lp.
1
2
3
4
5
6
7
8
9
10
11
12
13
14
15
16
17
18
19
20
21
22
23
Nazwa leku
Acudex opx 10 saszetek
Aethylum chloratum opx70,0
Aflosept (Manusan) flx500,0
Alantan plus krem opx35,0
Alantan zasypka opx100,0
Alcaine 0,5% krople opht
a` 15ml
Altacet tabl. opx 6 szt.
Alustin płyn opx10g
Aperisan pasta opx10g
Aphtin op x 10g
Artemisol płyn op x100g
Barium sulfuricum op x200ml
Biopulp proszek opx10g
Butapirazol 5% maść opx30g
Carident maść opx5g
Chakaem płyn opx10g
Chloran 2% płyn opx200ml
Clotrimazol krem 1% opx20g
Corneregel Ŝel
Cortineff 0,1% opht.maść op x 3g
Curaspon dental szt.
Curaspon special szt.
Curaspon standard szt.
Nazwa handlowa
Jedn.
miary
Ilość
na rok
op
op
fl
op
op
20
120
600
700
120
op
op
op
op
op
op
op
op
op
op
op
op
op
op
op
Szt.
Szt.
Szt.
100
600
20
5
500
20
200
20
50
10
15
20
450
30
20
300
400
300
Cena jedn.
netto
Vat
%
Wartość
netto
Wartość
brutto
24
25
26
27
28
29
30
31
32
33
Detreomycyna 1% maść opx5g
Detreomycyna 2% maść op x5 g
Dexadent ung. op x 5g
Dexapolcort aerozol opx55ml
Dicortinef ung.opht.op.a 3g
Dicortineff zawiesina do oczu op.10ml
Endosal płyn opx10ml
Eugenol płyn opx10ml
Fluormex płyn op x 50g
Gentamycyna 0,3% gutt. opht opx5ml
op
op
op
op
op
op
op
op
op
op
30
350
15
200
5
20
15
40
150
80
34
35
36
37
38
39
40
41
42
43
Heparinum krem opx20g
Leko saszetki opx100szt.
Lidocain 10% aerozol opx38g
Linomag krem opx30g
Linomag maść opx30g
Maść cynkowa 20g
Maść ichtiolowa opx20g
Maść witaminowa z vitA op x 30g
Metindol 5% maść opx30g
Natrium hydricum c.calce gran.opx3,3 z
indykatorem zuŜycia
Neomycyna aerozol 55ml
Nipas wkładka do –zębodołowa x 50szt.
Novoscabin x 150ml
Nystatyna 100tys.j.tabl.dop.
Oftensin 0,5% ml guttae opht.
Oxycort aerozol x 55ml
Panthenol aerozol x 130g
Para-pasta 5g
Pigmentum Castelanii x125g
op
op
op
op
op
op
op
op
op
600
600
140
200
400
90
5
800
60
op
op
op
fl
op
op
op
op
op
op
20
650
20
10
40
5
230
60
30
5
44
45
46
47
48
49
50
51
52
53
54
55
56
57
58
59
60
61
62
63
64
65
66
67
68
Pilocarpinum gtt. opht.2%opx5ml
Piroxicam ung 5% 20g
Polseptol 10% ung 20g
Rivanol op x 5 tabl.
Sachol Ŝel 10g
Salumin Ŝel 10g
Solcoseryl 10% Ŝel 20g
Solcoseryl 5% maść 20g
Solcoseryl dental 5g
Sulfacetamidum natrium 10% 0,5ml x
12szt.
Tantum Rosa puder 500mg
op 3x10 saszetek
Tormazol op. ā 20g. (bez tetraboranu
sodowego)
Trombina 400j opx5amp
Tropicamid gtt. opht 0,5% 2x5ml
Tropicamid gtt. opht.1% 2x5ml
Vagothyl płyn 50g
op
op
op
op
op
op
op
op
op
5
20
300
50
25
5
100
30
25
op
400
op
10
op
op
op
op
fl
160
80
10
100
10
Ogółem :
Zamawiający dopuszcza składanie ofert równowaŜnych do wyŜej wyszczególnionych pozycji. (Dopuszczamy wszystkie odpowiedniki
chemiczne wymienionych preparatów).
........................................... dnia ..........................
.......................................................
pieczęć i podpis Oferenta