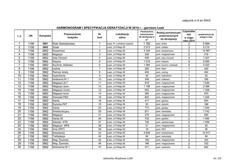
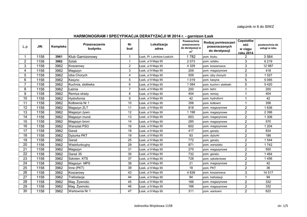
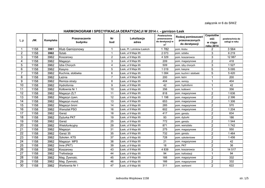
HARMONOGRAM I SPECYFIKACJA DERATYZACJI W 2014 r

Transkrypt

HARMONOGRAM I SPECYFIKACJA DERATYZACJI W 2014 r
załącznik nr 6 do SIWZ
HARMONOGRAM I SPECYFIKACJA DERATYZACJI W 2014 r. - garnizon Łask
L.p
1
2
3
4
5
6
7
8
9
10
11
12
13
14
15
16
17
18
19
20
21
22
23
24
25
26
27
28
29
30
JW.
1158
1158
1158
1158
1158
1158
1158
1158
1158
1158
1158
1158
1158
1158
1158
1158
1158
1158
1158
1158
1158
1158
1158
1158
1158
1158
1158
1158
1158
1158
Kompleks
3961
3962
3962
3962
3962
3962
3962
3962
3962
3962
3962
3962
3962
3962
3962
3962
3962
3962
3962
3962
3962
3962
3962
3962
3962
3962
3962
3962
3962
3962
Przeznaczenie
budynku
Nr
bud
Lokalizacja
adres
Powierzchnia
przeznaczona
do deratyzacji w
m2
Rodzaj pomieszczeń
przeznaczonych
do deratyzacji
Klub Garnizonowy
1
Łask, Pl. Lotników Łaskich
1 782
pom. klubu
Sztab
Koszarowy
Magazyn
Izba Chorych
Kasyno
Kuchnia, stołówka
Łaźnia
Remiza straży
Hydrofornia
Kotłownia Nr 1
Magazyn ZLT
Magazyn żywn.
Magazyn mund.
Magazyn broni
Warsztat PSO
Garaż
Dyżurka PKT
Garaż
Wielofunkcyjny
Magazyn
Garaż 35
Szkolen. KTS
Magazyn MPS
Inne (PKT)
Koszarowy
Trafostacja
Mag. Żywnośc.
Mag. Żywnośc.
Wartownia Nr 1
1
2
3
4
5
6
7
8
9
10
11
12
13
14
16
18
19
25
29
31
35
37
38
39
43
44
45
46
47
Łask, ul 9 Maja 95
2 073
4 329
209
509
1 019
1 084
200
404
42
356
818
1 198
653
285
602
417
93
772
871
275
732
728
21
18
4 839
94
166
166
311
pom. sztabu
Łask, ul 9 Maja 95
Łask, ul 9 Maja 95
Łask, ul 9 Maja 95
Łask, ul 9 Maja 95
Łask, ul 9 Maja 95
Łask, ul 9 Maja 95
Łask, ul 9 Maja 95
Łask, ul 9 Maja 95
Łask, ul 9 Maja 95
Łask, ul 9 Maja 95
Łask, ul 9 Maja 95
Łask, ul 9 Maja 95
Łask, ul 9 Maja 95
Łask, ul 9 Maja 95
Łask, ul 9 Maja 95
Łask, ul 9 Maja 95
Łask, ul 9 Maja 95
Łask, ul 9 Maja 95
Łask, ul 9 Maja 95
Łask, ul 9 Maja 95
Łask, ul 9 Maja 95
Łask, ul 9 Maja 95
Łask, ul 9 Maja 95
Łask, ul 9 Maja 95
Łask, ul 9 Maja 95
Łask, ul 9 Maja 95
Łask, ul 9 Maja 95
Łask, ul 9 Maja 95
Jednostka Wojskowa 1158
pom. koszarowca
pom. magazynowe
pom. izby chorych
pom. kasyna
pom. kuchni i stołówki
pom. łaźni
pom. remizy
pom. hydroforni
pom. kotłowni
pom. magazynowe
pom. magazynowe
pom. magazynowe
pom. magazynowe
pom. magazynowe
pom. garażu
pom. dyżurki
pom. garażu
pom. warsztatu
pom. magazynowe
pom. garażu
pom. szkoleniowe
pom. magazynowe
pom. PKT
pom. koszarowca
pom. trafostacji
pom. magazynowe
pom. magazynowe
pom. wartowni
Częstotliw
ość
w ciągu
roku 2014
2
3
3
2
3
5
5
1
1
1
1
2
2
2
2
2
2
2
2
2
2
2
2
2
2
3
1
2
2
2
powierzchnia do
usługi w roku
3 564
6 219
12 987
418
1 527
5 095
5 420
200
404
42
356
1 636
2 396
1 306
570
1 204
834
186
1 544
1 742
550
1 464
1 456
42
36
14 517
94
332
332
622
str. 1/5
31
32
33
34
35
36
37
38
39
40
41
42
43
44
45
46
47
48
49
50
51
52
53
54
55
56
57
58
59
60
61
62
63
64
65
66
67
68
1158
1158
1158
1158
1158
1158
1158
1158
1158
1158
1158
1158
1158
1158
1158
1158
1158
1158
1158
1158
1158
1158
1158
1158
1158
1158
1158
1158
1158
1158
1158
1158
1158
1158
1158
1158
1158
1158
3962
3962
6030
6030
6030
6030
6030
6030
6030
6030
6030
6030
6030
6030
6030
6030
6030
6030
6030
6030
6030
6030
6030
6030
6030
6030
6030
6030
6030
6030
6030
6030
6030
6030
6030
6030
6030
6030
Wiata opał.
Wiata mag.
Remiza straży
Magazyn MPS
WPL
Warsztat techniczny
Domek startowy
Warsztat (Bliższa)
Trafostacja
Hydrofornia
Wartownia
Lokomotywownia
Magazyn
Warsztat
Domek startowy
Hangar
Trafostacja
Kotłownia WCO
AWIA
Trafostacja
Trafostacja
Garaż
Przep.MPS
Biurowo-sztab
Trafostacja
Koszar.admin.
Kotłownia
Mag. chem.
Garażowy
Mag. ogólny
Mag.nawozowy
Magazyn tlenu
Wielofunkcyjny
Obsługowy (SPiER)
Magazyn śr. bojow
Magazyn śr. bojow
Magazyn śr. bojow
Magazyn śr. bojow
48
49
4
6
10
13
15
17
19
20
21
50
52
53
61
69
70
71
73
76
78
80
81
82
83
84
85
86
87
88
89
91
92
93
94
95
96
97
Łask, ul 9 Maja 95
Łask, ul 9 Maja 95
Teodory
Teodory
Teodory
Teodory
Teodory
Teodory
Teodory
Teodory
Teodory
Teodory
Teodory
Teodory
Teodory
Teodory
Teodory
Teodory
Teodory
Teodory
Teodory
Teodory
Teodory
Teodory
Teodory
Teodory
Teodory
Teodory
Teodory
Teodory
Teodory
Teodory
Teodory
Teodory
Teodory
Teodory
Teodory
Teodory
Jednostka Wojskowa 1158
483
93
28
23
559
259
290
59
80
37
154
64
197
195
405
2 546
62
605
62
60
304
254
141
177
83
1 014
268
200
3 528
541
503
24
419
885
100
477
477
408
pom. magazynowe
pom. magazynowe
pom.remizy
pom.magazynowe
pom.portu lotn.
pom.warsztatowe
pom. domku startowego
pom. warsztatu
pom. trafostacji
pom.hydroforni
pom. wartowni
pom.lokomotywowni
pom.magazynowe
pom.warsztatowe
pom. domku startowego
pom. hangaru
pom.trafostacji
pom.kotłowni
pom.AWII
pom.trafostacji
pom.trafostacji
pom.garażowe
pom.przepomp.
pom.sztabu
pom.trafostacji
pom. adm.koszar
pom. kotłowni
pom. magazynowe
pom. Garażu
pom. magazynowe
pom. magazynowe
pom. magazynowe
pom. warsztatu
pom. SPiER
pom. magazynowe
pom. magazynowe
pom. magazynowe
pom. magazynowe
2
2
1
2
3
3
3
2
1
1
2
1
2
2
3
3
1
1
3
1
1
1
1
2
1
2
1
1
2
2
2
2
2
2
2
2
2
2
966
186
28
46
1 677
777
870
118
80
37
308
64
394
390
1 215
7 638
62
605
186
60
304
254
141
354
83
2 028
268
200
7 056
1 082
1 006
48
838
1 770
200
954
954
816
str. 2/5
69
70
71
72
73
74
75
76
77
78
79
80
81
82
83
84
85
86
87
88
89
90
91
92
93
94
95
96
97
98
99
100
101
102
103
104
105
106
1158
1158
1158
1158
1158
1158
1158
1158
1158
1158
1158
1158
1158
1158
1158
1158
1158
1158
1158
1158
1158
1158
1158
1158
1158
1158
1158
1158
1158
1158
1158
1158
1158
1158
1158
1158
1158
1158
6030
6030
6030
6030
6030
6030
6030
6030
6030
6030
6030
6030
6030
6030
6030
6030
6030
6030
6030
6030
6030
6030
6030
6030
6030
6030
6030
6030
6030
6030
6030
6030
6030
6030
6030
6030
6030
6030
Magazyn śr. bojow
Magazyn śr. bojow
Nowy SPiER
WPL
Nowy hangar
Domek eskadrowy
Domek pilota
Budynek techniczny
Schrono-hangar
Schron eskadrowy
Schrono-hangar
Schrono-hangar
Schron eskadrowy
Schrono-hangar
Ukrycie na cysternę
Ukrycie na cysternę
Schrono-hangar
Schron eskadrowy
Magazyn
Schrono-hangar
Ukrycie na cysternę
Schrono-hangar
Schron eskadrowy
Magazyn
Schrono-hangar
Schron eskadrowy
Magazyn
Schrono-hangar
Schrono-hangar
Schron eskadrowy
Schrono-hangar
Ukrycie na cysternę
Schrono-hangar
Schron eskadrowy
Schrono-hangar
Schrono-hangar
Schron eskadrowy
Magazyn
98
99
100
101
102
103
104
105
106
107
108
109
110
111
112
113
114
115
116
117
118
119
120
121
122
123
124
125
126
127
128
129
130
131
132
133
134
135
Teodory
Teodory
Teodory
Teodory
Teodory
Teodory
Teodory
Teodory
Teodory
Teodory
Teodory
Teodory
Teodory
Teodory
Teodory
Teodory
Teodory
Teodory
Teodory
Teodory
Teodory
Teodory
Teodory
Teodory
Teodory
Teodory
Teodory
Teodory
Teodory
Teodory
Teodory
Teodory
Teodory
Teodory
Teodory
Teodory
Teodory
Teodory
Jednostka Wojskowa 1158
478
52
219
2 566
1 727
1 718
2 130
404
577
45
577
840
45
577
180
180
577
45
65
577
180
840
45
65
840
45
65
577
577
45
577
180
840
45
577
577
45
65
pom. magazynowe
pom. magazynowe
pom.SPiER
pom. WPL
pom. hangaru
pom. domku eskadrowego
pom. domku pilota
pom.techniczne
pom. hangaru
pom. schronu
pom. hangaru
pom. hangaru
pom. schronu
pom. hangaru
pom.ukrycia
pom.ukrycia
pom. hangaru
pom. schronu
pom. magazynowe
pom. hangaru
pom.ukrycia
pom. hangaru
pom. schronu
pom. magazynowe
pom. hangaru
pom. schronu
pom. magazynowe
pom. hangaru
pom. hangaru
pom. schronu
pom. hangaru
pom.ukrycia
pom. hangaru
pom. schronu
pom. hangaru
pom. hangaru
pom. schronu
pom. magazynowe
2
2
2
3
3
3
3
3
3
3
3
3
3
3
2
2
3
3
3
3
2
3
3
3
3
3
3
3
3
3
3
2
3
3
3
3
3
3
956
104
438
7 698
5 181
5 154
6 390
1 212
1 731
135
1 731
2 520
135
1 731
360
360
1 731
135
195
1 731
360
2 520
135
195
2 520
135
195
1 731
1 731
135
1 731
360
2 520
135
1 731
1 731
135
195
str. 3/5
107
108
109
110
111
112
113
114
115
116
117
118
119
120
121
122
123
124
125
126
127
128
129
130
131
132
1158
1158
1158
1158
1158
1158
1158
1158
1158
1158
1158
1158
1158
1158
1158
1158
1158
1158
1158
1158
1158
1158
1158
1158
1158
2748
6030
6030
6030
6030
6030
6030
6030
6030
6030
6030
6030
6030
6030
6030
6030
6030
6030
6030
6030
6030
6030
6030
6030
6030
6030
4585
Schrono-hangar
Schrono-hangar
Przeompow. p/poż
Trenażer
Budynek LŚM
Portiernia LŚM
Kotłownia LŚM
Spadachroniarnia
Strażnica p/poż
Wiata mag.LŚM
Śmietnik k/WPL
Oczyszczalnia ściek.
Warsztat F-16
Warsztat uzbrojenia
Pompownia MPS 2
Hangar obsł. paliw.sam.
Biuro przepustek
Wiata mag.(k.HOP)
Pomp. p/poż (MPS I)
Pomp. p/poż (MPS II)
Magazyn hydrazyny
RCN
RSL
Kontener mieszk.PKT 4
Hala sportowa z basenem
Budynek PRDZ
136
137
139
141
142
143
146
147
148
151
152
153
157
158
163
166
190
192
194
196
198
bn
bn
bn
206
Teodory
577
577
293
730
3 515
10
84
485
1 599
200
8
19
2 147
287
141
827
117
168
93
93
20
15
15
10
pom. hangaru
pom. Obiektu
Wronowice
6 545
1 064
13
ogółem Łask
80 533
Teodory
Teodory
Teodory
Teodory
Teodory
Teodory
Teodory
Teodory
Teodory
Teodory
Teodory
Teodory
Teodory
Teodory
Teodory
Teodory
Teodory
Teodory
Teodory
Teodory
Teodory
Teodory
Teodory
Teodory
pom. hangaru
pom.przepomp.
pom. trenażera
pom. LŚM
pom. portierni
pom. kotłowni
pom. spadochroniarni
pom. strażnicy
pom. magazynowe
pom. Śmietnika
pom.oczysz.ścieków
pom. warsztatu
pom. warsztatu
pom.pompowni
pom.hangaru
pom.biura
pom.magazynowe
pom.pompowni
pom.pompowni
pom.magazynowe
pom. RCN
pom. RSL
pom. służbowe
pom. PRDZ
3
3
2
3
4
2
2
3
3
2
2
2
3
3
3
3
3
2
2
2
2
2
2
2
3
3
1 731
1 731
586
2 190
14 060
20
168
1 455
4 797
400
16
38
6 441
861
423
2 481
351
336
186
186
40
30
30
20
19 635
3 192
220 385
HARMONOGRAM I SPECYFIKACJA DERATYZACJI W 2014 r. - garnizon Sieradz
L.p
1
JW.
1551
Kompleks
2617
Przeznaczenie
budynku
Stołówka Żołnierska
Nr
bud
28
Lokalizacja
adres
Sieradz ul. W. Polskiego
Jednostka Wojskowa 1158
Powierzchnia
przeznaczona
do deratyzacji w
m2
767,0
Rodzaj pomieszczeń
przeznaczonych
do deratyzacji
Piwnice
Częstotliw
ość
w ciągu
roku 2014
powierzchnia do
usługi w roku
2
1 534,0
str. 4/5
2
3
4
5
6
7
8
9
10
11
12
13
14
15
16
17
18
19
20
21
22
23
24
25
26
27
28
29
30
31
32
33
34
35
36
37
1551
1551
1551
1551
1551
1551
1551
1551
1551
1551
1551
1551
1551
1551
1551
1551
1551
1551
1551
1551
1551
1551
1551
1551
1551
1551
1551
1551
1551
1551
1551
1551
1551
1551
1551
1551
2617
2617
2617
2617
2617
2617
2617
2617
2617
2617
2617
2617
2617
2617
2617
2617
2617
2617
2617
2617
2617
2617
2617
2617
2617
2617
2617
2617
2617
2617
2617
2617
2617
2617
2617
2618
Magazyn Żywnościowy
Blok wyszkolenie
Sztab
Blok koszarowy
GWŁ
PSO bud nr 2
Koszarowy bud nr 4
Koszarowy bud nr 7
Pluton alarm bud nr 8
Łaznia bud nr 10
Pralnia bud nr 11
Baza ładowania bud nr 17
Magaz smarów i opak bud nr 20
Magaz mundurowy bud nr 29
Magaz techniczny bud nr 31
Warsztaty technicz bud nr 32
Magazyn uzbrojenia bud nr 33
Klub żołner bud nr 35
SOI + izba chor bud nr 36
Hala sportowa bud nr 100
MPS bud nr 102
PSO bud nr 44
POC bud nr 111
PKT bud nr 99
Biuro przepustek bud nr 38
Garaże nr 5
Garaż nr 15
Garaż nr 16
Garaż nr 41
Garaż nr 42
Garaż nr 43
Garaż nr 44
Garaż nr 85
Garaż nr 87
Garaż nr 88
Klub 15 BWD
30
9
37
86
9
2
4
7
8
10
11
17
20
29
31
32
33
35
36
100
102
44
111
99
38
5
15
16
41
42
43
44
85
87
88
bn
Sieradz ul. Sienkiewicza 4
805,0
895,0
50,0
223,0
493,0
219,9
1 045,4
1 045,4
204,0
875,0
698,0
594,0
408,0
1 108,0
1 092,0
1 043,0
273,0
456,0
1 092,0
3 045,0
56,4
1 284,0
638,8
117,0
80,0
1 371,0
1 369,0
1 360,0
1 404,0
1 296,0
1 296,0
1 287,0
1 296,0
1 458,0
1 451,0
369,0
Razem
32 564,9
Sieradz ul. W. Polskiego
Sieradz ul. W. Polskiego
Sieradz ul. W. Polskiego
Sieradz ul. W. Polskiego
Sieradz ul. W. Polskiego
Sieradz ul. W. Polskiego
Sieradz ul. W. Polskiego
Sieradz ul. W. Polskiego
Sieradz ul. W. Polskiego
Sieradz ul. W. Polskiego
Sieradz ul. W. Polskiego
Sieradz ul. W. Polskiego
Sieradz ul. W. Polskiego
Sieradz ul. W. Polskiego
Sieradz ul. W. Polskiego
Sieradz ul. W. Polskiego
Sieradz ul. W. Polskiego
Sieradz ul. W. Polskiego
Sieradz ul. W. Polskiego
Sieradz ul. W. Polskiego
Sieradz ul. W. Polskiego
Sieradz ul. W. Polskiego
Sieradz ul. W. Polskiego
Sieradz ul. W. Polskiego
Sieradz ul. W. Polskiego
Sieradz ul. W. Polskiego
Sieradz ul. W. Polskiego
Sieradz ul. W. Polskiego
Sieradz ul. W. Polskiego
Sieradz ul. W. Polskiego
Sieradz ul. W. Polskiego
Sieradz ul. W. Polskiego
Sieradz ul. W. Polskiego
Sieradz ul. W. Polskiego
Sieradz ul. W. Polskiego
Pom. magazynowe
2
Piwnice
2
Piwnice
2
Piwnice
2
piwnice
2
Pom prod + korytarz
1
pom koszarowe
1
pom koszarowe
1
Pom sypial
1
Magaz + pom prod
1
Magaz + kotł gaz
1
Magaz + pom prod
1
Pom magazynowe
1
Pom magazynowe
1
Pom magazynowe
1
Magaz + pom prod
1
Pom magazynowe
1
Pom adm + pom socj
1
Pom adm + pom socj
1
Kotł gaz + pom magaz + pom 1piwn
Pom adm + magaz
1
Magaz + pom prod
1
Magaz + pom prod
1
Pom adm
1
Pom adm
1
Garaże samochod
1
Garaże samochod
1
Garaże samochod
1
Garaże samochod
1
Garaże samochod
1
Garaże samochod
1
Garaże samochod
1
Garaże samochod
1
Garaże samochod
1
Garaże samochod
1
Pom adm + pom socj
1
1 610,0
1 790,0
100,0
446,0
986,0
219,9
1 045,4
1 045,4
204,0
875,0
698,0
594,0
408,0
1 108,0
1 092,0
1 043,0
273,0
456,0
1 092,0
3 045,0
56,4
1 284,0
638,8
117,0
80,0
1 371,0
1 369,0
1 360,0
1 404,0
1 296,0
1 296,0
1 287,0
1 296,0
1 458,0
1 451,0
369,0
35 797,9
1) Dodatkowo istnieje konieczność wykonania usługi deratyzacji w 15 studzienkach kanalizacyjnych 1 razy w ciągu roku.
Jednostka Wojskowa 1158
str. 5/5