1 bryg. Ungier Wiesław 2 Nowe

Transkrypt

1 bryg. Ungier Wiesław 2 Nowe
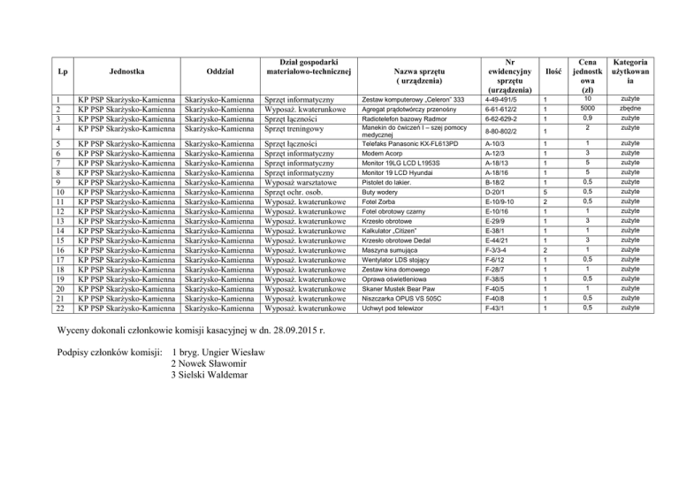
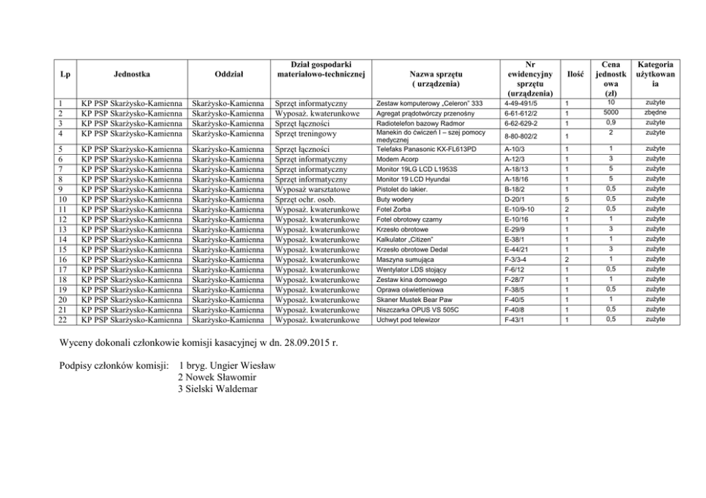
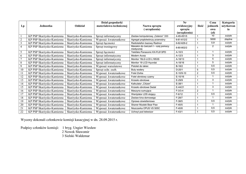
Lp
Dział gospodarki
materiałowo-technicznej
Jednostka
Oddział
1
2
3
4
KP PSP Skarżysko-Kamienna
KP PSP Skarżysko-Kamienna
KP PSP Skarżysko-Kamienna
KP PSP Skarżysko-Kamienna
Skarżysko-Kamienna
Skarżysko-Kamienna
Skarżysko-Kamienna
Skarżysko-Kamienna
Sprzęt informatyczny
Wyposaż. kwaterunkowe
Sprzęt łączności
Sprzęt treningowy
5
6
7
8
9
10
11
12
13
14
15
16
17
18
19
20
21
22
KP PSP Skarżysko-Kamienna
KP PSP Skarżysko-Kamienna
KP PSP Skarżysko-Kamienna
KP PSP Skarżysko-Kamienna
KP PSP Skarżysko-Kamienna
KP PSP Skarżysko-Kamienna
KP PSP Skarżysko-Kamienna
KP PSP Skarżysko-Kamienna
KP PSP Skarżysko-Kamienna
KP PSP Skarżysko-Kamienna
KP PSP Skarżysko-Kamienna
KP PSP Skarżysko-Kamienna
KP PSP Skarżysko-Kamienna
KP PSP Skarżysko-Kamienna
KP PSP Skarżysko-Kamienna
KP PSP Skarżysko-Kamienna
KP PSP Skarżysko-Kamienna
KP PSP Skarżysko-Kamienna
Skarżysko-Kamienna
Skarżysko-Kamienna
Skarżysko-Kamienna
Skarżysko-Kamienna
Skarżysko-Kamienna
Skarżysko-Kamienna
Skarżysko-Kamienna
Skarżysko-Kamienna
Skarżysko-Kamienna
Skarżysko-Kamienna
Skarżysko-Kamienna
Skarżysko-Kamienna
Skarżysko-Kamienna
Skarżysko-Kamienna
Skarżysko-Kamienna
Skarżysko-Kamienna
Skarżysko-Kamienna
Skarżysko-Kamienna
Sprzęt łączności
Sprzęt informatyczny
Sprzęt informatyczny
Sprzęt informatyczny
Wyposaż warsztatowe
Sprzęt ochr. osob.
Wyposaż. kwaterunkowe
Wyposaż. kwaterunkowe
Wyposaż. kwaterunkowe
Wyposaż. kwaterunkowe
Wyposaż. kwaterunkowe
Wyposaż. kwaterunkowe
Wyposaż. kwaterunkowe
Wyposaż. kwaterunkowe
Wyposaż. kwaterunkowe
Wyposaż. kwaterunkowe
Wyposaż. kwaterunkowe
Wyposaż. kwaterunkowe
Wyceny dokonali członkowie komisji kasacyjnej w dn. 28.09.2015 r.
Podpisy członków komisji:
1 bryg. Ungier Wiesław
2 Nowek Sławomir
3 Sielski Waldemar
Nazwa sprzętu
( urządzenia)
Zestaw komputerowy „Celeron” 333
Agregat prądotwórczy przenośny
Radiotelefon bazowy Radmor
Manekin do ćwiczeń I – szej pomocy
medycznej
Telefaks Panasonic KX-FL613PD
Modem Acorp
Monitor 19LG LCD L1953S
Monitor 19 LCD Hyundai
Pistolet do lakier.
Buty wodery
Fotel Zorba
Fotel obrotowy czarny
Krzesło obrotowe
Kalkulator „Citizen”
Krzesło obrotowe Dedal
Maszyna sumująca
Wentylator LDS stojący
Zestaw kina domowego
Oprawa oświetleniowa
Skaner Mustek Bear Paw
Niszczarka OPUS VS 505C
Uchwyt pod telewizor
Nr
ewidencyjny
sprzętu
(urządzenia)
Ilość
4-49-491/5
6-61-612/2
6-62-629-2
1
1
1
8-80-802/2
1
A-10/3
A-12/3
A-18/13
A-18/16
B-18/2
D-20/1
E-10/9-10
E-10/16
E-29/9
E-38/1
E-44/21
F-3/3-4
F-6/12
F-28/7
F-38/5
F-40/5
F-40/8
F-43/1
1
1
1
1
1
5
2
1
1
1
1
2
1
1
1
1
1
1
Cena
jednostk
owa
(zł)
Kategoria
użytkowan
ia
10
5000
0,9
2
zużyte
zbędne
zużyte
zużyte
1
3
5
5
0,5
0,5
0,5
1
3
1
3
1
0,5
1
0,5
1
0,5
0,5
zużyte
zużyte
zużyte
zużyte
zużyte
zużyte
zużyte
zużyte
zużyte
zużyte
zużyte
zużyte
zużyte
zużyte
zużyte
zużyte
zużyte
zużyte