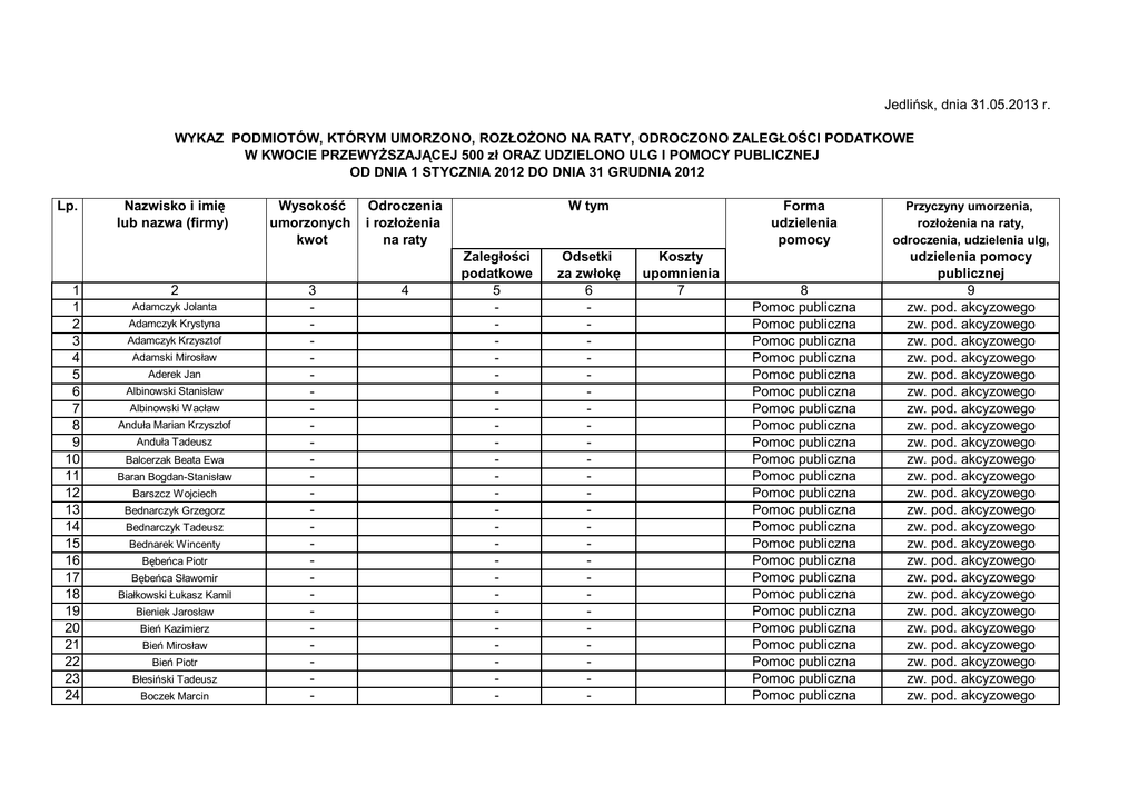
WYKAZ PODMIOTÓW, KTÓRYM UMORZONO

Transkrypt

WYKAZ PODMIOTÓW, KTÓRYM UMORZONO
Jedlińsk, dnia 31.05.2013 r.
WYKAZ PODMIOTÓW, KTÓRYM UMORZONO, ROZŁOŻONO NA RATY, ODROCZONO ZALEGŁOŚCI PODATKOWE
W KWOCIE PRZEWYŻSZAJĄCEJ 500 zł ORAZ UDZIELONO ULG I POMOCY PUBLICZNEJ
OD DNIA 1 STYCZNIA 2012 DO DNIA 31 GRUDNIA 2012
Lp.
1
1
2
3
4
5
6
7
8
9
10
11
12
13
14
15
16
17
18
19
20
21
22
23
24
Nazwisko i imię
lub nazwa (firmy)
2
Adamczyk Jolanta
Adamczyk Krystyna
Adamczyk Krzysztof
Adamski Mirosław
Aderek Jan
Albinowski Stanisław
Albinowski Wacław
Anduła Marian Krzysztof
Anduła Tadeusz
Balcerzak Beata Ewa
Baran Bogdan-Stanisław
Barszcz Wojciech
Bednarczyk Grzegorz
Bednarczyk Tadeusz
Bednarek Wincenty
Bębeńca Piotr
Bębeńca Sławomir
Białkowski Łukasz Kamil
Bieniek Jarosław
Bień Kazimierz
Bień Mirosław
Bień Piotr
Błesiński Tadeusz
Boczek Marcin
Wysokość
umorzonych
kwot
3
-
Odroczenia
i rozłożenia
na raty
4
W tym
Zaległości
podatkowe
5
-
Odsetki
za zwłokę
6
-
Koszty
upomnienia
7
Forma
udzielenia
pomocy
Przyczyny umorzenia,
rozłożenia na raty,
odroczenia, udzielenia ulg,
8
Pomoc publiczna
Pomoc publiczna
Pomoc publiczna
Pomoc publiczna
Pomoc publiczna
Pomoc publiczna
Pomoc publiczna
Pomoc publiczna
Pomoc publiczna
Pomoc publiczna
Pomoc publiczna
Pomoc publiczna
Pomoc publiczna
Pomoc publiczna
Pomoc publiczna
Pomoc publiczna
Pomoc publiczna
Pomoc publiczna
Pomoc publiczna
Pomoc publiczna
Pomoc publiczna
Pomoc publiczna
Pomoc publiczna
Pomoc publiczna
udzielenia pomocy
publicznej
9
zw. pod. akcyzowego
zw. pod. akcyzowego
zw. pod. akcyzowego
zw. pod. akcyzowego
zw. pod. akcyzowego
zw. pod. akcyzowego
zw. pod. akcyzowego
zw. pod. akcyzowego
zw. pod. akcyzowego
zw. pod. akcyzowego
zw. pod. akcyzowego
zw. pod. akcyzowego
zw. pod. akcyzowego
zw. pod. akcyzowego
zw. pod. akcyzowego
zw. pod. akcyzowego
zw. pod. akcyzowego
zw. pod. akcyzowego
zw. pod. akcyzowego
zw. pod. akcyzowego
zw. pod. akcyzowego
zw. pod. akcyzowego
zw. pod. akcyzowego
zw. pod. akcyzowego
25
26
27
28
29
30
31
32
33
34
35
36
37
38
39
40
41
42
43
44
45
46
47
48
49
50
51
52
53
54
55
56
57
58
59
60
Boczkowski Waldemar
Bogumił Jan
Bojarska Anna
Bolek Helena-Krystyna
Bolek Janusz
Bolek Józef Roman
Borkowska Teresa
Boruciński Andrzej
Broda Edward Feliks
Broda Małgorzata
Broda Stanisław
Bromińska Irena
Brudnios Paweł
Budzik Rafał
Bukowski Stanisław
Burzyński Rafał
Byzdra Katarzyna
Bzducha Robert
Centka Marian
Chmielewski Jacek
Chojnacki Eugeniusz
Chojnacki Rafał Mariusz
Chudziński Mieczysław
Cichocka Barbara
Cichocki Ernest
Cichowlas Waldemar
Cieślak Aleksandra
Cieślak Cezary
Ciężkowski Adam
Ćwiękała Jan
Dabiński Krzysztof Stefan
Dawidowska Elżbieta
Dąbrowska Mariola
Dąbrowska Zofia
Dąbrowski Andrzej
Dobosz Kazimierz
-
-
-
Pomoc publiczna
Pomoc publiczna
Pomoc publiczna
Pomoc publiczna
Pomoc publiczna
Pomoc publiczna
Pomoc publiczna
Pomoc publiczna
Pomoc publiczna
Pomoc publiczna
Pomoc publiczna
Pomoc publiczna
Pomoc publiczna
Pomoc publiczna
Pomoc publiczna
Pomoc publiczna
Pomoc publiczna
Pomoc publiczna
Pomoc publiczna
Pomoc publiczna
Pomoc publiczna
Pomoc publiczna
Pomoc publiczna
Pomoc publiczna
Pomoc publiczna
Pomoc publiczna
Pomoc publiczna
Pomoc publiczna
Pomoc publiczna
Pomoc publiczna
Pomoc publiczna
Pomoc publiczna
Pomoc publiczna
Pomoc publiczna
Pomoc publiczna
Pomoc publiczna
zw. pod. akcyzowego
zw. pod. akcyzowego
zw. pod. akcyzowego
zw. pod. akcyzowego
zw. pod. akcyzowego
zw. pod. akcyzowego
zw. pod. akcyzowego
zw. pod. akcyzowego
zw. pod. akcyzowego
zw. pod. akcyzowego
zw. pod. akcyzowego
zw. pod. akcyzowego
zw. pod. akcyzowego
zw. pod. akcyzowego
zw. pod. akcyzowego
zw. pod. akcyzowego
zw. pod. akcyzowego
zw. pod. akcyzowego
zw. pod. akcyzowego
zw. pod. akcyzowego
zw. pod. akcyzowego
zw. pod. akcyzowego
zw. pod. akcyzowego
zw. pod. akcyzowego
zw. pod. akcyzowego
zw. pod. akcyzowego
zw. pod. akcyzowego
zw. pod. akcyzowego
zw. pod. akcyzowego
zw. pod. akcyzowego
zw. pod. akcyzowego
zw. pod. akcyzowego
zw. pod. akcyzowego
zw. pod. akcyzowego
zw. pod. akcyzowego
zw. pod. akcyzowego
61
62
63
64
65
66
67
68
69
70
71
72
73
74
75
76
77
78
79
80
81
82
83
84
85
86
87
88
89
90
91
92
93
94
95
96
Dobrowolski Marek
Dobrowolski Piotr
Drabik Adam
Dróżdż Marian
Durak Teresa
Durak Wiesław
Dyziak Ewa
Fajdek Andrzej
Figura Krzysztof Robert
Fijałkowski Czesław
Fijałkowski Józef Jacek
Fijałkowski Kazimierz
Fijałkowski Maciej
Firlej Dariusz Krzysztof
Frączyk Bożena Maria
Gałkowska Elżbieta Teresa
Gierasiński Kazimierz Czesław
Głuch Łukasz Piotr
Gniadek Dorota
Gniadek Marek Antoni
Golus Paweł
Gondek Piotr
Gos Tadeusz Kazimierz
Górka Anna
Górka Józef
Górka Krystyna
Górka Wojciech
Górnik Dorota
Gruszka Michał
Gryz Czesław
Grzelak Edward
Grzelak Tadeusz
Gut Bogusław
Gutowski Tomasz
Hernik Agnieszka
Imiełowski Sławomir
-
-
-
Pomoc publiczna
Pomoc publiczna
Pomoc publiczna
Pomoc publiczna
Pomoc publiczna
Pomoc publiczna
Pomoc publiczna
Pomoc publiczna
Pomoc publiczna
Pomoc publiczna
Pomoc publiczna
Pomoc publiczna
Pomoc publiczna
Pomoc publiczna
Pomoc publiczna
Pomoc publiczna
Pomoc publiczna
Pomoc publiczna
Pomoc publiczna
Pomoc publiczna
Pomoc publiczna
Pomoc publiczna
Pomoc publiczna
Pomoc publiczna
Pomoc publiczna
Pomoc publiczna
Pomoc publiczna
Pomoc publiczna
Pomoc publiczna
Pomoc publiczna
Pomoc publiczna
Pomoc publiczna
Pomoc publiczna
Pomoc publiczna
Pomoc publiczna
Pomoc publiczna
zw. pod. akcyzowego
zw. pod. akcyzowego
zw. pod. akcyzowego
zw. pod. akcyzowego
zw. pod. akcyzowego
zw. pod. akcyzowego
zw. pod. akcyzowego
zw. pod. akcyzowego
zw. pod. akcyzowego
zw. pod. akcyzowego
zw. pod. akcyzowego
zw. pod. akcyzowego
zw. pod. akcyzowego
zw. pod. akcyzowego
zw. pod. akcyzowego
zw. pod. akcyzowego
zw. pod. akcyzowego
zw. pod. akcyzowego
zw. pod. akcyzowego
zw. pod. akcyzowego
zw. pod. akcyzowego
zw. pod. akcyzowego
zw. pod. akcyzowego
zw. pod. akcyzowego
zw. pod. akcyzowego
zw. pod. akcyzowego
zw. pod. akcyzowego
zw. pod. akcyzowego
zw. pod. akcyzowego
zw. pod. akcyzowego
zw. pod. akcyzowego
zw. pod. akcyzowego
zw. pod. akcyzowego
zw. pod. akcyzowego
zw. pod. akcyzowego
zw. pod. akcyzowego
97
98
99
100
101
102
103
104
105
106
107
108
109
110
111
112
113
114
115
116
117
118
119
120
121
122
123
124
125
126
127
128
129
130
131
132
Imiełowski Stanisław
Imiołek Grzegorz
Imiołek Jacek
Imiołek Sławomir-Krzysztof
Jagłowski Jarosław
Jakubiak Mariusz
Janiec Marek
Janus Grzegorz
Jarosiński Sebastian
Jarosiński Stanisław
Jarosz Janusz-Piotr
Jarosz Katarzyna-Iwona
Jarosz Stanisław
Jaskulski Tomasz
Jastrzębska Halina
Jastrzębski Ryszard
Jaworska Izabela
Jaworski Jan Leszek
Jaworski Robert Kazimierz
Jemiołek Anna
Jędrasiewicz Piotr
Jurczak Grzegorz
Jurczak Tomasz Dariusz
Jurzyński Zbigniew
Kacprzak Michał Stefan
Kacprzak Tomasz
Kaczmarski Sylwester
Kaczor Krzysztof
Kaczor Ryszard Szczepan
Kalbarczyk Elżbieta
Kalbarczyk Paweł
Kalbarczyk Stanisław
Kamiński Florian
Kapusta Bogdan
Kapusta Bożena
Kapusta Elżbieta
-
-
-
Pomoc publiczna
Pomoc publiczna
Pomoc publiczna
Pomoc publiczna
Pomoc publiczna
Pomoc publiczna
Pomoc publiczna
Pomoc publiczna
Pomoc publiczna
Pomoc publiczna
Pomoc publiczna
Pomoc publiczna
Pomoc publiczna
Pomoc publiczna
Pomoc publiczna
Pomoc publiczna
Pomoc publiczna
Pomoc publiczna
Pomoc publiczna
Pomoc publiczna
Pomoc publiczna
Pomoc publiczna
Pomoc publiczna
Pomoc publiczna
Pomoc publiczna
Pomoc publiczna
Pomoc publiczna
Pomoc publiczna
Pomoc publiczna
Pomoc publiczna
Pomoc publiczna
Pomoc publiczna
Pomoc publiczna
Pomoc publiczna
Pomoc publiczna
Pomoc publiczna
zw. pod. akcyzowego
zw. pod. akcyzowego
zw. pod. akcyzowego
zw. pod. akcyzowego
zw. pod. akcyzowego
zw. pod. akcyzowego
zw. pod. akcyzowego
zw. pod. akcyzowego
zw. pod. akcyzowego
zw. pod. akcyzowego
zw. pod. akcyzowego
zw. pod. akcyzowego
zw. pod. akcyzowego
zw. pod. akcyzowego
zw. pod. akcyzowego
zw. pod. akcyzowego
zw. pod. akcyzowego
zw. pod. akcyzowego
zw. pod. akcyzowego
zw. pod. akcyzowego
zw. pod. akcyzowego
zw. pod. akcyzowego
zw. pod. akcyzowego
zw. pod. akcyzowego
zw. pod. akcyzowego
zw. pod. akcyzowego
zw. pod. akcyzowego
zw. pod. akcyzowego
zw. pod. akcyzowego
zw. pod. akcyzowego
zw. pod. akcyzowego
zw. pod. akcyzowego
zw. pod. akcyzowego
zw. pod. akcyzowego
zw. pod. akcyzowego
zw. pod. akcyzowego
133
134
135
136
137
138
139
140
141
142
143
144
145
146
147
148
149
150
151
152
153
154
155
156
157
158
159
160
161
162
163
164
165
166
167
168
Kapusta Leszek
Kapusta Wojciech
Karaś Jacek Grzegorz
Karolak Ewa
Kaszuba Mirosław
Katus Józef
Klocek Barbara
Klocek Łukasz
Klocek Wiesław
Kobylarczyk Roman
Kobza Adam Kazimierz
Kobza Mirosław
Kociński Piotr Sylwester
Kociński Radosław
Kolbus Edward
Kolbus Ilona
Kolbus Teofil Marian
Kołątaj Marcin
Kołątaj Piotr
Kołłątaj Tadeusz Marian
Kołodziejczak Włodzimierz
Kołodziejczyk Dariusz
Kołodziejczyk Kazimierz
Komorowski Jan-Mieczysław
Komorowski Stanisław
Konopka Agnieszka
Konopka Jolanta Agnieszka
Kopycka Urszula Anna
Kopycki Jan Andrzej
Korzeniowski Bogusław
Korzeniowski Tadeusz
Korzeniowski Tomasz
Kosman Grażyna
Kowalczyk Alicja-Teresa
Kowalczyk Andrzej
Kowalczyk Aneta
-
-
-
Pomoc publiczna
Pomoc publiczna
Pomoc publiczna
Pomoc publiczna
Pomoc publiczna
Pomoc publiczna
Pomoc publiczna
Pomoc publiczna
Pomoc publiczna
Pomoc publiczna
Pomoc publiczna
Pomoc publiczna
Pomoc publiczna
Pomoc publiczna
Pomoc publiczna
Pomoc publiczna
Pomoc publiczna
Pomoc publiczna
Pomoc publiczna
Pomoc publiczna
Pomoc publiczna
Pomoc publiczna
Pomoc publiczna
Pomoc publiczna
Pomoc publiczna
Pomoc publiczna
Pomoc publiczna
Pomoc publiczna
Pomoc publiczna
Pomoc publiczna
Pomoc publiczna
Pomoc publiczna
Pomoc publiczna
Pomoc publiczna
Pomoc publiczna
Pomoc publiczna
zw. pod. akcyzowego
zw. pod. akcyzowego
zw. pod. akcyzowego
zw. pod. akcyzowego
zw. pod. akcyzowego
zw. pod. akcyzowego
zw. pod. akcyzowego
zw. pod. akcyzowego
zw. pod. akcyzowego
zw. pod. akcyzowego
zw. pod. akcyzowego
zw. pod. akcyzowego
zw. pod. akcyzowego
zw. pod. akcyzowego
zw. pod. akcyzowego
zw. pod. akcyzowego
zw. pod. akcyzowego
zw. pod. akcyzowego
zw. pod. akcyzowego
zw. pod. akcyzowego
zw. pod. akcyzowego
zw. pod. akcyzowego
zw. pod. akcyzowego
zw. pod. akcyzowego
zw. pod. akcyzowego
zw. pod. akcyzowego
zw. pod. akcyzowego
zw. pod. akcyzowego
zw. pod. akcyzowego
zw. pod. akcyzowego
zw. pod. akcyzowego
zw. pod. akcyzowego
zw. pod. akcyzowego
zw. pod. akcyzowego
zw. pod. akcyzowego
zw. pod. akcyzowego
169
170
171
172
173
174
175
176
177
178
179
180
181
182
183
184
185
186
187
188
189
190
191
192
193
194
195
196
197
198
199
200
201
202
203
204
Kowalczyk Arkadiusz
Kowalczyk Jerzy
Kowalczyk Lidia
Kowalczyk Stanisław
Kowalik Błażej Piotr
Kozdra Jacek
Kozłoska Danuta
Kozłowska Małgorzata
Kozłowski Józef-Dariusz
Krawczyk Krystyna
Królikowska Krystyna Czesława
Kruk Franciszek
Kruk Maria Bogusława
Krupa Bożena
Krupa Jan
Krześniak Edyta
Kucharczyk Adam
Kucharczyk Andrzej
Kucharczyk Artur
Kucharczyk Paweł
Kucharczyk Piotr
Kupis Ewa
Kurek Janusz
Kurek Justyna
Kwatek Alicja Teresa
Kwiatkowski Jan
Kwiecień Jan
Kwiecień Kazimierz
Kwiecień Łukasz
Kwiecień Mariusz
Kwiecień Zbigniew
Lewikowska Bożena
Lewińska Barbara
Lewiński Grzegorz
Lipiec Kazimierz Tadeusz
Lipiec Stanisław
-
-
-
Pomoc publiczna
Pomoc publiczna
Pomoc publiczna
Pomoc publiczna
Pomoc publiczna
Pomoc publiczna
Pomoc publiczna
Pomoc publiczna
Pomoc publiczna
Pomoc publiczna
Pomoc publiczna
Pomoc publiczna
Pomoc publiczna
Pomoc publiczna
Pomoc publiczna
Pomoc publiczna
Pomoc publiczna
Pomoc publiczna
Pomoc publiczna
Pomoc publiczna
Pomoc publiczna
Pomoc publiczna
Pomoc publiczna
Pomoc publiczna
Pomoc publiczna
Pomoc publiczna
Pomoc publiczna
Pomoc publiczna
Pomoc publiczna
Pomoc publiczna
Pomoc publiczna
Pomoc publiczna
Pomoc publiczna
Pomoc publiczna
Pomoc publiczna
Pomoc publiczna
zw. pod. akcyzowego
zw. pod. akcyzowego
zw. pod. akcyzowego
zw. pod. akcyzowego
zw. pod. akcyzowego
zw. pod. akcyzowego
zw. pod. akcyzowego
zw. pod. akcyzowego
zw. pod. akcyzowego
zw. pod. akcyzowego
zw. pod. akcyzowego
zw. pod. akcyzowego
zw. pod. akcyzowego
zw. pod. akcyzowego
zw. pod. akcyzowego
zw. pod. akcyzowego
zw. pod. akcyzowego
zw. pod. akcyzowego
zw. pod. akcyzowego
zw. pod. akcyzowego
zw. pod. akcyzowego
zw. pod. akcyzowego
zw. pod. akcyzowego
zw. pod. akcyzowego
zw. pod. akcyzowego
zw. pod. akcyzowego
zw. pod. akcyzowego
zw. pod. akcyzowego
zw. pod. akcyzowego
zw. pod. akcyzowego
zw. pod. akcyzowego
zw. pod. akcyzowego
zw. pod. akcyzowego
zw. pod. akcyzowego
zw. pod. akcyzowego
zw. pod. akcyzowego
205
206
207
208
209
210
211
212
213
214
215
216
217
218
219
220
221
222
223
224
225
226
227
228
229
230
231
232
233
234
235
236
237
238
239
240
Lutek Krzysztof
Lutek Waldemar
Łoboda Elżbieta
Łochowska Marta
Maj Andrzej
Maj Grzegorz
Maj Kazimierz
Maj Marcin
Maj Marianna
Maj Tomasz Wojciech
Maj-Imiołek Anna
Majak Stanisław
Majewski Sławomir
Malinowska Bożena
Malinowski Jacek
Malinowski Karol
Malinowski Marek
Malinowski Mariusz
Malinowski Michał
Malinowski Sylwester
Malinowski Władysław
Małek Grzegorz
Małek Kazimierz
Marciniak Jan Kazimierz
Marczak Lucyna-Grażyna
Markiewicz Gabriela
Markiewicz Jolanta
Marszałkiewicz Jan-Adam
Marzec Łukasz Tomasz
Marzec Urszula
Marzec Wiesław
Masiarz Szymon Adam
Matysiak Grzegorz
Matysiak Zdzisław
Michalak Justyna
Michalec Florian Władysław
-
-
-
Pomoc publiczna
Pomoc publiczna
Pomoc publiczna
Pomoc publiczna
Pomoc publiczna
Pomoc publiczna
Pomoc publiczna
Pomoc publiczna
Pomoc publiczna
Pomoc publiczna
Pomoc publiczna
Pomoc publiczna
Pomoc publiczna
Pomoc publiczna
Pomoc publiczna
Pomoc publiczna
Pomoc publiczna
Pomoc publiczna
Pomoc publiczna
Pomoc publiczna
Pomoc publiczna
Pomoc publiczna
Pomoc publiczna
Pomoc publiczna
Pomoc publiczna
Pomoc publiczna
Pomoc publiczna
Pomoc publiczna
Pomoc publiczna
Pomoc publiczna
Pomoc publiczna
Pomoc publiczna
Pomoc publiczna
Pomoc publiczna
Pomoc publiczna
Pomoc publiczna
zw. pod. akcyzowego
zw. pod. akcyzowego
zw. pod. akcyzowego
zw. pod. akcyzowego
zw. pod. akcyzowego
zw. pod. akcyzowego
zw. pod. akcyzowego
zw. pod. akcyzowego
zw. pod. akcyzowego
zw. pod. akcyzowego
zw. pod. akcyzowego
zw. pod. akcyzowego
zw. pod. akcyzowego
zw. pod. akcyzowego
zw. pod. akcyzowego
zw. pod. akcyzowego
zw. pod. akcyzowego
zw. pod. akcyzowego
zw. pod. akcyzowego
zw. pod. akcyzowego
zw. pod. akcyzowego
zw. pod. akcyzowego
zw. pod. akcyzowego
zw. pod. akcyzowego
zw. pod. akcyzowego
zw. pod. akcyzowego
zw. pod. akcyzowego
zw. pod. akcyzowego
zw. pod. akcyzowego
zw. pod. akcyzowego
zw. pod. akcyzowego
zw. pod. akcyzowego
zw. pod. akcyzowego
zw. pod. akcyzowego
zw. pod. akcyzowego
zw. pod. akcyzowego
241
242
243
244
245
246
247
248
249
250
251
252
253
254
255
256
257
258
259
260
261
262
263
264
265
266
267
268
269
270
271
272
273
274
275
276
Michalski Jacek
Mika Tadeusz
Mirosz Danuta
Mnich Łukasz
Molenda Jerzy
Morawski Franciszek
Mortka Jadwiga
Muc Gabriela
Mularski Krzysztof
Niedziałek Waldemar
Nogalski Wiesław-Henryk
Nowakowska Małgorzata
Nowakowski Marek
Nowiński Marian
Nowocień Magdalena
Ofiara Barbara Zofia
Ofiara Grzegorz
Ofiara Marcin
Ofiara Mirosław
Ofiara Paweł
Ofiara Walenty
Ofiara Zdzisław
Okleja Jolanta
Okleja Piotr-Paweł
Okrój Bożena
Okruta Aneta
Okruta Wojciech Andrzej
Opałka Marcin Wojciech
Owczarek Izabela
Pacała Jan
Pacyna Adam
Paluch Eugeniusz Franciszek
Paluch Grzegorz
Paluch Katarzyna
Partyga Zbigniew
Pękala Małgorzata
-
-
-
Pomoc publiczna
Pomoc publiczna
Pomoc publiczna
Pomoc publiczna
Pomoc publiczna
Pomoc publiczna
Pomoc publiczna
Pomoc publiczna
Pomoc publiczna
Pomoc publiczna
Pomoc publiczna
Pomoc publiczna
Pomoc publiczna
Pomoc publiczna
Pomoc publiczna
Pomoc publiczna
Pomoc publiczna
Pomoc publiczna
Pomoc publiczna
Pomoc publiczna
Pomoc publiczna
Pomoc publiczna
Pomoc publiczna
Pomoc publiczna
Pomoc publiczna
Pomoc publiczna
Pomoc publiczna
Pomoc publiczna
Pomoc publiczna
Pomoc publiczna
Pomoc publiczna
Pomoc publiczna
Pomoc publiczna
Pomoc publiczna
Pomoc publiczna
Pomoc publiczna
zw. pod. akcyzowego
zw. pod. akcyzowego
zw. pod. akcyzowego
zw. pod. akcyzowego
zw. pod. akcyzowego
zw. pod. akcyzowego
zw. pod. akcyzowego
zw. pod. akcyzowego
zw. pod. akcyzowego
zw. pod. akcyzowego
zw. pod. akcyzowego
zw. pod. akcyzowego
zw. pod. akcyzowego
zw. pod. akcyzowego
zw. pod. akcyzowego
zw. pod. akcyzowego
zw. pod. akcyzowego
zw. pod. akcyzowego
zw. pod. akcyzowego
zw. pod. akcyzowego
zw. pod. akcyzowego
zw. pod. akcyzowego
zw. pod. akcyzowego
zw. pod. akcyzowego
zw. pod. akcyzowego
zw. pod. akcyzowego
zw. pod. akcyzowego
zw. pod. akcyzowego
zw. pod. akcyzowego
zw. pod. akcyzowego
zw. pod. akcyzowego
zw. pod. akcyzowego
zw. pod. akcyzowego
zw. pod. akcyzowego
zw. pod. akcyzowego
zw. pod. akcyzowego
277
278
279
280
281
282
283
284
285
286
287
288
289
290
291
292
293
294
295
296
297
298
299
300
301
302
303
304
305
306
307
308
309
310
311
312
Piątkowski Eugeniusz
Piotrowska Sylwia
Piskórz Kazimierz Stanisław
Piwoński Andrzej
Piwoński Maciej
Piwowarczyk Andrzej
Piwowarczyk Beata
Piwowarczyk Henryk
Piwowarczyk Mariusz
Piwowarczyk Sławomir-Wiktor
Piwowarczyk Stefan
Pomarańska Czesława
Popiel Karol
Popiel Stanisław Wiesław
Popławski Mariusz
Pośnik Anna Irena
Pośnik Dominik
Potera Ireneusz
Potera Karol
Potrzebowski Jan
Prasek Maria-Elżbieta
Prasek Wiesław
Prażnowski Radosław
Prus Agnieszka
Prusiński Jerzy
Przytuła Stanisław-Zygmunt
Przytuła Tadeusz
Puk Adam
Puk Wojciech Krzysztof
Pysiak Krystyna Małgorzata
Radecki Kazimierz
Rdzanek Sławomir
Rektus Sylwester
Rędzia Robert Piotr
Rędzia Sławomir Tomasz
Romanowska Agnieszka
-
-
-
Pomoc publiczna
Pomoc publiczna
Pomoc publiczna
Pomoc publiczna
Pomoc publiczna
Pomoc publiczna
Pomoc publiczna
Pomoc publiczna
Pomoc publiczna
Pomoc publiczna
Pomoc publiczna
Pomoc publiczna
Pomoc publiczna
Pomoc publiczna
Pomoc publiczna
Pomoc publiczna
Pomoc publiczna
Pomoc publiczna
Pomoc publiczna
Pomoc publiczna
Pomoc publiczna
Pomoc publiczna
Pomoc publiczna
Pomoc publiczna
Pomoc publiczna
Pomoc publiczna
Pomoc publiczna
Pomoc publiczna
Pomoc publiczna
Pomoc publiczna
Pomoc publiczna
Pomoc publiczna
Pomoc publiczna
Pomoc publiczna
Pomoc publiczna
Pomoc publiczna
zw. pod. akcyzowego
zw. pod. akcyzowego
zw. pod. akcyzowego
zw. pod. akcyzowego
zw. pod. akcyzowego
zw. pod. akcyzowego
zw. pod. akcyzowego
zw. pod. akcyzowego
zw. pod. akcyzowego
zw. pod. akcyzowego
zw. pod. akcyzowego
zw. pod. akcyzowego
zw. pod. akcyzowego
zw. pod. akcyzowego
zw. pod. akcyzowego
zw. pod. akcyzowego
zw. pod. akcyzowego
zw. pod. akcyzowego
zw. pod. akcyzowego
zw. pod. akcyzowego
zw. pod. akcyzowego
zw. pod. akcyzowego
zw. pod. akcyzowego
zw. pod. akcyzowego
zw. pod. akcyzowego
zw. pod. akcyzowego
zw. pod. akcyzowego
zw. pod. akcyzowego
zw. pod. akcyzowego
zw. pod. akcyzowego
zw. pod. akcyzowego
zw. pod. akcyzowego
zw. pod. akcyzowego
zw. pod. akcyzowego
zw. pod. akcyzowego
zw. pod. akcyzowego
313
314
315
316
317
318
319
320
321
322
323
324
325
326
327
328
329
330
331
332
333
334
335
336
337
338
339
340
341
342
343
344
345
346
347
348
Romanowska Teresa
Romanowski Grzegorz
Romanowski Jan
Romanowski Stanisław
Romanowski Zdzisław
Romanowski Zdzisław
Rudecka Teresa
Rudecka Urszula Maria
Rudecki Jacek
Rudecki Lech
Rus Sylwester
Rusek Adam Tomasz
Rylska Iwona Małgorzata
Sadowski Michał
Sałkiewicz Adam
Sałkiewicz Jacek
Sambor Marek Zbigniew
Sawicka Iwona
Sikora Piotr
Simlat Joanna
Simlat Marcin
Simlat Mirosław
Skałbania Edyta
Skowron Janusz
Skurosz Jan
Słomka Józef
Słotwińska Anna
Smyrda Andrzej
Sobień Marian
Sobuta Iwona Małgorzata
Sołtys Jan
Sosnowska Agnieszka
Sowiński Bolesław
Stachurski Leszek-Antoni
Staniak Sławomir
Starzyk Janusz
-
-
-
Pomoc publiczna
Pomoc publiczna
Pomoc publiczna
Pomoc publiczna
Pomoc publiczna
Pomoc publiczna
Pomoc publiczna
Pomoc publiczna
Pomoc publiczna
Pomoc publiczna
Pomoc publiczna
Pomoc publiczna
Pomoc publiczna
Pomoc publiczna
Pomoc publiczna
Pomoc publiczna
Pomoc publiczna
Pomoc publiczna
Pomoc publiczna
Pomoc publiczna
Pomoc publiczna
Pomoc publiczna
Pomoc publiczna
Pomoc publiczna
Pomoc publiczna
Pomoc publiczna
Pomoc publiczna
Pomoc publiczna
Pomoc publiczna
Pomoc publiczna
Pomoc publiczna
Pomoc publiczna
Pomoc publiczna
Pomoc publiczna
Pomoc publiczna
Pomoc publiczna
zw. pod. akcyzowego
zw. pod. akcyzowego
zw. pod. akcyzowego
zw. pod. akcyzowego
zw. pod. akcyzowego
zw. pod. akcyzowego
zw. pod. akcyzowego
zw. pod. akcyzowego
zw. pod. akcyzowego
zw. pod. akcyzowego
zw. pod. akcyzowego
zw. pod. akcyzowego
zw. pod. akcyzowego
zw. pod. akcyzowego
zw. pod. akcyzowego
zw. pod. akcyzowego
zw. pod. akcyzowego
zw. pod. akcyzowego
zw. pod. akcyzowego
zw. pod. akcyzowego
zw. pod. akcyzowego
zw. pod. akcyzowego
zw. pod. akcyzowego
zw. pod. akcyzowego
zw. pod. akcyzowego
zw. pod. akcyzowego
zw. pod. akcyzowego
zw. pod. akcyzowego
zw. pod. akcyzowego
zw. pod. akcyzowego
zw. pod. akcyzowego
zw. pod. akcyzowego
zw. pod. akcyzowego
zw. pod. akcyzowego
zw. pod. akcyzowego
zw. pod. akcyzowego
349
350
351
352
353
354
355
356
357
358
359
360
361
362
363
364
365
366
367
368
369
370
371
372
373
374
375
376
377
378
379
380
381
382
383
384
Starzyńska Marianna
Stelmach Jadwiga
Strzelczyk Agnieszka
Strzelczyk Alina-Marianna
Sułek Piotr Marian
Sułkowski Stanisław
Sumiński Rafał
Syta Justyna
Szatan Sławomir-Wojciech
Szczęsna Monika
Szewczyk Zbigniew Józef
Szot Bogusława
Szubiński Adam
Szymańska Grażyna
Szymańska Halina Barbara
Szymańska Małgorzata
Szymański Grzegorz Witold
Szymański Kazimierz
Szymański Kazimierz
Szymański Marek Kazimierz
Szymczak Andrzej
Szymczak Grzegorz
Szymczak Mirosław
Szymczak Tomasz
Szymczyk Jan
Śmielak Marcin
Śpiewak Anna
Śpiewakowski Artur
Śpiewakowski Zygmunt
Świąder Paweł Ireneusz
Świątkowski Adam
Świerczyńska Agnieszka-Barbara
Świerczyński Marian
Świerczyński Tadeusz
Świniarska Teresa
Świniarski Łukasz
-
-
-
Pomoc publiczna
Pomoc publiczna
Pomoc publiczna
Pomoc publiczna
Pomoc publiczna
Pomoc publiczna
Pomoc publiczna
Pomoc publiczna
Pomoc publiczna
Pomoc publiczna
Pomoc publiczna
Pomoc publiczna
Pomoc publiczna
Pomoc publiczna
Pomoc publiczna
Pomoc publiczna
Pomoc publiczna
Pomoc publiczna
Pomoc publiczna
Pomoc publiczna
Pomoc publiczna
Pomoc publiczna
Pomoc publiczna
Pomoc publiczna
Pomoc publiczna
Pomoc publiczna
Pomoc publiczna
Pomoc publiczna
Pomoc publiczna
Pomoc publiczna
Pomoc publiczna
Pomoc publiczna
Pomoc publiczna
Pomoc publiczna
Pomoc publiczna
Pomoc publiczna
zw. pod. akcyzowego
zw. pod. akcyzowego
zw. pod. akcyzowego
zw. pod. akcyzowego
zw. pod. akcyzowego
zw. pod. akcyzowego
zw. pod. akcyzowego
zw. pod. akcyzowego
zw. pod. akcyzowego
zw. pod. akcyzowego
zw. pod. akcyzowego
zw. pod. akcyzowego
zw. pod. akcyzowego
zw. pod. akcyzowego
zw. pod. akcyzowego
zw. pod. akcyzowego
zw. pod. akcyzowego
zw. pod. akcyzowego
zw. pod. akcyzowego
zw. pod. akcyzowego
zw. pod. akcyzowego
zw. pod. akcyzowego
zw. pod. akcyzowego
zw. pod. akcyzowego
zw. pod. akcyzowego
zw. pod. akcyzowego
zw. pod. akcyzowego
zw. pod. akcyzowego
zw. pod. akcyzowego
zw. pod. akcyzowego
zw. pod. akcyzowego
zw. pod. akcyzowego
zw. pod. akcyzowego
zw. pod. akcyzowego
zw. pod. akcyzowego
zw. pod. akcyzowego
385
386
387
388
389
390
391
392
393
394
395
396
397
398
399
400
401
402
403
404
405
406
407
408
409
410
411
412
413
414
415
416
417
418
419
420
Świniarski Marian-Tomasz
Świniarski Zbigniew Franciszek
Śwircz Krzysztof Marek
Taborek Henryk
Tatar Janusz
Tatar Karol
Tchórzewski Stanisław
Tkaczyk Benedykt Jarosław
Tkaczyk Małgorzata
Tkaczyk Renata
Traczewski Krzysztof
Trojan Bogusław
Trojan Marta Helena
Trojanowski Krzysztof Mikołaj
Ulman Marek
Urwalska Zofia
Walczak Eugeniusz Stanisław
Walczak Ewa
Walczak Irena
Walczak Irena
Walczak Krzysztof
Walczak Mirosław
Walczak Stanisław
Walczak Stanisław
Walczak Szymon
Wasiak Jarosław Jan
Wasil Tomasz
Wąsik Józef
Wąsik Szymon
Wąsowicz Zygmunt
Wesołowski Wojciech
Wieczerzyński Andrzej Leszek
Wieczorek Czesław
Wieteska Józef
Wieteska Krzysztof
Wieteska Robert
-
-
-
Pomoc publiczna
Pomoc publiczna
Pomoc publiczna
Pomoc publiczna
Pomoc publiczna
Pomoc publiczna
Pomoc publiczna
Pomoc publiczna
Pomoc publiczna
Pomoc publiczna
Pomoc publiczna
Pomoc publiczna
Pomoc publiczna
Pomoc publiczna
Pomoc publiczna
Pomoc publiczna
Pomoc publiczna
Pomoc publiczna
Pomoc publiczna
Pomoc publiczna
Pomoc publiczna
Pomoc publiczna
Pomoc publiczna
Pomoc publiczna
Pomoc publiczna
Pomoc publiczna
Pomoc publiczna
Pomoc publiczna
Pomoc publiczna
Pomoc publiczna
Pomoc publiczna
Pomoc publiczna
Pomoc publiczna
Pomoc publiczna
Pomoc publiczna
Pomoc publiczna
zw. pod. akcyzowego
zw. pod. akcyzowego
zw. pod. akcyzowego
zw. pod. akcyzowego
zw. pod. akcyzowego
zw. pod. akcyzowego
zw. pod. akcyzowego
zw. pod. akcyzowego
zw. pod. akcyzowego
zw. pod. akcyzowego
zw. pod. akcyzowego
zw. pod. akcyzowego
zw. pod. akcyzowego
zw. pod. akcyzowego
zw. pod. akcyzowego
zw. pod. akcyzowego
zw. pod. akcyzowego
zw. pod. akcyzowego
zw. pod. akcyzowego
zw. pod. akcyzowego
zw. pod. akcyzowego
zw. pod. akcyzowego
zw. pod. akcyzowego
zw. pod. akcyzowego
zw. pod. akcyzowego
zw. pod. akcyzowego
zw. pod. akcyzowego
zw. pod. akcyzowego
zw. pod. akcyzowego
zw. pod. akcyzowego
zw. pod. akcyzowego
zw. pod. akcyzowego
zw. pod. akcyzowego
zw. pod. akcyzowego
zw. pod. akcyzowego
zw. pod. akcyzowego
421
422
423
424
425
426
427
428
429
430
431
432
433
434
435
436
437
438
439
440
441
442
443
444
445
446
447
448
449
450
451
452
453
Wieteska Zbyszek
Wilkowska Bernadeta
Włodarczyk Aleksander
Włodarczyk Andrzej
Włodarczyk Julian Antoni
Wojtal Barbara
Wolak Kazimierz
Woźniak Lidia
Woźniak Mirosław
Wójcicki Michał
Wójcik Dariusz
Wójcik Mirosław Michał
Wójcik Ryszard
Wójcik Stanisław Julian
Wójcik Stanisław Julian
Wójcik Sylwester Tomasz
Wrzosek Monika
Zakrzewska Danuta
Zalewski Franciszek
Zaremba Jolanta-Jadwiga
Zawadzka Barbara
Zdral Bogumił Wiktor
Zegarek Kamil
Zegarek Konrad
Ziemiński Błażej
Ziółek Eugeniusz
Ziółek Jarosław
Żarłok Jan
Żarłok Rafał
Żarłok Robert
Żyła Krzysztof
UMORZENIA
Zakład Masarski "Sadełko" Czapla,
Świniarski Sp.Jawna
Hernik Anna "AGA Trans"
11854,00
-
-
-
11854,00
-
-
Pomoc publiczna
Pomoc publiczna
Pomoc publiczna
Pomoc publiczna
Pomoc publiczna
Pomoc publiczna
Pomoc publiczna
Pomoc publiczna
Pomoc publiczna
Pomoc publiczna
Pomoc publiczna
Pomoc publiczna
Pomoc publiczna
Pomoc publiczna
Pomoc publiczna
Pomoc publiczna
Pomoc publiczna
Pomoc publiczna
Pomoc publiczna
Pomoc publiczna
Pomoc publiczna
Pomoc publiczna
Pomoc publiczna
Pomoc publiczna
Pomoc publiczna
Pomoc publiczna
Pomoc publiczna
Pomoc publiczna
Pomoc publiczna
Pomoc publiczna
Pomoc publiczna
zw. pod. akcyzowego
zw. pod. akcyzowego
zw. pod. akcyzowego
zw. pod. akcyzowego
zw. pod. akcyzowego
zw. pod. akcyzowego
zw. pod. akcyzowego
zw. pod. akcyzowego
zw. pod. akcyzowego
zw. pod. akcyzowego
zw. pod. Akcyzowego
zw. pod. Akcyzowego
zw. pod. Akcyzowego
zw. pod. Akcyzowego
zw. pod. Akcyzowego
zw. pod. Akcyzowego
zw. pod. Akcyzowego
zw. pod. Akcyzowego
zw. pod. Akcyzowego
zw. pod. Akcyzowego
zw. pod. Akcyzowego
zw. pod. Akcyzowego
zw. pod. Akcyzowego
zw. pod. Akcyzowego
zw. pod. Akcyzowego
zw. pod. Akcyzowego
zw. pod. Akcyzowego
zw. pod. Akcyzowego
zw. pod. Akcyzowego
zw. pod. Akcyzowego
zw. pod. Akcyzowego
Pomoc publiczna
Uchwała Rady Gminy Nr XX/42/2007
Pomoc publiczna
Uchwała Rady Gminy Nr XX/42/2007
454
455
456
457
458
459
460
461
462
463
464
465
466
467
468
469
470
471
472
473
474
475
476
477
478
479
480
481
482
483
484
485
486
487
PRODPAL Sp z o.o.
Kowalczyk Janusz
OSP Wielogóra
OSP Jedlińsk
OSP Bierwce
OSP Wsola
OSP Jankowice
OSP Nowe Zawady
DPS w Jedlance
ZGK Jedlińsk
Polski Związek Łowiecki
Banasiak Małgorzata i Jan
Bartosiak Alicja
Błesińscy Aneta i Radosław
Borowska Mirosława
Dorocińscy Barbara i Robert
Dryja Kazimierz
Glibowski Sławomir
Gryz Ewa
Grzegorzewscy Halina i Piotr
Jakubiak Anna i Mariusz
Jędrasiewicz Piotr
Jurczak Renata i Marek
Kalbarczyk Iwona
Kalbarczyk Teresa i Wiesław
Kaniewscy Genowefa i Leszek
Karaś Marek
Łobodzin Małgorzata
Milczarska Elwira i Cezary
Musiałek Czesław
Nowak Grzegorz
Okruta Krzysztof
Rodak Barbara i Jan
Romanowski Marian, Romanowski
Krzysztof
7654,00
3088,00
882,00
2051,48
1093,00
2284,00
2572,00
31007,00
32649,00
687,90
1031,00
768,00
840,00
4112,00
922,00
522,00
501,00
1044,00
1705,00
2454,00
724,00
2256,00
1193,00
742,00
765,00
861,00
689,00
526,00
1362,00
677,00
750,00
1010,00
-
25960,00
1068,00
7654,00
3088,00
882,00
2051,48
1093,00
2284,00
2572,00
27277,00
32649,00
687,90
1031,00
737,00
806,00
4057,00
922,00
522,00
501,00
1027,00
1619,00
2397,00
724,00
1925,00
1057,00
742,00
765,00
861,00
689,00
526,00
1336,00
677,00
750,00
1010,00
531,00
433,00
33,00
165,00
57,00
150,00
3730,00
31,00
34,00
55,00
17,00
86,00
57,00
331,00
136,00
26,00
Pomoc publiczna
Uchwała Rady Gminy Nr XX/42/2007
Pomoc publiczna
umorzenie
umorzenie
umorzenie
umorzenie
umorzenie
umorzenie
umorzenie
umorzenie
umorzenie
umorzenie
umorzenie
umorzenie, odroczenie
umorzenie
umorzenie
umorzenie
umorzenie
umorzenie
umorzenie
umorzenie
umorzenie
umorzenie
umorzenie
umorzenie
umorzenie
umorzenie
umorzenie
umorzenie
umorzenie
umorzenie
umorzenie
umorzenie
Zwolnienie - ZPCH
Ważny interes podatnika
Ważny interes podatnika
Ważny interes podatnika
Ważny interes podatnika
Ważny interes podatnika
Ważny interes podatnika
Ważny interes podatnika
Ważny interes podatnika
Zmiana klasyfikacji gruntów
Trudna sytuacja finansowa
Trudna sytuacja finansowa
Trudna sytuacja finansowa
Trudna sytuacja finansowa
Trudna sytuacja finansowa
Trudna sytuacja finansowa
Trudna sytuacja finansowa
Trudna sytuacja finansowa
Zły stan zdrowia
Trudna sytuacja finansowa
Trudna sytuacja finansowa
Trudna sytuacja finansowa
Trudna sytuacja finansowa
Trudna sytuacja finansowa
Trudna sytuacja finansowa
Trudna sytuacja finansowa
Trudna sytuacja finansowa
Trudna sytuacja finansowa
Trudna sytuacja finansowa
Trudna sytuacja finansowa
Trudna sytuacja finansowa
Trudna sytuacja finansowa
umorzenie
Trudna sytuacja finansowa
488
489
490
491
492
493
494
Staniak Alina
Strzelecka Jolanta
Śwircz Krzysztof
Trzaskowska Zofia
Wicher Krystyna
Wiśniewski Dariusz
Wójtowicz Katarzyna
1342,00
606,00
763,00
589,00
3273,00
574,00
710,00
926,00
1096,00
577,00
763,00
589,00
3273,00
574,00
710,00
246,00
29,00
umorzenie
Trudna sytuacja finansowa
Trudna sytuacja finansowa
Trudna sytuacja finansowa
Trudna sytuacja finansowa
Trudna sytuacja finansowa
Trudna sytuacja finansowa
Trudna sytuacja finansowa
odroczenie
odroczenie
odroczenie
odroczenie
odroczenie
odroczenie
odroczenie
odroczenie
odroczenie
odroczenie
odroczenie
odroczenie
odroczenie
odroczenie
odroczenie
odroczenie
odroczenie
odroczenie
Zmiana klasyfikacji gruntów
Zmiana klasyfikacji gruntów
Trudna sytuacja finansowa
Zmiana klasyfikacji gruntów
Trudna sytuacja finansowa
Zmiana klasyfikacji gruntów
Zmiana klasyfikacji gruntów
Zmiana klasyfikacji gruntów
Zmiana klasyfikacji gruntów
Zmiana klasyfikacji gruntów
Zmiana klasyfikacji gruntów
Zmiana klasyfikacji gruntów
Trudna sytuacja finansowa
Trudna sytuacja finansowa
Zmiana klasyfikacji gruntów
Zmiana klasyfikacji gruntów
Zmiana klasyfikacji gruntów
Zmiana klasyfikacji gruntów
rozłożenie na raty
rozłożenie na raty
rozłożenie na raty
rozłożenie na raty
rozłożenie na raty
rozłożenie na raty
rozłożenie na raty
rozłożenie na raty
rozłożenie na raty
Trudna sytuacja finansowa
Trudna sytuacja finansowa
Trudna sytuacja finansowa
Trudna sytuacja finansowa
Trudna sytuacja finansowa
Trudna sytuacja finansowa
Trudna sytuacja finansowa
Trudna sytuacja finansowa
Trudna sytuacja finansowa
umorzenie
umorzenie
umorzenie
umorzenie
umorzenie
13,00
umorzenie, rozłożenie na raty
ODROCZENIA
495
496
497
498
499
500
501
502
503
504
505
506
507
508
509
510
511
512
Dawidowska Danuta
Gołębiowski Dariusz
Jeromin Ewa
Jurczak Joanna
Kaniewska Genowefa
Klocek Michał
Kowalczyk Aneta i Mariusz
Michałowska Barbara
Miechowska Agata
Nowakowscy Teresa i Sławomir
Piwowar Marcin
Sałaciński Dariusz
Siekański Ireneusz
Stasieńko Elżbieta i Zbigniew
Taborek Henryk
Wojciechowski Mirosław
Załęska Krystyna
Zielińscy Renata i Mariusz
637,00
705,00
2576,00
693,00
525,00
584,00
894,00
693,00
748,00
548,00
3324,00
524,00
13028,80
12298,60
934,00
521,00
608,00
1627,00
637,00
705,00
2576,00
679,00
525,00
584,00
894,00
671,00
748,00
548,00
3324,00
524,00
12691,00
11919,80
934,00
521,00
608,00
1627,00
515,00
834,00
833,00
834,00
834,00
619,00
563,00
903,00
982,00
515,00
834,00
833,00
834,00
834,00
619,00
563,00
903,00
982,00
14,00
22,00
329,00
370,00
8,80
8,80
ROZŁOŻENIA NA RATY
513
514
515
516
517
518
519
520
521
Bartkiewicz Halina
Fituch Andrzej
Fituch Barbara
Fituch Marek
Fituch Sławomir
Kalbarczyk Anna
Koselska Grażyna
Krzosek Zbigniew
Łochowska Teresa
522
523
524
525
526
527
528
Podkańska Marta
Romanowska Agnieszka
Stażyńscy Edyta i Radosław
Stus Marzena
Szymczak Tomasz
Zagożdżon Jolanta
Zwęglińska Elżbieta
1209,80
820,00
975,00
940,80
551,00
530,00
535,00
1170,00
820,00
975,00
875,00
551,00
530,00
535,00
31,00
8,80
57,00
8,80
rozłożenie na raty
rozłożenie na raty
rozłożenie na raty
rozłożenie na raty
rozłożenie na raty
rozłożenie na raty
rozłożenie na raty
Zmiana klasyfikacji gruntów
Trudna sytuacja finansowa
Zmiana klasyfikacji gruntów
Zmiana klasyfikacji gruntów
Trudna sytuacja finansowa
Trudna sytuacja finansowa
Trudna sytuacja finansowa