nota odsetkowa

Transkrypt

nota odsetkowa
Wyczyść
Drukuj dokument
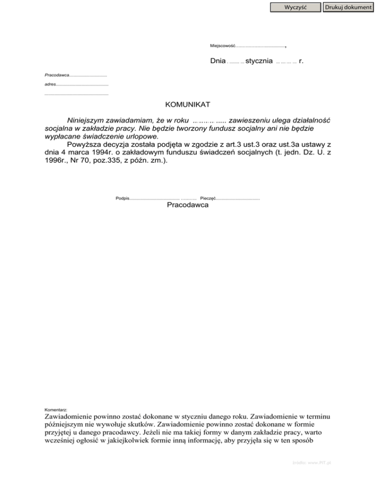
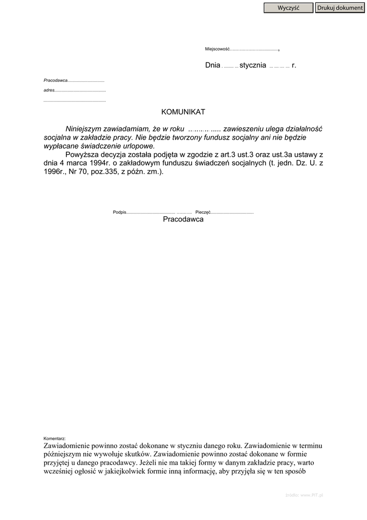
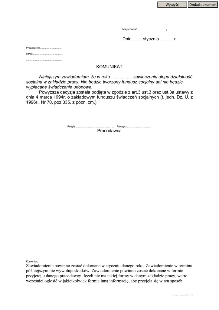
,
Miejscowość…………………...............
Dnia .............. stycznia
...........…..
r.
Pracodawca...............................
adres...........................................
....................................................
KOMUNIKAT
Niniejszym zawiadamiam, że w roku ................ zawieszeniu ulega działalność
socjalna w zakładzie pracy. Nie będzie tworzony fundusz socjalny ani nie będzie
wypłacane świadczenie urlopowe.
Powyższa decyzja została podjęta w zgodzie z art.3 ust.3 oraz ust.3a ustawy z
dnia 4 marca 1994r. o zakładowym funduszu świadczeń socjalnych (t. jedn. Dz. U. z
1996r., Nr 70, poz.335, z późn. zm.).
Podpis......................................... ……….. Pieczęć....................................
Pracodawca
Komentarz:
Zawiadomienie powinno zostać dokonane w styczniu danego roku. Zawiadomienie w terminu
późniejszym nie wywołuje skutków. Zawiadomienie powinno zostać dokonane w formie
przyjętej u danego pracodawcy. Jeżeli nie ma takiej formy w danym zakładzie pracy, warto
wcześniej ogłosić w jakiejkolwiek formie inną informację, aby przyjęła się w ten sposób
źródło: www.PIT.pl
nowa forma ogłoszenia w danym zakładzie pracy. W ten sposób unika się wątpliwości
związanych z formą dokonania ogłoszenia.
źródło: www.PIT.pl