skvii 0.00 0.30 0.60 50 100 150 200 250

Transkrypt

skvii 0.00 0.30 0.60 50 100 150 200 250
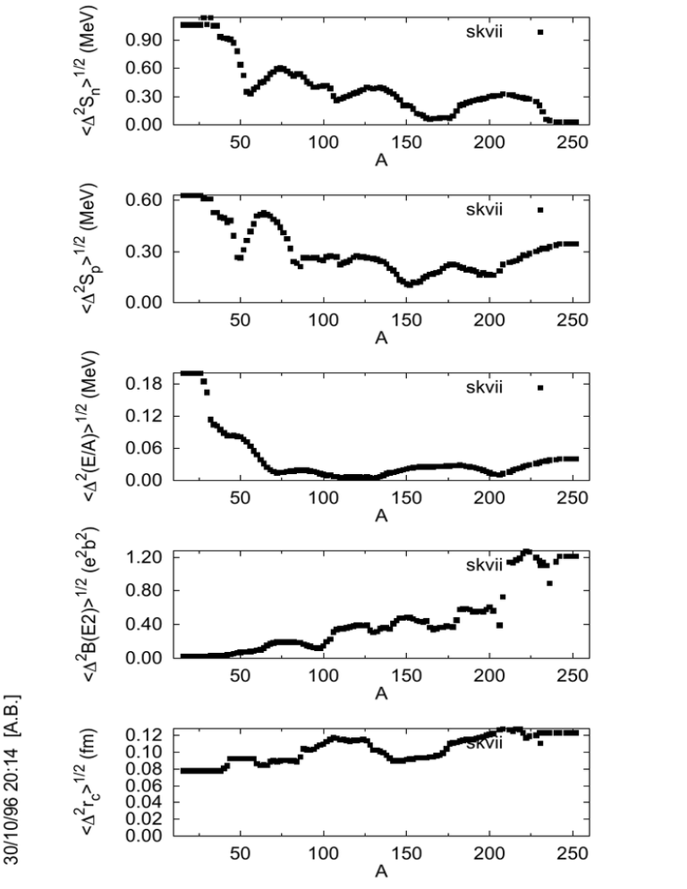
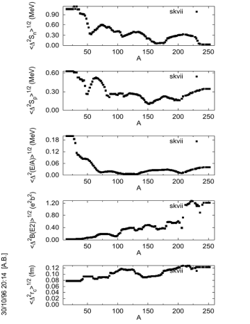
<∆2Sn>1/2 (MeV)
skvii
0.90
0.60
0.30
0.00
50
100
150
200
250
<∆2Sp>1/2 (MeV)
A
0.60
skvii
0.30
0.00
50
100
150
200
250
<∆2(E/A)>1/2 (MeV)
A
0.18
skvii
0.12
0.06
0.00
50
100
150
200
250
1.20
skvii
0.80
0.40
0.00
50
100
150
200
250
A
<∆2rc>1/2 (fm)
30/10/96 20:14 [A.B.]
<∆2B(E2)>1/2 (e2b2)
A
0.12
0.10
0.08
0.06
0.04
0.02
0.00
skvii
50
100
150
A
200
250