Załącznik do umowy Laptop: przekątna ekranu LCD

Transkrypt

Załącznik do umowy Laptop: przekątna ekranu LCD
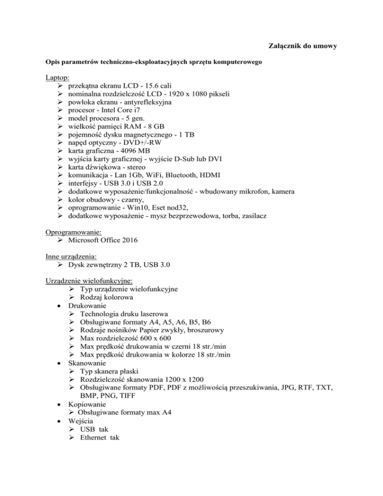
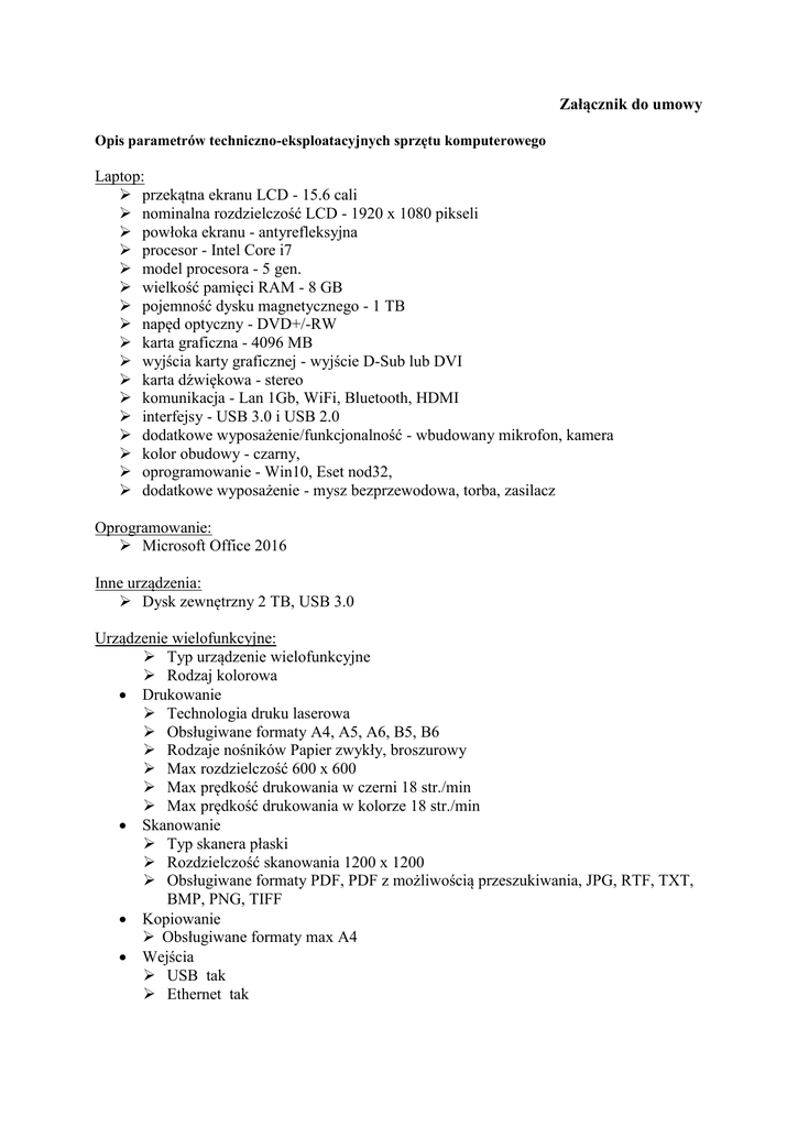
Załącznik do umowy
Opis parametrów techniczno-eksploatacyjnych sprzętu komputerowego
Laptop:
 przekątna ekranu LCD - 15.6 cali
 nominalna rozdzielczość LCD - 1920 x 1080 pikseli
 powłoka ekranu - antyrefleksyjna
 procesor - Intel Core i7
 model procesora - 5 gen.
 wielkość pamięci RAM - 8 GB
 pojemność dysku magnetycznego - 1 TB
 napęd optyczny - DVD+/-RW
 karta graficzna - 4096 MB
 wyjścia karty graficznej - wyjście D-Sub lub DVI
 karta dźwiękowa - stereo
 komunikacja - Lan 1Gb, WiFi, Bluetooth, HDMI
 interfejsy - USB 3.0 i USB 2.0
 dodatkowe wyposażenie/funkcjonalność - wbudowany mikrofon, kamera
 kolor obudowy - czarny,
 oprogramowanie - Win10, Eset nod32,
 dodatkowe wyposażenie - mysz bezprzewodowa, torba, zasilacz
Oprogramowanie:
 Microsoft Office 2016
Inne urządzenia:
 Dysk zewnętrzny 2 TB, USB 3.0
Urządzenie wielofunkcyjne:
 Typ urządzenie wielofunkcyjne
 Rodzaj kolorowa
 Drukowanie
 Technologia druku laserowa
 Obsługiwane formaty A4, A5, A6, B5, B6
 Rodzaje nośników Papier zwykły, broszurowy
 Max rozdzielczość 600 x 600
 Max prędkość drukowania w czerni 18 str./min
 Max prędkość drukowania w kolorze 18 str./min
 Skanowanie
 Typ skanera płaski
 Rozdzielczość skanowania 1200 x 1200
 Obsługiwane formaty PDF, PDF z możliwością przeszukiwania, JPG, RTF, TXT,
BMP, PNG, TIFF
 Kopiowanie
 Obsługiwane formaty max A4
 Wejścia
 USB tak
 Ethernet tak