SIWZ_elektr. Nowow.poniżej 5 lat

Transkrypt

SIWZ_elektr. Nowow.poniżej 5 lat
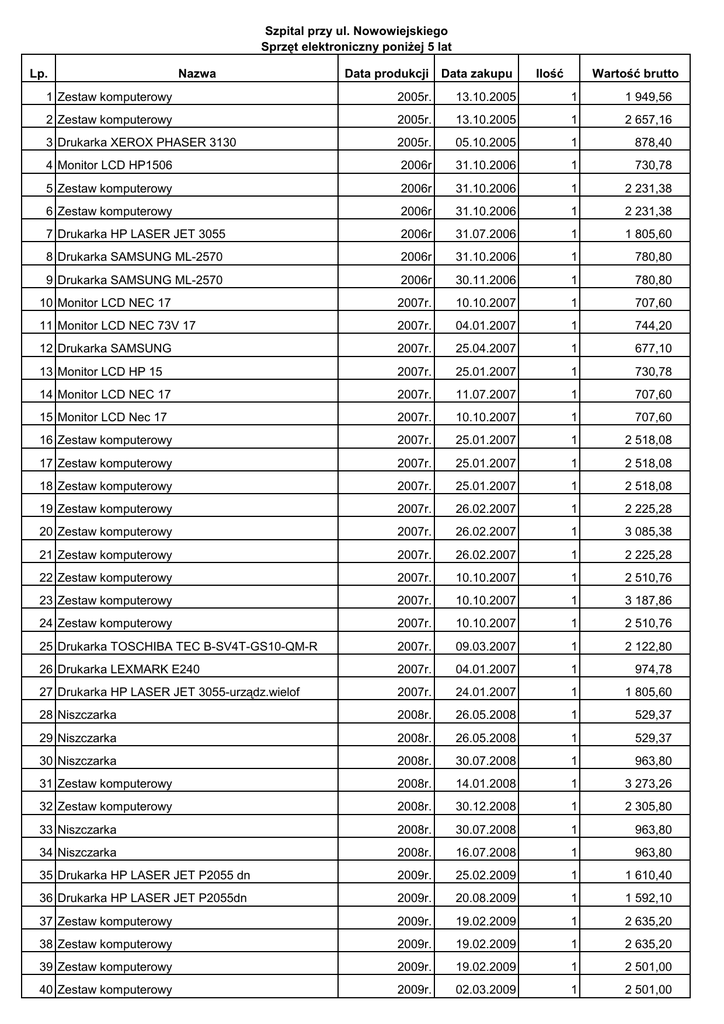
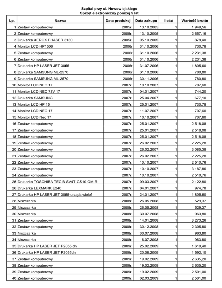
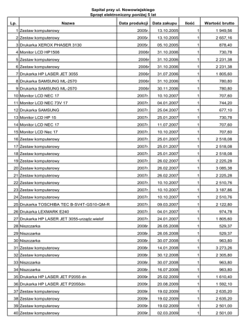
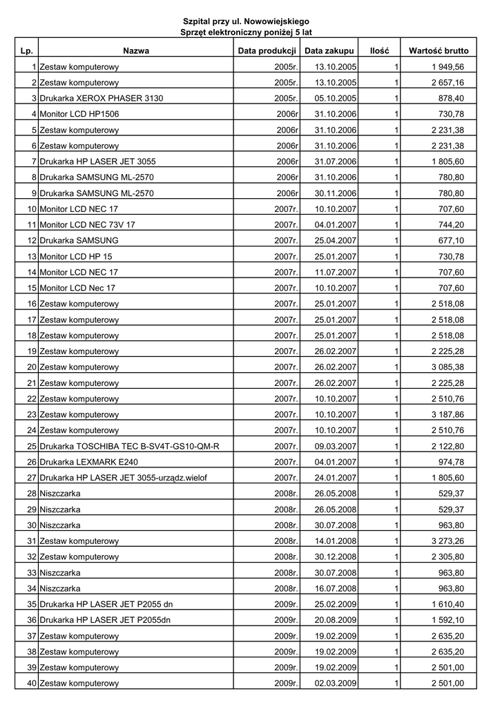
Szpital przy ul. Nowowiejskiego
Sprzęt elektroniczny poniŜej 5 lat
Lp.
Nazwa
Data produkcji
Data zakupu
Ilość
Wartość brutto
1 Zestaw komputerowy
2005r.
13.10.2005
1
1 949,56
2 Zestaw komputerowy
2005r.
13.10.2005
1
2 657,16
3 Drukarka XEROX PHASER 3130
2005r.
05.10.2005
1
878,40
4 Monitor LCD HP1506
2006r
31.10.2006
1
730,78
5 Zestaw komputerowy
2006r
31.10.2006
1
2 231,38
6 Zestaw komputerowy
2006r
31.10.2006
1
2 231,38
7 Drukarka HP LASER JET 3055
2006r
31.07.2006
1
1 805,60
8 Drukarka SAMSUNG ML-2570
2006r
31.10.2006
1
780,80
9 Drukarka SAMSUNG ML-2570
2006r
30.11.2006
1
780,80
10 Monitor LCD NEC 17
2007r.
10.10.2007
1
707,60
11 Monitor LCD NEC 73V 17
2007r.
04.01.2007
1
744,20
12 Drukarka SAMSUNG
2007r.
25.04.2007
1
677,10
13 Monitor LCD HP 15
2007r.
25.01.2007
1
730,78
14 Monitor LCD NEC 17
2007r.
11.07.2007
1
707,60
15 Monitor LCD Nec 17
2007r.
10.10.2007
1
707,60
16 Zestaw komputerowy
2007r.
25.01.2007
1
2 518,08
17 Zestaw komputerowy
2007r.
25.01.2007
1
2 518,08
18 Zestaw komputerowy
2007r.
25.01.2007
1
2 518,08
19 Zestaw komputerowy
2007r.
26.02.2007
1
2 225,28
20 Zestaw komputerowy
2007r.
26.02.2007
1
3 085,38
21 Zestaw komputerowy
2007r.
26.02.2007
1
2 225,28
22 Zestaw komputerowy
2007r.
10.10.2007
1
2 510,76
23 Zestaw komputerowy
2007r.
10.10.2007
1
3 187,86
24 Zestaw komputerowy
2007r.
10.10.2007
1
2 510,76
25 Drukarka TOSCHIBA TEC B-SV4T-GS10-QM-R
2007r.
09.03.2007
1
2 122,80
26 Drukarka LEXMARK E240
2007r.
04.01.2007
1
974,78
27 Drukarka HP LASER JET 3055-urządz.wielof
2007r.
24.01.2007
1
1 805,60
28 Niszczarka
2008r.
26.05.2008
1
529,37
29 Niszczarka
2008r.
26.05.2008
1
529,37
30 Niszczarka
2008r.
30.07.2008
1
963,80
31 Zestaw komputerowy
2008r.
14.01.2008
1
3 273,26
32 Zestaw komputerowy
2008r.
30.12.2008
1
2 305,80
33 Niszczarka
2008r.
30.07.2008
1
963,80
34 Niszczarka
2008r.
16.07.2008
1
963,80
35 Drukarka HP LASER JET P2055 dn
2009r.
25.02.2009
1
1 610,40
36 Drukarka HP LASER JET P2055dn
2009r.
20.08.2009
1
1 592,10
37 Zestaw komputerowy
2009r.
19.02.2009
1
2 635,20
38 Zestaw komputerowy
2009r.
19.02.2009
1
2 635,20
39 Zestaw komputerowy
2009r.
19.02.2009
1
2 501,00
40 Zestaw komputerowy
2009r.
02.03.2009
1
2 501,00
Lp.
Nazwa
Data produkcji
Data zakupu
41 Zestaw komputerowy
2009r.
30.04.2009
1
2 792,58
42 Zestaw komputerowy
2009r.
30.04.2009
1
2 330,20
43 Zestaw komputerowy
2009r.
30.04.2009
1
2 726,70
44 Zestaw komputerowy
2009r.
30.04.2009
1
2 330,20
45 Zestaw komputerowy
2009r.
29.05.2009
1
4 384,68
46 Zestaw komputerowy-serwer
2009r.
24.11.2009
1
10 785,43
47 Telefax LEXMARK
2009r.
09.03.2009
1
400,00
Razem
Ilość
Wartość brutto
95 277,37