Plan zajęć dla Podyplomowego Studium Neurologopedycznego – 22

Transkrypt

Plan zajęć dla Podyplomowego Studium Neurologopedycznego – 22
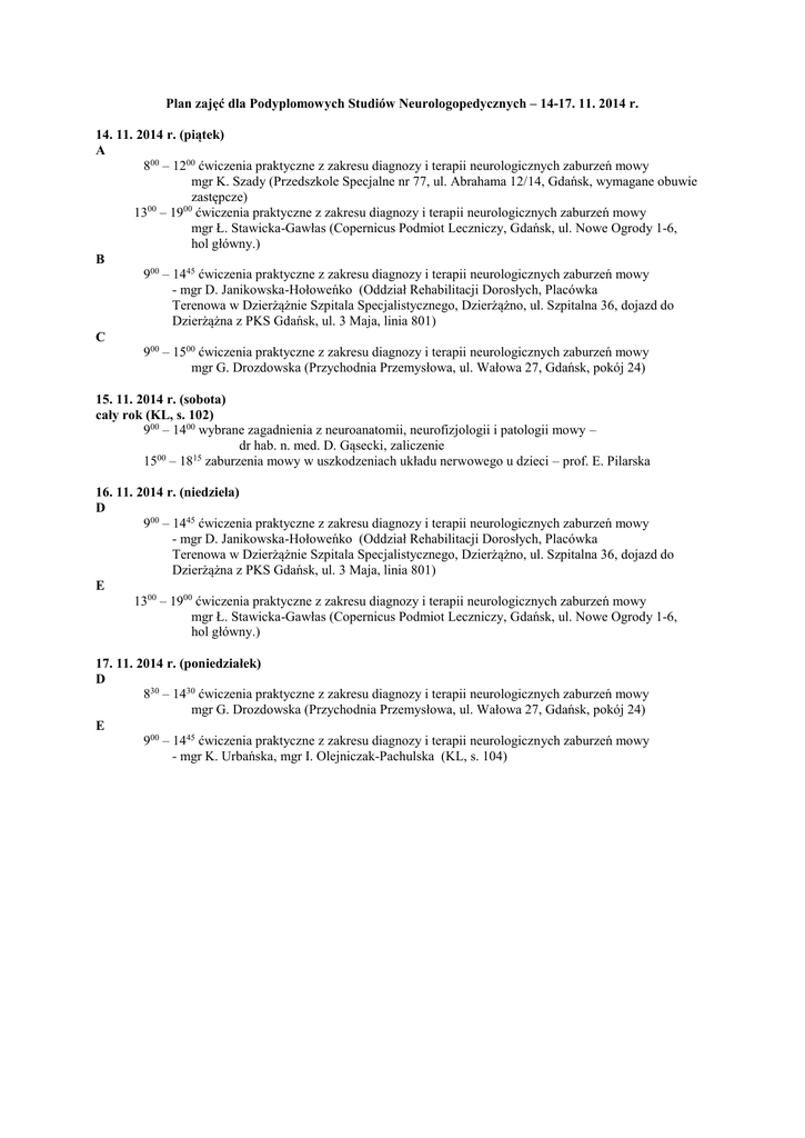
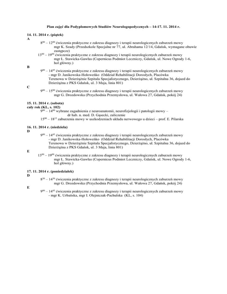
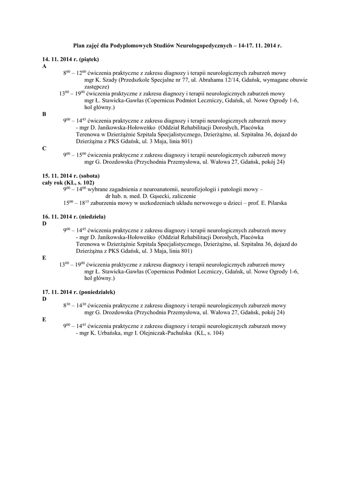
Plan zajęć dla Podyplomowych Studiów Neurologopedycznych – 14-17. 11. 2014 r.
14. 11. 2014 r. (piątek)
A
800 – 1200 ćwiczenia praktyczne z zakresu diagnozy i terapii neurologicznych zaburzeń mowy
mgr K. Szady (Przedszkole Specjalne nr 77, ul. Abrahama 12/14, Gdańsk, wymagane obuwie
zastępcze)
1300 – 1900 ćwiczenia praktyczne z zakresu diagnozy i terapii neurologicznych zaburzeń mowy
mgr Ł. Stawicka-Gawłas (Copernicus Podmiot Leczniczy, Gdańsk, ul. Nowe Ogrody 1-6,
hol główny.)
B
900 – 1445 ćwiczenia praktyczne z zakresu diagnozy i terapii neurologicznych zaburzeń mowy
- mgr D. Janikowska-Hołoweńko (Oddział Rehabilitacji Dorosłych, Placówka
Terenowa w Dzierżążnie Szpitala Specjalistycznego, Dzierżążno, ul. Szpitalna 36, dojazd do
Dzierżążna z PKS Gdańsk, ul. 3 Maja, linia 801)
C
900 – 1500 ćwiczenia praktyczne z zakresu diagnozy i terapii neurologicznych zaburzeń mowy
mgr G. Drozdowska (Przychodnia Przemysłowa, ul. Wałowa 27, Gdańsk, pokój 24)
15. 11. 2014 r. (sobota)
cały rok (KL, s. 102)
900 – 1400 wybrane zagadnienia z neuroanatomii, neurofizjologii i patologii mowy –
dr hab. n. med. D. Gąsecki, zaliczenie
1500 – 1815 zaburzenia mowy w uszkodzeniach układu nerwowego u dzieci – prof. E. Pilarska
16. 11. 2014 r. (niedziela)
D
900 – 1445 ćwiczenia praktyczne z zakresu diagnozy i terapii neurologicznych zaburzeń mowy
- mgr D. Janikowska-Hołoweńko (Oddział Rehabilitacji Dorosłych, Placówka
Terenowa w Dzierżążnie Szpitala Specjalistycznego, Dzierżążno, ul. Szpitalna 36, dojazd do
Dzierżążna z PKS Gdańsk, ul. 3 Maja, linia 801)
E
1300 – 1900 ćwiczenia praktyczne z zakresu diagnozy i terapii neurologicznych zaburzeń mowy
mgr Ł. Stawicka-Gawłas (Copernicus Podmiot Leczniczy, Gdańsk, ul. Nowe Ogrody 1-6,
hol główny.)
17. 11. 2014 r. (poniedziałek)
D
830 – 1430 ćwiczenia praktyczne z zakresu diagnozy i terapii neurologicznych zaburzeń mowy
mgr G. Drozdowska (Przychodnia Przemysłowa, ul. Wałowa 27, Gdańsk, pokój 24)
E
900 – 1445 ćwiczenia praktyczne z zakresu diagnozy i terapii neurologicznych zaburzeń mowy
- mgr K. Urbańska, mgr I. Olejniczak-Pachulska (KL, s. 104)