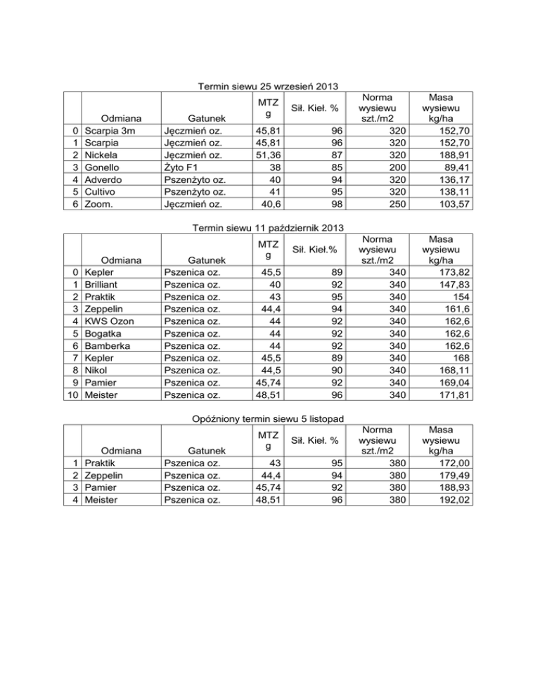
Termin siewu 25 wrzesień 2013 Odmiana Gatunek MTZ g Sił. Kieł

Transkrypt

Termin siewu 25 wrzesień 2013 Odmiana Gatunek MTZ g Sił. Kieł
Termin siewu 25 wrzesień 2013
0
1
2
3
4
5
6
Odmiana
Scarpia 3m
Scarpia
Nickela
Gonello
Adverdo
Cultivo
Zoom.
Gatunek
Jęczmień oz.
Jęczmień oz.
Jęczmień oz.
Żyto F1
Pszenżyto oz.
Pszenżyto oz.
Jęczmień oz.
MTZ
g
45,81
45,81
51,36
38
40
41
40,6
Sił. Kieł. %
96
96
87
85
94
95
98
Norma
wysiewu
szt./m2
320
320
320
200
320
320
250
Masa
wysiewu
kg/ha
152,70
152,70
188,91
89,41
136,17
138,11
103,57
Norma
wysiewu
szt./m2
340
340
340
340
340
340
340
340
340
340
340
Masa
wysiewu
kg/ha
173,82
147,83
154
161,6
162,6
162,6
162,6
168
168,11
169,04
171,81
Norma
wysiewu
szt./m2
380
380
380
380
Masa
wysiewu
kg/ha
172,00
179,49
188,93
192,02
Termin siewu 11 październik 2013
0
1
2
3
4
5
6
7
8
9
10
Odmiana
Kepler
Brilliant
Praktik
Zeppelin
KWS Ozon
Bogatka
Bamberka
Kepler
Nikol
Pamier
Meister
Gatunek
Pszenica oz.
Pszenica oz.
Pszenica oz.
Pszenica oz.
Pszenica oz.
Pszenica oz.
Pszenica oz.
Pszenica oz.
Pszenica oz.
Pszenica oz.
Pszenica oz.
MTZ
g
45,5
40
43
44,4
44
44
44
45,5
44,5
45,74
48,51
Sił. Kieł.%
89
92
95
94
92
92
92
89
90
92
96
Opóźniony termin siewu 5 listopad
1
2
3
4
Odmiana
Praktik
Zeppelin
Pamier
Meister
Gatunek
Pszenica oz.
Pszenica oz.
Pszenica oz.
Pszenica oz.
MTZ
g
43
44,4
45,74
48,51
Sił. Kieł. %
95
94
92
96