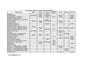
Ceny usług rolniczych w woj. pomorskim wrzesień 2016

Transkrypt

Ceny usług rolniczych w woj. pomorskim wrzesień 2016
Ceny usług w zł/ godz. (brutto) na dzień 29.09.2016 r.
Rodzaj usług
bronowanie
kombajn zbożowy
kombajn zbożowy z sieczkarnią
koszenie kukurydzy zielonka
koszenie kukurydzy zielonka z transportem
kosiarka rotacyjna
kultywatorowanie
opryskiwacz zawieszany
opryskiwacz ciągany 21m
orka pług 3 skibowy, ciągnik pow. 60 KM
orka pług 4 skibowy, ciągnik pow. 60 KM
orka pług 5 obrotowy, ciągnik pow. 60 KM
prasa do zbioru słomy
podorywka
rozrzutnik obornika + cyklop zestaw 8t
rozrzutnik obornika x2 + ładowacz
rozsiewacz doczepiany
rozsiewacz wapna
siew siewnikiem zbożowym
siew kukurydza, fasola, buraki (z siewem
agregat czynny z siewem bezp.
talerzowanie
wałowanie wał 6m
transport z 1 przyczepą(ciągnik do 60KM)
transport z 2 przyczepami(ciąg do 60KM)
transport z 1 przyczepą(ciągnik pow 60KM)
transport z 2 przyczepami(ciąg pow 60KM)
ładowacz cyklop
* cena usługi za 1 ha
Bytów
Kartuzy
Kościerzyna
250-300zł/h
100zł/h
360zł/h
390zł/h
120zł/h
270-300zł/h
300zł/h
120zł/h
140zł/h
110zł/h
Nowy Dwór
Gdański *
400 zł
840zł/h
150-180zł/h
Tczew
Sztum
290 zł/h
310zł/h
Wejherowo
280zł/h
310zł/h
550zł/ha
190 zł/h
100 zł/h
50-80zł/h
45zł/h
55 zł
150zł/h
180zł/h
225zł/h
200-220zł/h
100-120zł/ha
170zł/h
300zł/h
390zł/h
180zł/h
240zł/h
270 zł
100-120 zł/h
225zł/h
237zł/h
320zł/h
350 zł/h
40 zł
140zł/h
80zł/h
150zł/h
210zł/h
180zł/h
180-200zł/ha
150 zł
240 zł
130 zł
50 zł
40zł/h
120zł/h
140zł/h
130zł/h
80-90 zł/h
100zł/h
100zł/h
90zł/h
100zł/h
90 zł/h
100zł/h