Tak Nie Wpisz procentowe wyniki z matury z

Transkrypt

Tak Nie Wpisz procentowe wyniki z matury z
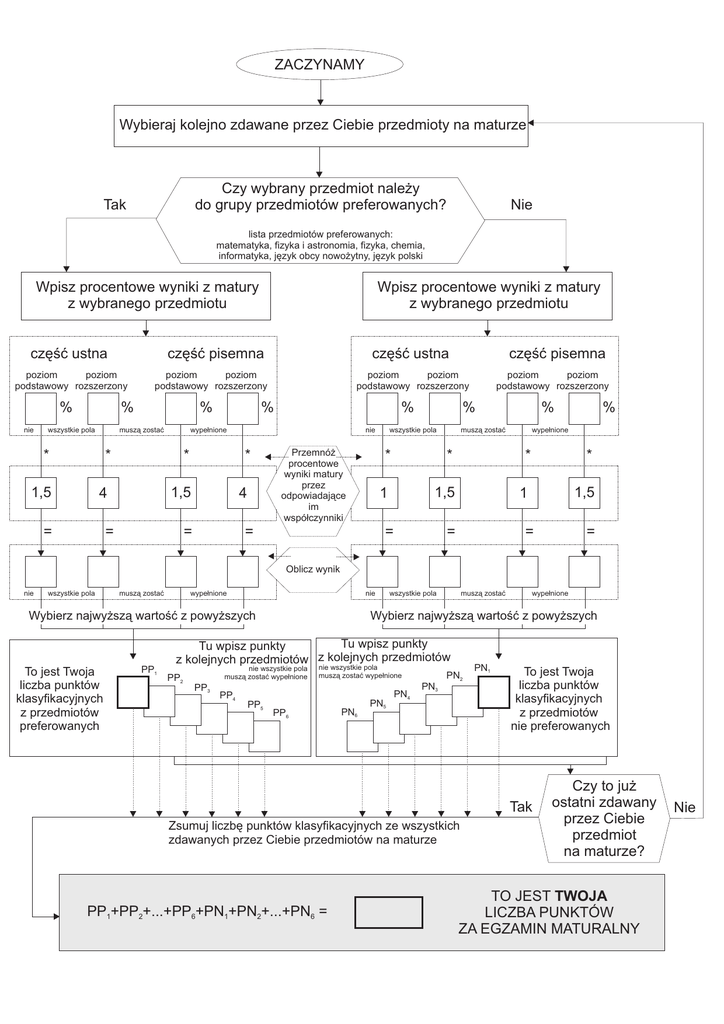
ZACZYNAMY
Wybieraj kolejno zdawane przez Ciebie przedmioty na maturze
Czy wybrany przedmiot należy
do grupy przedmiotów preferowanych?
Tak
Nie
lista przedmiotów preferowanych:
matematyka, fizyka i astronomia, fizyka, chemia,
informatyka, język obcy nowożytny, język polski
Wpisz procentowe wyniki z matury
z wybranego przedmiotu
część ustna
część pisemna
poziom
poziom
podstawowy rozszerzony
%
nie
%
muszą zostać
%
wypełnione
nie
*
*
*
1,5
4
1,5
4
=
=
część pisemna
poziom
poziom
podstawowy rozszerzony
%
*
=
część ustna
poziom
poziom
podstawowy rozszerzony
%
wszystkie pola
Wpisz procentowe wyniki z matury
z wybranego przedmiotu
Przemnóż
procentowe
wyniki matury
przez
odpowiadające
im
współczynniki
=
poziom
poziom
podstawowy rozszerzony
%
wszystkie pola
%
muszą zostać
%
wypełnione
*
*
*
*
1
1,5
1
1,5
=
=
=
=
Oblicz wynik
nie
wszystkie pola
muszą zostać
wypełnione
nie
Wybierz najwyższą wartość z powyższych
To jest Twoja
liczba punktów
klasyfikacyjnych
z przedmiotów
preferowanych
PP1
wszystkie pola
muszą zostać
Wybierz najwyższą wartość z powyższych
Tu wpisz punkty
Tu wpisz punkty
z kolejnych przedmiotów z kolejnych przedmiotów
PP2
nie wszystkie pola
muszą zostać wypełnione
PP3
PP4
PP5
wypełnione
nie wszystkie pola
muszą zostać wypełnione
PP6
PN6
PN5
PN4
PN2
PN3
PN1
To jest Twoja
liczba punktów
klasyfikacyjnych
z przedmiotów
nie preferowanych
Tak
Zsumuj liczbę punktów klasyfikacyjnych ze wszystkich
zdawanych przez Ciebie przedmiotów na maturze
PP1+PP2+...+PP6+PN1+PN2+...+PN6 =
Czy to już
ostatni zdawany
przez Ciebie
przedmiot
na maturze?
TO JEST TWOJA
LICZBA PUNKTÓW
ZA EGZAMIN MATURALNY
Nie