Lp. Nazwa łacińska Nazwa polska Wysokość w metrach Pierśnica w

Transkrypt

Lp. Nazwa łacińska Nazwa polska Wysokość w metrach Pierśnica w
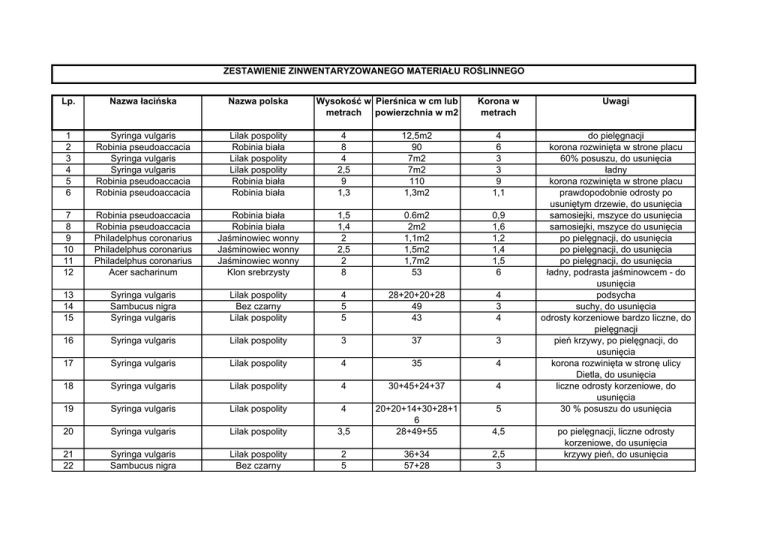
ZESTAWIENIE ZINWENTARYZOWANEGO MATERIAŁU ROŚLINNEGO
Lp.
Nazwa łacińska
Nazwa polska
Wysokość w Pierśnica w cm lub
metrach powierzchnia w m2
Korona w
metrach
Uwagi
1
2
3
4
5
6
Syringa vulgaris
Robinia pseudoaccacia
Syringa vulgaris
Syringa vulgaris
Robinia pseudoaccacia
Robinia pseudoaccacia
Lilak pospolity
Robinia biała
Lilak pospolity
Lilak pospolity
Robinia biała
Robinia biała
4
8
4
2,5
9
1,3
12,5m2
90
7m2
7m2
110
1,3m2
4
6
3
3
9
1,1
1,5
1,4
2
2,5
2
8
0.6m2
2m2
1,1m2
1,5m2
1,7m2
53
0,9
1,6
1,2
1,4
1,5
6
Lilak pospolity
Bez czarny
Lilak pospolity
4
5
5
28+20+20+28
49
43
4
3
4
Syringa vulgaris
Lilak pospolity
3
37
3
17
Syringa vulgaris
Lilak pospolity
4
35
4
18
Syringa vulgaris
Lilak pospolity
4
30+45+24+37
4
19
Syringa vulgaris
Lilak pospolity
4
5
20
Syringa vulgaris
Lilak pospolity
3,5
20+20+14+30+28+1
6
28+49+55
do pielęgnacji
korona rozwinięta w strone placu
60% posuszu, do usunięcia
ładny
korona rozwinięta w strone placu
prawdopodobnie odrosty po
usuniętym drzewie, do usunięcia
samosiejki, mszyce do usunięcia
samosiejki, mszyce do usunięcia
po pielęgnacji, do usunięcia
po pielęgnacji, do usunięcia
po pielęgnacji, do usunięcia
ładny, podrasta jaśminowcem - do
usunięcia
podsycha
suchy, do usunięcia
odrosty korzeniowe bardzo liczne, do
pielęgnacji
pień krzywy, po pielęgnacji, do
usunięcia
korona rozwinięta w stronę ulicy
Dietla, do usunięcia
liczne odrosty korzeniowe, do
usunięcia
30 % posuszu do usunięcia
7
8
9
10
11
12
Robinia pseudoaccacia
Robinia pseudoaccacia
Philadelphus coronarius
Philadelphus coronarius
Philadelphus coronarius
Acer sacharinum
Robinia biała
Robinia biała
Jaśminowiec wonny
Jaśminowiec wonny
Jaśminowiec wonny
Klon srebrzysty
13
14
15
Syringa vulgaris
Sambucus nigra
Syringa vulgaris
16
4,5
21
22
Syringa vulgaris
Sambucus nigra
Lilak pospolity
Bez czarny
2
5
36+34
57+28
2,5
3
po pielęgnacji, liczne odrosty
korzeniowe, do usunięcia
krzywy pień, do usunięcia
23
24
25
26
27
28
29
30
Syringa vulgaris
Ligustrum vulgare
Acer nanum
Ligustrum vulgare
Ligustrum vulgare
Spiraea van Houtei
Spiraea van Houtei
Spiraea van Houtei
Lilak pospolity
Ligustr pospolity
Klon polny
Ligustr pospolity
Ligustr pospolity
Tawuła van Houte'a
Tawuła van Houte'a
Tawuła van Houte'a
3,5
2
12
0,8
1,2
0,8
0,8
1,4
53+15+14+7+12
1,5m2
159
2,7m2
25m2
0,3m2
0,2m2
1,5m2
5
1,4
9
31
32
33
Spiraea van Houtei
Spiraea van Houtei
Spiraea van Houtei
Tawuła van Houte'a
Tawuła van Houte'a
Tawuła van Houte'a
1,2
0,9
1,3
0,6m2
0,2m2
0,6m2
0,9
0,5
0,9
34
35
36
37
38
Spiraea van Houtei
Acer platanoides
Ligustrum vulgare
Acer platanoides
Acer platanoides
Tawuła van Houte'a
Klon pospolity
Ligustr pospolity
Klon pospolity
Klon pospolity
1,2
9
1
9
9
0,7m2
132
21,5m2
130
96
5
0,8
8
7
0,6
0,5
krzywy pień, do usunięcia
do usunięcia
po pielęgnacji, posusz
żywopłot formowany
żywopłot formowany
ładna, do pielęgnacji (przesadzenia)
ładna, do pielęgnacji (przesadzenia)
ładna, formowana, do pielęgnacji
(przesadzenia)
ładna, do pielęgnacji (przesadzenia)
ładna, do pielęgnacji (przesadzenia)
ładna, formowana, do pielęgnacji
(przesadzenia)
ładna, do pielęgnacji (przesadzenia)
70% posuszu, do usunięcia
żywopłot formowany
posusz do usunięcia
ładny