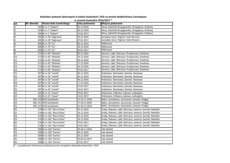
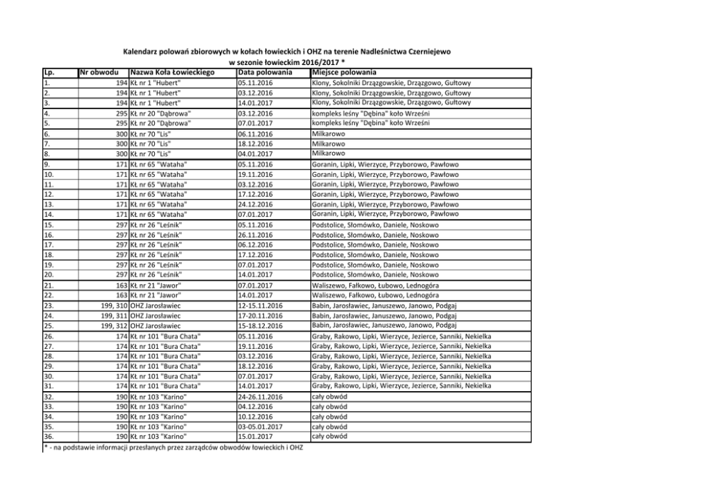
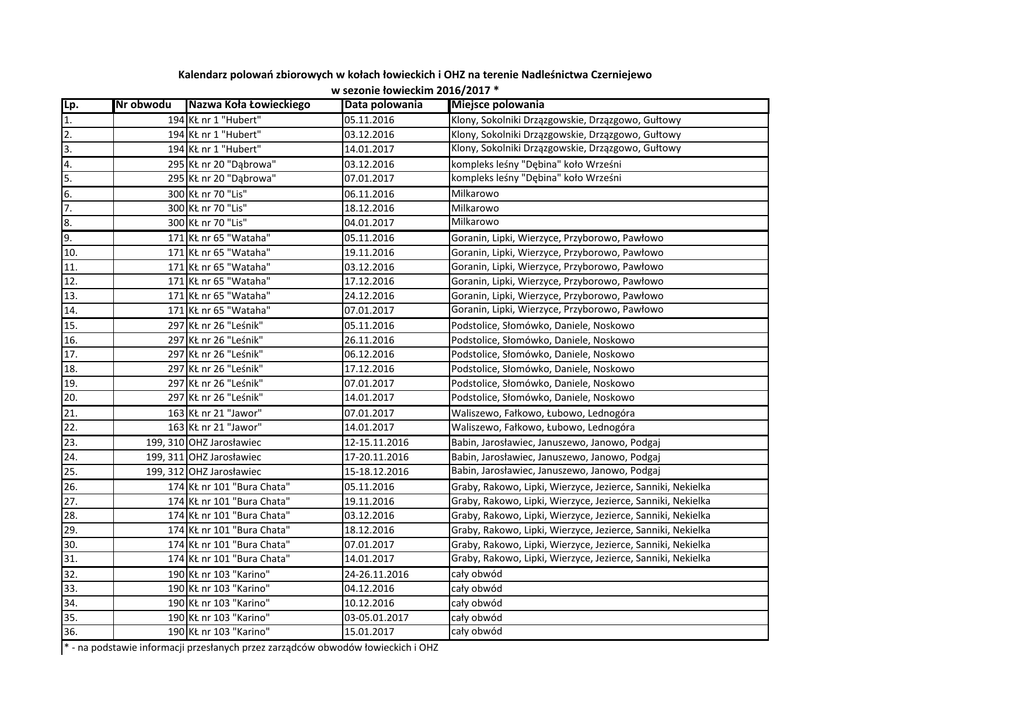
Kalendarz polowań zbiorowych

Transkrypt

Kalendarz polowań zbiorowych
Lp.
Kalendarz polowań zbiorowych w kołach łowieckich i OHZ na terenie Nadleśnictwa Czerniejewo
w sezonie łowieckim 2016/2017 *
Nr obwodu Nazwa Koła Łowieckiego
Data polowania
Miejsce polowania
1.
194 KŁ nr 1 "Hubert"
05.11.2016
2.
194 KŁ nr 1 "Hubert"
03.12.2016
3.
194 KŁ nr 1 "Hubert"
14.01.2017
4.
295 KŁ nr 20 "Dąbrowa"
03.12.2016
5.
295 KŁ nr 20 "Dąbrowa"
07.01.2017
6.
300 KŁ nr 70 "Lis"
06.11.2016
7.
300 KŁ nr 70 "Lis"
18.12.2016
8.
300 KŁ nr 70 "Lis"
04.01.2017
9.
171 KŁ nr 65 "Wataha"
05.11.2016
10.
171 KŁ nr 65 "Wataha"
19.11.2016
11.
171 KŁ nr 65 "Wataha"
03.12.2016
12.
171 KŁ nr 65 "Wataha"
17.12.2016
13.
171 KŁ nr 65 "Wataha"
24.12.2016
14.
171 KŁ nr 65 "Wataha"
07.01.2017
15.
297 KŁ nr 26 "Leśnik"
05.11.2016
16.
297 KŁ nr 26 "Leśnik"
26.11.2016
17.
297 KŁ nr 26 "Leśnik"
06.12.2016
18.
297 KŁ nr 26 "Leśnik"
17.12.2016
19.
297 KŁ nr 26 "Leśnik"
07.01.2017
20.
297 KŁ nr 26 "Leśnik"
14.01.2017
21.
163 KŁ nr 21 "Jawor"
07.01.2017
22.
163 KŁ nr 21 "Jawor"
14.01.2017
23.
199, 310 OHZ Jarosławiec
12-15.11.2016
24.
199, 311 OHZ Jarosławiec
17-20.11.2016
25.
199, 312 OHZ Jarosławiec
15-18.12.2016
26.
174 KŁ nr 101 "Bura Chata"
05.11.2016
27.
174 KŁ nr 101 "Bura Chata"
19.11.2016
28.
174 KŁ nr 101 "Bura Chata"
03.12.2016
29.
174 KŁ nr 101 "Bura Chata"
18.12.2016
30.
174 KŁ nr 101 "Bura Chata"
07.01.2017
31.
174 KŁ nr 101 "Bura Chata"
14.01.2017
32.
190 KŁ nr 103 "Karino"
24-26.11.2016
33.
190 KŁ nr 103 "Karino"
04.12.2016
34.
190 KŁ nr 103 "Karino"
10.12.2016
35.
190 KŁ nr 103 "Karino"
03-05.01.2017
36.
190 KŁ nr 103 "Karino"
15.01.2017
* - na podstawie informacji przesłanych przez zarządców obwodów łowieckich i OHZ
Klony, Sokolniki Drzązgowskie, Drzązgowo, Gułtowy
Klony, Sokolniki Drzązgowskie, Drzązgowo, Gułtowy
Klony, Sokolniki Drzązgowskie, Drzązgowo, Gułtowy
kompleks leśny "Dębina" koło Wrześni
kompleks leśny "Dębina" koło Wrześni
Milkarowo
Milkarowo
Milkarowo
Goranin, Lipki, Wierzyce, Przyborowo, Pawłowo
Goranin, Lipki, Wierzyce, Przyborowo, Pawłowo
Goranin, Lipki, Wierzyce, Przyborowo, Pawłowo
Goranin, Lipki, Wierzyce, Przyborowo, Pawłowo
Goranin, Lipki, Wierzyce, Przyborowo, Pawłowo
Goranin, Lipki, Wierzyce, Przyborowo, Pawłowo
Podstolice, Słomówko, Daniele, Noskowo
Podstolice, Słomówko, Daniele, Noskowo
Podstolice, Słomówko, Daniele, Noskowo
Podstolice, Słomówko, Daniele, Noskowo
Podstolice, Słomówko, Daniele, Noskowo
Podstolice, Słomówko, Daniele, Noskowo
Waliszewo, Fałkowo, Łubowo, Lednogóra
Waliszewo, Fałkowo, Łubowo, Lednogóra
Babin, Jarosławiec, Januszewo, Janowo, Podgaj
Babin, Jarosławiec, Januszewo, Janowo, Podgaj
Babin, Jarosławiec, Januszewo, Janowo, Podgaj
Graby, Rakowo, Lipki, Wierzyce, Jezierce, Sanniki, Nekielka
Graby, Rakowo, Lipki, Wierzyce, Jezierce, Sanniki, Nekielka
Graby, Rakowo, Lipki, Wierzyce, Jezierce, Sanniki, Nekielka
Graby, Rakowo, Lipki, Wierzyce, Jezierce, Sanniki, Nekielka
Graby, Rakowo, Lipki, Wierzyce, Jezierce, Sanniki, Nekielka
Graby, Rakowo, Lipki, Wierzyce, Jezierce, Sanniki, Nekielka
cały obwód
cały obwód
cały obwód
cały obwód
cały obwód