Zestawienie sprzętu komputerowego i multimedialnego

Transkrypt

Zestawienie sprzętu komputerowego i multimedialnego
Zestawienie sprzętu komputerowego multimedialnego
d l a S O S W w Wa r l u b i u u l . S z k o l n a 8
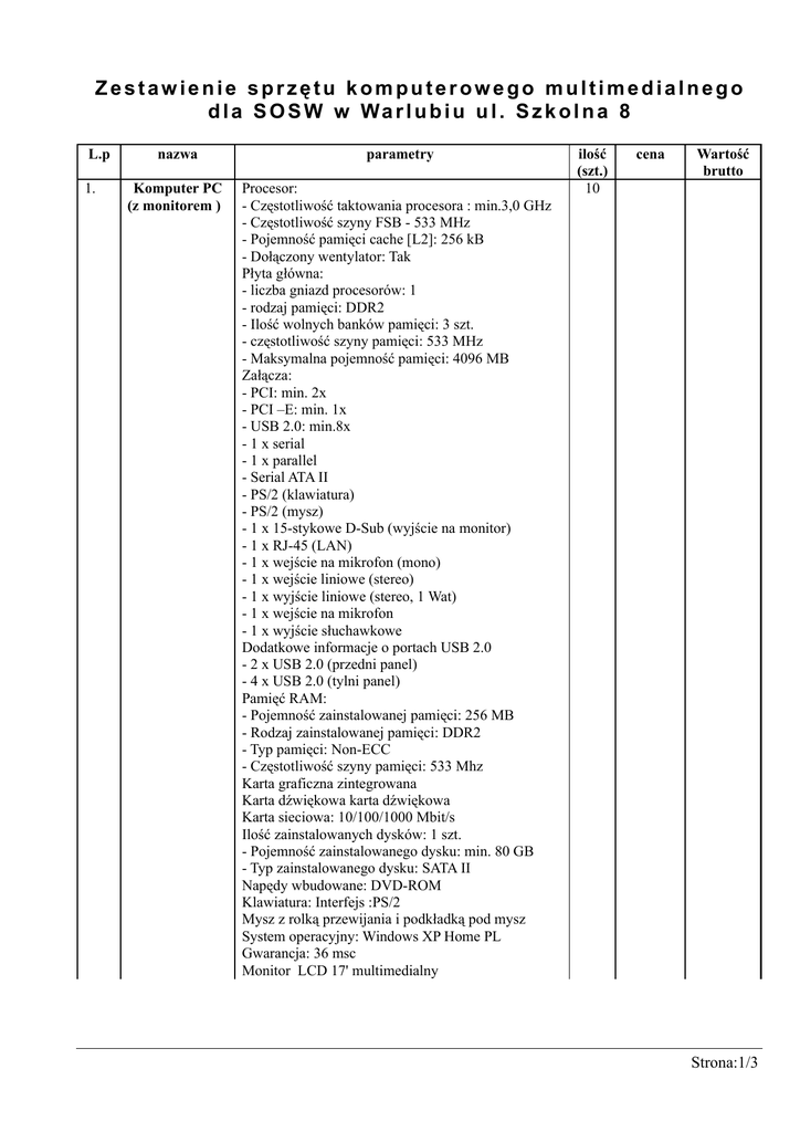
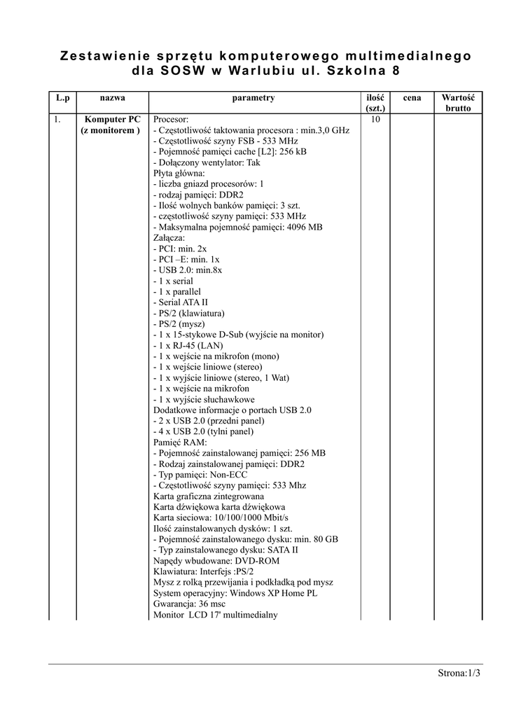
L.p
1.
nazwa
parametry
Komputer PC
(z monitorem )
Procesor:
- Częstotliwość taktowania procesora : min.3,0 GHz
- Częstotliwość szyny FSB - 533 MHz
- Pojemność pamięci cache [L2]: 256 kB
- Dołączony wentylator: Tak
Płyta główna:
- liczba gniazd procesorów: 1
- rodzaj pamięci: DDR2
- Ilość wolnych banków pamięci: 3 szt.
- częstotliwość szyny pamięci: 533 MHz
- Maksymalna pojemność pamięci: 4096 MB
Załącza:
- PCI: min. 2x
- PCI –E: min. 1x
- USB 2.0: min.8x
- 1 x serial
- 1 x parallel
- Serial ATA II
- PS/2 (klawiatura)
- PS/2 (mysz)
- 1 x 15-stykowe D-Sub (wyjście na monitor)
- 1 x RJ-45 (LAN)
- 1 x wejście na mikrofon (mono)
- 1 x wejście liniowe (stereo)
- 1 x wyjście liniowe (stereo, 1 Wat)
- 1 x wejście na mikrofon
- 1 x wyjście słuchawkowe
Dodatkowe informacje o portach USB 2.0
- 2 x USB 2.0 (przedni panel)
- 4 x USB 2.0 (tylni panel)
Pamięć RAM:
- Pojemność zainstalowanej pamięci: 256 MB
- Rodzaj zainstalowanej pamięci: DDR2
- Typ pamięci: Non-ECC
- Częstotliwość szyny pamięci: 533 Mhz
Karta graficzna zintegrowana
Karta dźwiękowa karta dźwiękowa
Karta sieciowa: 10/100/1000 Mbit/s
Ilość zainstalowanych dysków: 1 szt.
- Pojemność zainstalowanego dysku: min. 80 GB
- Typ zainstalowanego dysku: SATA II
Napędy wbudowane: DVD-ROM
Klawiatura: Interfejs :PS/2
Mysz z rolką przewijania i podkładką pod mysz
System operacyjny: Windows XP Home PL
Gwarancja: 36 msc
Monitor LCD 17' multimedialny
ilość
(szt.)
10
cena
Wartość
brutto
Strona:1/3
Wielkość plamki: 0,264 mm
Zalecana rozdzielczość obrazu: 1280x1024 pikseli
Czas reakcji matrycy: 8 ms
Certyfikaty min.:
- TCO-99
- ISO13406-2
Regulacja cyfrowa (OSD)
Głośniki
Wbudowany zasilacz
Możliwość pochylenia panela
Możliwość zabezpieczenia (Kensington)
Gwarancja: 36 msc
2
Notebook
Prędkość procesora: min. 1,5 GHz
Pojemność dysku: 60 GB
Zainstalowana pamięć: 256 MB
Rodzaj pamięci: DDR2
Maksymalna wielkość pamięci: 2048 MB
Ilość banków pamięci: min.2 szt.
Ilość wolnych banków pamięci: min. 1 szt.
Przekątna ekranu LCD: min. 15,1 cali
Napędy wbudowane: DVD±RW DL (Dual Layer)
Karta dźwiękowa: Realtek 6-cio kanałowy
Urządzenia wskazujące: Touchpad
Bateria Litowo-jonowa
Złącza zewn.:
- 4 x USB 2.0
- 15-stykowe D-Sub (wyjście na monitor)
- FireWire (IEEE 1394)
- RJ-11
- RJ-45
- wejście na mikrofon
- wyjście słuchawkowe
- Wejście zasilania (DC-in)
Bezprzewodowa karta sieciowa
Typ bezprzewodowej karty sieciowe:IEEE 802.11b/g
Wyposażenie standardowe:
- 1x10/100BaseTX FastEthernet (RJ45)
- Modem 56K V.92
- głośniki
Zainstalowany system operacyjny: Microsoft Windows XP Home PL
Torba do notebooka
Gwarancja: 24 msc.
1
3
Projektor
multimedialny
Technologia LCD 3 x 0,6 cali
Rozdzielczość ekranu 1024x768 pikseli
Jasność obrazu 2000 ANSI Lum.
Kontrast 400:1
Lampa: min. 170 Wat
Czas pracy lampy: min. 2000 godz.
1
Strona:2/3
Odległość projekcji min. 11 M
Głośniki: Tak , Moc głośnika.: 1 x 5 Wat
Wspierane systemy:
NTSC
NTSC 4,43
PAL
PAL-M
PAL-N
PAL60
SECAM
S-Video
Złącza zewnętrzne: 2 x D-sub 15-pin, 1 x D-sub 15pin (out), 1 x stereo mini-jack, 1 x RCA,1 x S-Video
Mini DIN 4-pin,1 x USB (typ B), 1 x D-sub 9-pin , 1
x RS-232C, 1 x mini jack
Zestaw powinien zawierać:
- pilot zdalnego sterowania
- przewód zasilający (3 m)
- kabel komputerowy (1,8 m)
- kabel USB
- Instrukcję obsługi
Gwarancja: 36 msc
Strona:3/3