espi_21.2015 44 kB - w ww. drewniane

Transkrypt

espi_21.2015 44 kB - w ww. drewniane
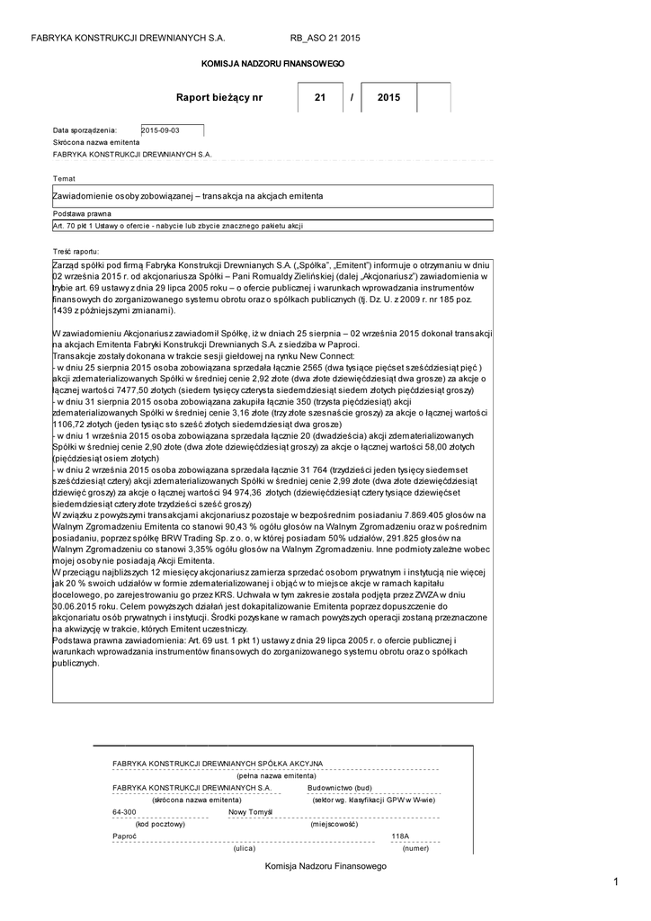
FABRYKA KONSTRUKCJI DREWNIANYCH S.A.
RB_ASO 21 2015
KOMISJA NADZORU FINANSOWEGO
Raport bieżący nr
Data sporządzenia:
21
/
2015
2015-09-03
Skróc ona nazwa emitenta
FABRYKA KONSTRUKCJI DREWNIANYCH S.A.
Temat
Zawiadomienie osoby zobowiązanej – transakcja na akcjach emitenta
Podstawa prawna
Art. 70 pkt 1 Ustawy o oferc ie - nabyc ie lub zbycie znac znego pakietu akcji
Treść raportu:
Zarząd spółki pod firmą Fabryka Konstrukcji Drewnianych S.A. („Spółka”, „Emitent”) informuje o otrzymaniu w dniu
02 września 2015 r. od akcjonariusza Spółki – Pani Romualdy Zielińskiej (dalej „Akcjonariusz”) zawiadomienia w
trybie art. 69 ustawy z dnia 29 lipca 2005 roku – o ofercie publicznej i warunkach wprowadzania instrumentów
finansowych do zorganizowanego systemu obrotu oraz o spółkach publicznych (tj. Dz. U. z 2009 r. nr 185 poz.
1439 z późniejszymi zmianami).
W zawiadomieniu Akcjonariusz zawiadomił Spółkę, iż w dniach 25 sierpnia – 02 września 2015 dokonał transakcji
na akcjach Emitenta Fabryki Konstrukcji Drewnianych S.A. z siedziba w Paproci.
Transakcje zostały dokonana w trakcie sesji giełdowej na rynku New Connect:
- w dniu 25 sierpnia 2015 osoba zobowiązana sprzedała łącznie 2565 (dwa tysiące pięćset sześćdziesiąt pięć )
akcji zdematerializowanych Spółki w średniej cenie 2,92 złote (dwa złote dziewięćdziesiąt dwa grosze) za akcje o
łącznej wartości 7477,50 złotych (siedem tysięcy czterysta siedemdziesiąt siedem złotych pięćdziesiąt groszy)
- w dniu 31 sierpnia 2015 osoba zobowiązana zakupiła łącznie 350 (trzysta pięćdziesiąt) akcji
zdematerializowanych Spółki w średniej cenie 3,16 złote (trzy złote szesnaście groszy) za akcje o łącznej wartości
1106,72 złotych (jeden tysiąc sto sześć złotych siedemdziesiąt dwa grosze)
- w dniu 1 września 2015 osoba zobowiązana sprzedała łącznie 20 (dwadzieścia) akcji zdematerializowanych
Spółki w średniej cenie 2,90 złote (dwa złote dziewięćdziesiąt groszy) za akcje o łącznej wartości 58,00 złotych
(pięćdziesiąt osiem złotych)
- w dniu 2 września 2015 osoba zobowiązana sprzedała łącznie 31 764 (trzydzieści jeden tysięcy siedemset
sześćdziesiąt cztery) akcji zdematerializowanych Spółki w średniej cenie 2,99 złote (dwa złote dziewięćdziesiąt
dziewięć groszy) za akcje o łącznej wartości 94 974,36 złotych (dziewięćdziesiąt cztery tysiące dziewięćset
siedemdziesiąt cztery złote trzydzieści sześć groszy)
W związku z powyższymi transakcjami akcjonariusz pozostaje w bezpośrednim posiadaniu 7.869.405 głosów na
Walnym Zgromadzeniu Emitenta co stanowi 90,43 % ogółu głosów na Walnym Zgromadzeniu oraz w pośrednim
posiadaniu, poprzez spółkę BRW Trading Sp. z o. o, w której posiadam 50% udziałów, 291.825 głosów na
Walnym Zgromadzeniu co stanowi 3,35% ogółu głosów na Walnym Zgromadzeniu. Inne podmioty zależne wobec
mojej osoby nie posiadają Akcji Emitenta.
W przeciągu najbliższych 12 miesięcy akcjonariusz zamierza sprzedać osobom prywatnym i instytucją nie więcej
jak 20 % swoich udziałów w formie zdematerializowanej i objąć w to miejsce akcje w ramach kapitału
docelowego, po zarejestrowaniu go przez KRS. Uchwała w tym zakresie została podjęta przez ZWZA w dniu
30.06.2015 roku. Celem powyższych działań jest dokapitalizowanie Emitenta poprzez dopuszczenie do
akcjonariatu osób prywatnych i instytucji. Środki pozyskane w ramach powyższych operacji zostaną przeznaczone
na akwizycję w trakcie, których Emitent uczestniczy.
Podstawa prawna zawiadomienia: Art. 69 ust. 1 pkt 1) ustawy z dnia 29 lipca 2005 r. o ofercie publicznej i
warunkach wprowadzania instrumentów finansowych do zorganizowanego systemu obrotu oraz o spółkach
publicznych.
FABRYKA KONSTRUKCJI DREWNIANYCH SPÓŁKA AKCYJNA
(pełna nazwa emitenta)
FABRYKA KONSTRUKCJI DREWNIANYCH S.A.
(skróc ona nazwa emitenta)
64-300
Budownic two (bud)
(sektor wg. klasyfikac ji GPW w W-wie)
Nowy Tomyśl
(kod poc ztowy)
(miejscowość)
Paproć
118A
(ulica)
(numer)
Komisja Nadzoru Finansowego
1
FABRYKA KONSTRUKCJI DREWNIANYCH S.A.
+48 61 44 25 155
RB_ASO 21 2015
+48 61 44 25 156
(telefon)
(fax)
(e-mail)
(www)
7881965071
301087258
(NIP)
(REGON)
Komisja Nadzoru Finansowego
2