Specyfikacja - e

Transkrypt

Specyfikacja - e
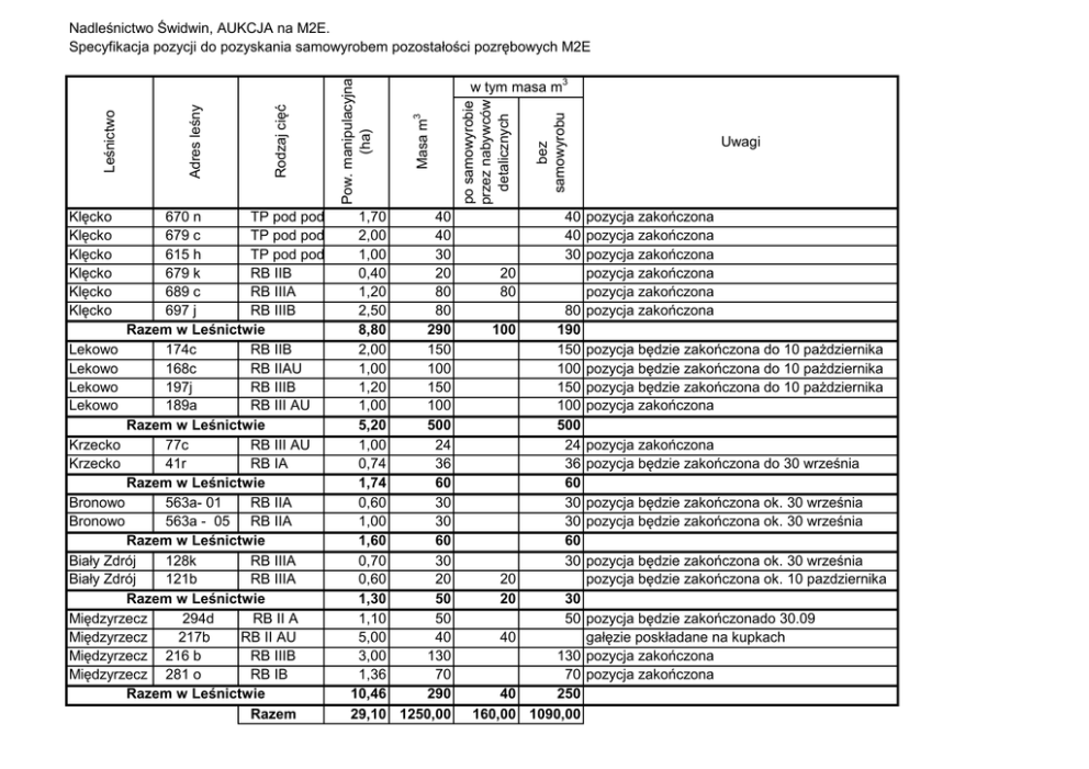
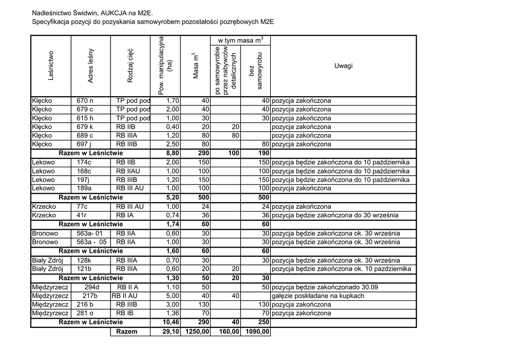
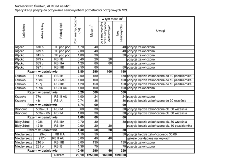
Klęcko
Klęcko
Klęcko
Klęcko
Klęcko
Klęcko
670 n
TP pod podsadzenia
1,70
40
TP pod podsadzenia
2,00
40
679 c
615 h
TP pod podsadzenia
1,00
30
679 k
RB IIB
0,40
20
689 c
RB IIIA
1,20
80
697 j
RB IIIB
2,50
80
8,80
290
Razem w Leśnictwie
Lekowo
174c
RB IIB
2,00
150
Lekowo
168c
RB IIAU
1,00
100
Lekowo
197j
RB IIIB
1,20
150
Lekowo
189a
RB III AU
1,00
100
5,20
500
Razem w Leśnictwie
Krzecko
77c
RB III AU
1,00
24
Krzecko
41r
RB IA
0,74
36
Razem w Leśnictwie
1,74
60
Bronowo
563a- 01
RB IIA
0,60
30
Bronowo
563a - 05 RB IIA
1,00
30
1,60
60
Razem w Leśnictwie
Biały Zdrój
128k
RB IIIA
0,70
30
Biały Zdrój
121b
RB IIIA
0,60
20
Razem w Leśnictwie
1,30
50
Międzyrzecz
294d
RB II A
1,10
50
Międzyrzecz
217b
RB II AU
5,00
40
Międzyrzecz 216 b
RB IIIB
3,00
130
Międzyrzecz 281 o
RB IB
1,36
70
10,46
290
Razem w Leśnictwie
Razem
29,10 1250,00
20
80
100
20
20
40
40
160,00
bez
samowyrobu
po samowyrobie
przez nabywców
detalicznych
w tym masa m3
Masa m3
Pow. manipulacyjna
(ha)
Rodzaj cięć
Adres leśny
Leśnictwo
Nadleśnictwo Świdwin, AUKCJA na M2E.
Specyfikacja pozycji do pozyskania samowyrobem pozostałości pozrębowych M2E
Uwagi
40 pozycja zakończona
40 pozycja zakończona
30 pozycja zakończona
pozycja zakończona
pozycja zakończona
80 pozycja zakończona
190
150 pozycja będzie zakończona do 10 pażdziernika
100 pozycja będzie zakończona do 10 pażdziernika
150 pozycja będzie zakończona do 10 pażdziernika
100 pozycja zakończona
500
24 pozycja zakończona
36 pozycja będzie zakończona do 30 września
60
30 pozycja będzie zakończona ok. 30 września
30 pozycja będzie zakończona ok. 30 września
60
30 pozycja będzie zakończona ok. 30 września
pozycja będzie zakończona ok. 10 pazdziernika
30
50 pozycja będzie zakończonado 30.09
gałęzie poskładane na kupkach
130 pozycja zakończona
70 pozycja zakończona
250
1090,00