Test - Home.pl

Transkrypt

Test - Home.pl
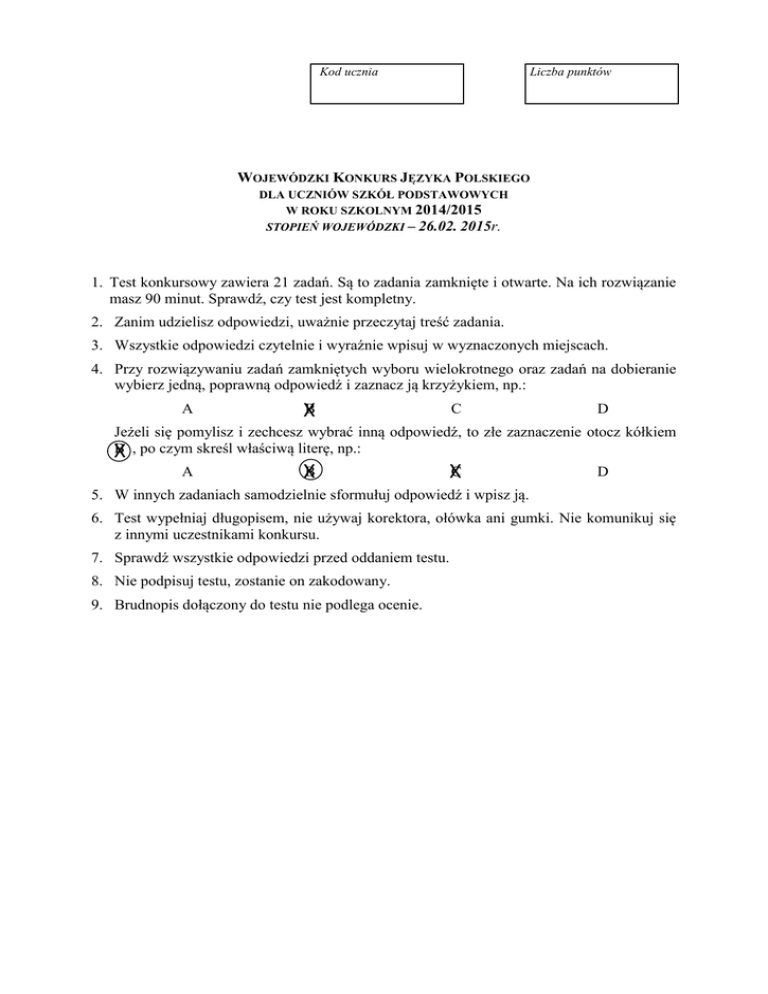
Liczba punktów
Kod ucznia
WOJEWÓDZKI KONKURS JĘZYKA POLSKIEGO
DLA UCZNIÓW SZKÓŁ PODSTAWOWYCH
W ROKU SZKOLNYM 2014/2015
STOPIEŃ WOJEWÓDZKI – 26.02. 2015r.
1. Test konkursowy zawiera 21 zadań. Są to zadania zamknięte i otwarte. Na ich rozwiązanie
masz 90 minut. Sprawdź, czy test jest kompletny.
2. Zanim udzielisz odpowiedzi, uważnie przeczytaj treść zadania.
3. Wszystkie odpowiedzi czytelnie i wyraźnie wpisuj w wyznaczonych miejscach.
4. Przy rozwiązywaniu zadań zamkniętych wyboru wielokrotnego oraz zadań na dobieranie
wybierz jedną, poprawną odpowiedź i zaznacz ją krzyżykiem, np.:
A
XB
C
D
Jeżeli się pomylisz i zechcesz wybrać inną odpowiedź, to złe zaznaczenie otocz kółkiem
XB , po czym skreśl właściwą literę, np.:
A
XB
XC
D
5. W innych zadaniach samodzielnie sformułuj odpowiedź i wpisz ją.
6. Test wypełniaj długopisem, nie używaj korektora, ołówka ani gumki. Nie komunikuj się
z innymi uczestnikami konkursu.
7. Sprawdź wszystkie odpowiedzi przed oddaniem testu.
8. Nie podpisuj testu, zostanie on zakodowany.
9. Brudnopis dołączony do testu nie podlega ocenie.
WOJEWÓDZKIE KONKURSY PRZEDMIOTOWE 2014/2015 – SZKOŁA PODSTAWOWA
STOPIEŃ WOJEWÓDZKI
Tekst I
Jan Kochanowski
Na młodość
Jakoby też rok bez wiosny mieć chcieli,
Którzy chcą, żeby młodzi nie szaleli.
Zadanie 1. (1 p.)
Dokończ poniższe zdanie – wybierz właściwą odpowiedź spośród podanych.
Według Kochanowskiego skłonność do zabawy jest u młodych ludzi cechą
A. rzadką.
B. typową.
C. naganną.
D. zaskakującą.
Tekst II
Jan Kochanowski
Na starość
Biedna starości, wszyscy cię żądamy,
A kiedy przyjdziesz, to zaś narzekamy.
Zadanie 2. (1 p.)
Które przysłowie wyraża podobną myśl jak fraszka Na starość? Wybierz odpowiedź
spośród podanych.
A. Kto sieje wiatr, ten zbiera burzę.
B. Przysłowie to stare: We wszystkim znaj miarę.
C. Jeszcze się taki nie urodził, co by każdemu dogodził.
D. Czego się Jaś nie nauczy, tego Jan nie będzie umiał.
Zadanie 3. (1 p.)
Które zdanie informuje o cechach gatunkowych fraszek Na młodość i Na starość?
Wybierz odpowiedź spośród podanych.
A. Zostały napisane przez Jana Kochanowskiego.
B. Odnoszą się do życia człowieka.
C. Mają formę zdań złożonych.
D. Są zwięzłe i dowcipne.
2 z 12
WOJEWÓDZKIE KONKURSY PRZEDMIOTOWE 2014/2015 – SZKOŁA PODSTAWOWA
STOPIEŃ WOJEWÓDZKI
Tekst III
Jan Sztaudynger
Przyjaciel
Dał mi przyjaźni dowody,
Utopił mnie w łyżce wody.
Zadanie 4. (2 p.)
Napisz, jaki frazeologizm został wykorzystany we fraszce Przyjaciel. Wyjaśnij jego
znaczenie.
frazeologizm – ………………………………………………………………………………….
znaczenie – ……………………………………………………………………………………..
Tekst IV
Jan Sztaudynger
Skromny
Opierał czubek swego nosa
O niebiosa.
Zadanie 5. (2 p.)
Wyjaśnij, jaką funkcję pełni tytuł fraszki Skromny. Uzasadnij swoją odpowiedź.
………………………………………………………………………………………………….
………………………………………………………………………………………………….
…………………………………………………………………………………………………..
Tekst V
„Ojciec go nie chce”... Było w tym zdaniu coś przerażającego. Zdarzało się przecież,
że dorośli wspominali o jakichś złych rodzicach, o zaniedbywanych, niekochanych dzieciach
– nigdy jednak ani Pestka, ani Marian i Julek nie zetknęli się z kimś takim bezpośrednio.
Czuli takie zdumienie, jakby się dowiedzieli, że po zimie nie będzie wiosny, że po nocy nie
będzie dnia. Ojciec może się gniewać, może nawet być niesprawiedliwy, ale przecież to
ojciec! A dom? Bywa w nim wesoło lub nudno, przyjemnie, czasem źle – ale jak można
być gdzie indziej? Chętnie się z niego wybiega, odchodzi, wyjeżdża – ale zawsze się do
niego wraca, bo to jest jedyne miejsce na świecie, które tak do każdego pasuje jak skóra
do ciała.
Pestce staje przed oczami jej kącik w warszawskim pokoju mamy, gdzie stoi stolik
z dwiema szufladami, przy którym odrabia się lekcje. W szufladach, oprócz zeszytów, są
rozmaite rzeczy, do których jest się przywiązanym i które miło wziąć w rękę, żeby oddalić
pisanie ćwiczenia czy wypracowania choć na chwilę. Ojciec, wróciwszy z biura, wkłada tu
czasem czekoladę albo jabłko, albo pomarańczę. Robi to zawsze niepostrzeżenie. Pestka,
znajdując prezencik, udaje, że nie ma pojęcia, skąd się mógł wziąć, ojciec robi minę
człowieka, który nie rozumie, o co chodzi, i zwala wszystko na mamę, mama odrzuca
podejrzenie w sposób kategoryczny – i wszyscy troje śmieją się, że w domu muszą być
duchy...
3 z 12
WOJEWÓDZKIE KONKURSY PRZEDMIOTOWE 2014/2015 – SZKOŁA PODSTAWOWA
STOPIEŃ WOJEWÓDZKI
Marian widzi przed sobą ojca, który siedzi po drugiej stronie dużego stołu, w kręgu
lampy... Rozłożył arkusz milimetrowego papieru, rysuje i robi obliczenia, niedługo zacznie
budowę nowego budynku. Przyjemnie jest patrzeć na precyzyjne, cienkie linie, na małe
i równo wypisane cyferki, toteż Marian często odrywa wzrok od książki. W jakiejś chwili
mama każe im się „z tym wszystkim” zabierać, będzie szykowała kolację. Ojciec protestuje,
mruczy, wreszcie jednak składa papiery i mówi: „Chodź, synu, my tu nie rządzimy. Tylko
mama tu rządzi, znaczymy tu tyle, co nic”. I od razu wie się doskonale, że te rządy bardzo się
ojcu podobają...
Julkowi przypomina się uchwyt maminej ręki, która go zatrzymuje w progu.
„A szalik? A czapka?” Bierze się szalik i czapkę, przy sposobności mama wsuwa do teczki
cukierek albo kawałek słodkiej bułki, jeżeli tylko coś takiego jest w domu, i mówi do Heli:
„Helciu, idźcie razem, jesteś starsza, pilnuj, żeby się nie spóźnił i niech nie lata
z chłopakami”. Julek za plecami mamy pokazuje Heli język, co oznacza, że i tak zaraz za
rogiem wyrwie się spod siostrzanej opieki. Co innego, jeżeli idzie się z ojcem. Ojciec, który
w domu porządnie nieraz na syna huknie, na ulicy rozmawia z nim jak z dorosłym,
a z każdym ze spotkanych kolegów zagaja o ostatnich meczach. Koledzy mówią: „Twój
ojciec jest fajny, wiesz?”
Więc może tego wszystkiego nie być? Może istnieć taki ojciec, który zamiast osłaniać
swoje dziecko jak tarcza i troszczyć się, żeby nie spotkało go nic złego, mówi: „Idź sobie,
wcale cię nie potrzebuję”?
Irena Jurgielewiczowa, Ten obcy, Warszawa 1992.
Zadanie 6. (5 p.)
Napisz notatkę o sytuacji rodzinnej każdego z pięciorga bohaterów powieści Ten obcy.
Pamiętaj o poprawności językowej, ortograficznej i interpunkcyjnej.
…………………………………………………………………………………………………
…………………………………………………………………………………………………
…………………………………………………………………………………………………
…………………………………………………………………………………………………
…………………………………………………………………………………………………
…………………………………………………………………………………………………
…………………………………………………………………………………………………
…………………………………………………………………………………………………
…………………………………………………………………………………………………
…………………………………………………………………………………………………
…………………………………………………………………………………………………
…………………………………………………………………………………………………
…………………………………………………………………………………………………
………………………………………………………………………………………………….
………………………………………………………………………………………………….
………………………………………………………………………………………………….
………………………………………………………………………………………………….
…………………………………………………………………………………………………..
4 z 12
WOJEWÓDZKIE KONKURSY PRZEDMIOTOWE 2014/2015 – SZKOŁA PODSTAWOWA
STOPIEŃ WOJEWÓDZKI
…………………………………………………………………………………………………
…………………………………………………………………………………………………
…………………………………………………………………………………………………
…………………………………………………………………………………………………...
…………………………………………………………………………………………………
Zadanie 7. (1 p.)
Z wytłuszczonego fragmentu Tekstu V wypisz trzy pary antonimów i dwie pary
synonimów.
…………………………………………………………………………………………………
…………………………………………………………………………………………………
…………………………………………………………………………………………………
Zadanie 8. (4 p.)
Przekształć poniższe wypowiedzenia zgodnie z poleceniami.
A. Przekształć w zdanie złożone podrzędnie następujące zdanie pojedyncze: Było w tym
zdaniu coś przerażającego.
………………………………………………………………………………………..
B. Przekształć w zdanie pojedyncze następujące zdanie złożone: Marian widzi przed sobą
ojca, który siedzi po drugiej stronie dużego stołu, w kręgu lampy...
…………………………………………………………………………………………
…………………………………………………………………………………………
C. Przekształć w zdanie złożone współrzędnie przeciwstawne następujące zdania
pojedyncze: Dorośli wspominali o jakichś złych rodzicach, o zaniedbywanych,
niekochanych dzieciach. Pestka, Marian i Julek nie zetknęli się z kimś takim
bezpośrednio.
…………………………………………………………………………………………
…………………………………………………………………………………………
D. Przekształć w równoważnik zdania następujące zdanie złożone: Dom to jest jedyne
miejsce na świecie, które tak do każdego pasuje jak skóra do ciała.
…………………………………………………………………………………………
…………………………………………………………………………………………
5 z 12
WOJEWÓDZKIE KONKURSY PRZEDMIOTOWE 2014/2015 – SZKOŁA PODSTAWOWA
STOPIEŃ WOJEWÓDZKI
Zadanie 9. (2 p.)
W Tekście V podkreśl dwa przykłady wypowiedzeń, w których użyto mowy niezależnej
i przekształć je w mowę zależną.
…………………………………………………………………………………………………
…………………………………………………………………………………………………
…………………………………………………………………………………………………
………………………………………………………………………………………………….
…………………………………………………………………………………………………
…………………………………………………………………………………………………
Zadanie 10. (4 p.)
W podanym zdaniu nazwij wszystkie odmienne części mowy i określ ich formy
fleksyjne. Przy czasownikach podaj osobę, liczbę, rodzaj, czas i tryb. Przy pozostałych
odmiennych częściach mowy określ przypadek, liczbę i rodzaj.
Rozłożył arkusz milimetrowego papieru, rysuje i robi obliczenia, niedługo zacznie budowę
nowego budynku.
…………………………………………………………………………………………………
…………………………………………………………………………………………………
…………………………………………………………………………………………………
…………………………………………………………………………………………….
…………………………………………………………………………………………………
…………………………………………………………………………………………………
…………………………………………………………………………………………………
………………………………………………………………………………………………….
…………………………………………………………………………………………………
…………………………………………………………………………………………………
…………………………………………………………………………………………………
Zadanie 11. (1 p.)
Wybierz odpowiedź A albo B i jej uzasadnienie spośród 1 – 2.
Bywa w nim wesoło lub nudno, przyjemnie, czasem źle – ale jak można być gdzie indziej?
Podkreślone w zdaniu wyrazy pełnią funkcję
A.
okoliczników,
1.
ponieważ
B.
dopełnień,
2.
6 z 12
uzupełniają informacje na temat
przedmiotu czynności; są określeniem
czasownika.
informują o okolicznościach czynności,
jaka się dzieje w zdaniu, czyli np.
o miejscu, czasie, sposobie.
WOJEWÓDZKIE KONKURSY PRZEDMIOTOWE 2014/2015 – SZKOŁA PODSTAWOWA
STOPIEŃ WOJEWÓDZKI
Tekst VI
Danuta Wawiłow
Moja siostra królewna
Moja siostra królewna
ma z papieru koronę
i ma długie warkocze,
i ma oczy zielone,
moja siostra królewna.
Moja siostra królewna
jest najlepsza na świecie,
kiedy bajki mi czyta
albo gra mi na flecie,
moja siostra królewna.
A jak stoi przed lustrem
i mnie wcale nie słucha,
wtedy mówię jej na złość,
że jest wstrętna ropucha,
a nie żadna królewna.
Jak ją rąbnę niechcący,
zaraz leci do mamy,
ale to jest nieważne,
bo i tak się kochamy
z moją siostrą królewną.
Rano idzie do szkoły
w swym czerwonym berecie
i z tornistrem na plecach,
a wy wcale nie wiecie,
że to idzie królewna.
Zadanie 12. (2 p.)
Wiersz Moja siostra królewna oraz powieść Bracia Lwie Serce łączy podobna
problematyka. Udowodnij to, podając dwa argumenty.
…………………………………………………………………………………………………
…………………………………………………………………………………………………
…………………………………………………………………………………………………
………………………………………………………………………………………………….
…………………………………………………………………………………………………
…………………………………………………………………………………………………
7 z 12
WOJEWÓDZKIE KONKURSY PRZEDMIOTOWE 2014/2015 – SZKOŁA PODSTAWOWA
STOPIEŃ WOJEWÓDZKI
Zadanie 13. (2 p.)
Sucharek, narrator powieści, uważa, że gdyby wszyscy byli tacy, jak Jonatan, to nie byłoby
żadnego zła. Czy zgadzasz się z tym stwierdzeniem? Sformułuj dwa argumenty
potwierdzające Twoją opinię.
…………………………………………………………………………………………………
…………………………………………………………………………………………………
…………………………………………………………………………………………………
…………………………………………………………………………………………………
…………………………………………………………………………………………………
…………………………………………………………………………………………………
Zadanie 14. (4 p.)
Mądrą jest taka książka, która pokazuje, że w życiu nie wszystko jest łatwe i przyjemne.
Rozwiń w 7 – 8 zdaniach tę myśl, odwołując się do powieści Bracia Lwie Serce. Zachowaj
poprawność językową, ortograficzną i interpunkcyjną.
…………………………………………………………………………………………………
…………………………………………………………………………………………………
…………………………………………………………………………………………………
…………………………………………………………………………………………………
…………………………………………………………………………………………………
…………………………………………………………………………………………………
…………………………………………………………………………………………………
…………………………………………………………………………………………………
…………………………………………………………………………………………………
…………………………………………………………………………………………………
…………………………………………………………………………………………………
…………………………………………………………………………………………………
Tekst VII
Było to tajemniczo wyglądające, najrozkoszniejsze miejsce, jakie można sobie
wyobrazić. Wysoki mur, okalający ogród, od wewnątrz pokryty był bezlistnymi gałęziami
pnących róż, tak gęstymi, że wprost nie do rozplątania. Mary poznała, że są to krzaki róż,
ponieważ dużo widziała ich w Indiach. Ziemia zarosła wszędzie zrudziałą trawą; wyrastały
z niej tu i ówdzie krzewy, a gdyby zakwitły, okazałyby się również różami. Było tam
mnóstwo róż sztamowych o tak rozrośniętych koronach, że wyglądały jak drzewa.
W ogrodzie rosło jeszcze wiele innych drzew, a jakiś specjalny, czarowny urok nadawało mu
to, że po wszystkich drzewach pięły się róże, wypuszczając w dół długie, wiotkie warkocze
gałązek, chwytające się wzajem tu i ówdzie, czepiające się wyżej rosnących gałęzi i tworzące
czarujące łuki i arkady. Nie było na nich teraz ani listków, ani kwiatów i Mary nie wiedziała,
8 z 12
WOJEWÓDZKIE KONKURSY PRZEDMIOTOWE 2014/2015 – SZKOŁA PODSTAWOWA
STOPIEŃ WOJEWÓDZKI
czy żyją, czy też obumarły, lecz ich cienkie, wiotkie, szarobrunatne gałązki i pędy wyglądały
jak mglista zasłona, opadająca na mury i drzewa, a nawet na rudą trawę, po której pełzały ich
wężowe skręty. I ta właśnie delikatna gmatwanina, zwieszająca się od drzewa do drzewa,
nadawała ogrodowi tajemniczy urok. Mary przypuszczała, że musi on być odmienny od
innych ogrodów, których nie zostawiono tak długo w zaniedbaniu. Istotnie, różnił się on
zupełnie od wszystkich, jakie w życiu swym widziała.
Frances H. Burnett, Tajemniczy ogród, Kraków 2013.
Zadanie 15. (2 p.)
Zredaguj cztery pytania, na które znajdziesz odpowiedź w przytoczonym fragmencie
powieści F. H. Burnett pt. Tajemniczy ogród. Zachowaj porządek chronologiczny.
………………………………………………………………………………………………….
………………………………………………………………………………………………….
………………………………………………………………………………………………….
…………………………………………………………………………………………………..
Zadanie 16. (2 p.)
Zapisz reguły ortograficzne objaśniające pisownię podkreślonych w Tekście VII
wyrazów.
…………………………………………………………………………………………………
…………………………………………………………………………………………………
…………………………………………………………………………………………………
…………………………………………………………………………………………………
…………………………………………………………………………………………………
…………………………………………………………………………………………………
Zadanie 17. (3 p.)
Dla Mary, Colina i Archibalda Cravena – bohaterów powieści F. H. Burnett – ogród
okazał się miejscem magicznym. Udowodnij to, odwołując się do znajomości całego
utworu. W uzasadnieniu podaj przynajmniej po 2 przykłady wpływu ogrodu na
pozytywne zmiany każdego z bohaterów.
…………………………………………………………………………………………………
…………………………………………………………………………………………………
…………………………………………………………………………………………………
…………………………………………………………………………………………………
…………………………………………………………………………………………………
…………………………………………………………………………………………………
…………………………………………………………………………………………………
…………………………………………………………………………………………………
…………………………………………………………………………………………………
9 z 12
WOJEWÓDZKIE KONKURSY PRZEDMIOTOWE 2014/2015 – SZKOŁA PODSTAWOWA
STOPIEŃ WOJEWÓDZKI
Tekst VIII
Tajemniczy ogród Agnieszki Holland przyjęto kilkuminutową owacją na stojąco.
Ściskano reżyserkę, rzucano się na szyję polskiemu dystrybutorowi1 filmu – Jackowi
Szumlasowi. Uśmiechano się do siebie. Wszyscy na jedną chwilę stali się lepsi. Co druga
osoba przyznawała się do tego, że Tajemniczy ogród był jej ulubioną powieścią dzieciństwa.
Na podstawie: Bożena Sycówna, Ogród wewnętrzny, Kino 1980.
1
dystrybutor – osoba zajmująca się dystrybucją, czyli rozprowadzaniem jakichś produktów
Zadanie 18. (1 p.)
Czy Ty również przyjęłaś/przyjąłeś ten film „kilkuminutową owacją na stojąco”?
Uzasadnij swoją opinię.
…………………………………………………………………………………………………
…………………………………………………………………………………………………
…………………………………………………………………………………………………
…………………………………………………………………………………………………
…………………………………………………………………………………………………
Zadanie 19. (1 p.)
Wymień cztery różnice między książką a filmem pt. Tajemniczy ogród.
…………………………………………………………………………………………………
…………………………………………………………………………………………………
…………………………………………………………………………………………………
…………………………………………………………………………………………………
…………………………………………………………………………………………………
…………………………………………………………………………………………………
Zadanie 20. (2 p.)
Czy mimo dostrzeżonych przez Ciebie różnic między książką a filmem uznasz, że film
jest wierny powieści – zachowuje z niej to, co najważniejsze? Uzasadnij swoją opinię,
przytaczając co najmniej dwa argumenty.
…………………………………………………………………………………………………
…………………………………………………………………………………………………
…………………………………………………………………………………………………
…………………………………………………………………………………………………
…………………………………………………………………………………………………
…………………………………………………………………………………………………
…………………………………………………………………………………………………
10 z 12
WOJEWÓDZKIE KONKURSY PRZEDMIOTOWE 2014/2015 – SZKOŁA PODSTAWOWA
STOPIEŃ WOJEWÓDZKI
Zadanie 21. (7 p.)
Jaka jest Mary Lennox w powieści, a jaka w filmie? Opisz postać głównej bohaterki.
Twoja praca powinna zająć przynajmniej połowę wyznaczonego miejsca.
…………………………………………………………………………………………………
…………………………………………………………………………………………………
…………………………………………………………………………………………………
…………………………………………………………………………………………………
…………………………………………………………………………………………………
…………………………………………………………………………………………………
…………………………………………………………………………………………………
…………………………………………………………………………………………………
…………………………………………………………………………………………………
…………………………………………………………………………………………………
…………………………………………………………………………………………………
…………………………………………………………………………………………………
…………………………………………………………………………………………………
…………………………………………………………………………………………………
…………………………………………………………………………………………………
…………………………………………………………………………………………………
…………………………………………………………………………………………………
…………………………………………………………………………………………………
…………………………………………………………………………………………………
…………………………………………………………………………………………………
…………………………………………………………………………………………………
…………………………………………………………………………………………………
…………………………………………………………………………………………………
…………………………………………………………………………………………………
…………………………………………………………………………………………………
…………………………………………………………………………………………………
…………………………………………………………………………………………………
…………………………………………………………………………………………………
…………………………………………………………………………………………………
…………………………………………………………………………………………………
…………………………………………………………………………………………………
11 z 12
WOJEWÓDZKIE KONKURSY PRZEDMIOTOWE 2014/2015 – SZKOŁA PODSTAWOWA
STOPIEŃ WOJEWÓDZKI
Brudnopis (nie jest sprawdzany)
…………………………………………………………………………………………………
…………………………………………………………………………………………………
…………………………………………………………………………………………………
…………………………………………………………………………………………………
…………………………………………………………………………………………………
…………………………………………………………………………………………………
………………………………………………………………………………………………….
…………………………………………………………………………………………………
…………………………………………………………………………………………………
…………………………………………………………………………………………………
…………………………………………………………………………………………………
…………………………………………………………………………………………………
…………………………………………………………………………………………………
…………………………………………………………………………………………………
…………………………………………………………………………………………………
………………………………………………………………………………………………….
…………………………………………………………………………………………………
………………………………………………………………………………………………….
………………………………………………………………………………………………….
………………………………………………………………………………………………….
………………………………………………………………………………………………….
………………………………………………………………………………………………….
………………………………………………………………………………………………….
………………………………………………………………………………………………….
………………………………………………………………………………………………….
………………………………………………………………………………………………….
………………………………………………………………………………………………….
………………………………………………………………………………………………….
………………………………………………………………………………………………….
………………………………………………………………………………………………….
………………………………………………………………………………………………….
………………………………………………………………………………………………….
12 z 12