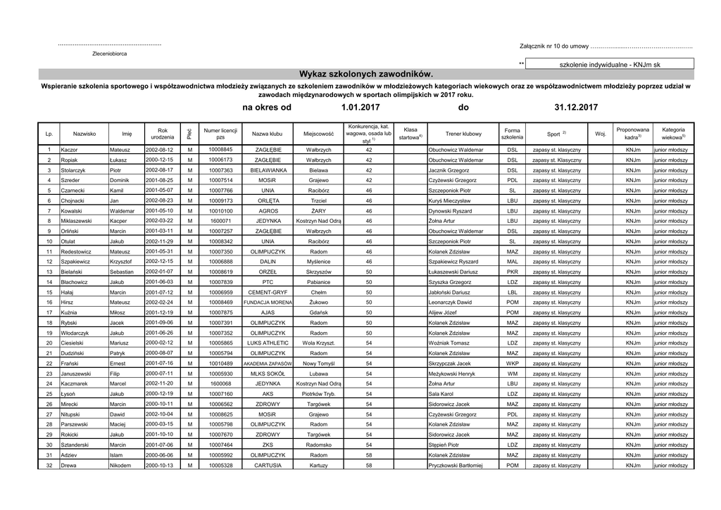
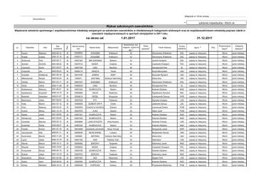
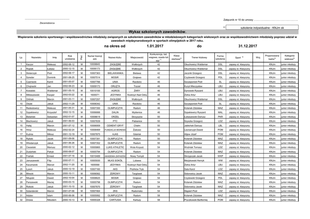
PROJEKT - kadra KNJm zapasy styl klasyczny stan na 10.01.2017

Transkrypt

PROJEKT - kadra KNJm zapasy styl klasyczny stan na 10.01.2017
........................................................
Załącznik nr 10 do umowy ………….......…………………………….
Zleceniobiorca
**
szkolenie indywidualne - KNJm sk
Wykaz szkolonych zawodników.
Wspieranie szkolenia sportowego i współzawodnictwa młodzieży związanych ze szkoleniem zawodników w młodzieżowych kategoriach wiekowych oraz ze współzawodnictwem młodzieży poprzez udział w
zawodach międzynarodowych w sportach olimpijskich w 2017 roku.
na okres od
Miejscowość
Konkurencja, kat.
wagowa, osada lub
styl 1)
Klasa
startowa4)
31.12.2017
Kategoria
wiekowa5)
1
Kaczor
Mateusz
2002-08-12
M
10008845
ZAGŁĘBIE
Wałbrzych
42
Obuchowicz Waldemar
DSL
zapasy st. klasyczny
KNJm
junior młodszy
2
Ropiak
Łukasz
2000-12-15
M
10006173
ZAGŁĘBIE
Wałbrzych
42
Obuchowicz Waldemar
DSL
zapasy st. Klasyczny
KNJm
junior młodszy
3
Stolarczyk
Piotr
2002-08-17
M
10007363
BIELAWIANKA
Bielawa
42
Jacznik Grzegorz
DSL
zapasy st. klasyczny
KNJm
junior młodszy
4
Szreder
Dominik
2001-08-25
M
10007514
MOSiR
Grajewo
42
Czyżewski Grzegorz
PDL
zapasy st. klasyczny
KNJm
junior młodszy
5
Czarnecki
Kamil
2001-05-07
M
10007766
UNIA
Racibórz
46
Szczeponiok Piotr
SL
zapasy st. klasyczny
KNJm
junior młodszy
6
Chojnacki
Jan
2002-08-23
M
10009173
ORLĘTA
Trzciel
46
Kuryś Mieczysław
LBU
zapasy st. klasyczny
KNJm
junior młodszy
7
Kowalski
Waldemar
2001-05-10
M
10010100
AGROS
ŻARY
46
Dynowski Ryszard
LBU
zapasy st. klasyczny
KNJm
junior młodszy
8
Miklaszewski
Kacper
2002-03-22
M
1600071
JEDYNKA
Kostrzyn Nad Odrą
46
Żołna Artur
LBU
zapasy st. klasyczny
KNJm
junior młodszy
9
Orliński
Marcin
2001-03-11
M
10007257
ZAGŁĘBIE
Wałbrzych
46
Obuchowicz Waldemar
DSL
zapasy st. klasyczny
KNJm
junior młodszy
10
Otulat
Jakub
2002-11-29
M
10008342
UNIA
Racibórz
46
Szczeponiok Piotr
SL
zapasy st. klasyczny
KNJm
junior młodszy
11
Redestowicz
Mateusz
2001-05-31
M
10007350
OLIMPIJCZYK
Radom
46
Kolanek Zdzisław
MAZ
zapasy st. klasyczny
KNJm
junior młodszy
12
Szpakiewicz
Krzysztof
2002-12-15
M
10006888
DALIN
Myślenice
46
Szpakiewicz Ryszard
MAL
zapasy st. klasyczny
KNJm
junior młodszy
13
Bielański
Sebastian
2002-01-07
M
10008619
ORZEŁ
Skrzyszów
50
Łukaszewski Dariusz
PKR
zapasy st. klasyczny
KNJm
junior młodszy
14
Błachowicz
Jakub
2001-06-03
M
10007839
PTC
Pabianice
50
Szyszka Grzegorz
LDZ
zapasy st. klasyczny
KNJm
junior młodszy
15
Hałaj
Marcin
2001-07-12
M
10006959
CEMENT-GRYF
Chełm
50
Jabłoński Dariusz
LBL
zapasy st. klasyczny
KNJm
junior młodszy
16
Hirsz
Mateusz
2002-02-24
M
10008469
FUNDACJA MORENA
Żukowo
50
Leonarczyk Dawid
POM
zapasy st. klasyczny
KNJm
junior młodszy
17
Kuźnia
Miłosz
2001-12-19
M
10007875
AJAS
Gdańsk
50
Alijew Józef
POM
zapasy st. klasyczny
KNJm
junior młodszy
18
Rybski
Jacek
2001-09-06
M
10007391
OLIMPIJCZYK
Radom
50
Kolanek Zdzisław
MAZ
zapasy st. klasyczny
KNJm
junior młodszy
19
Włodarczyk
Jakub
2001-06-26
M
10007352
OLIMPIJCZYK
Radom
50
Kolanek Zdzisław
MAZ
zapasy st. klasyczny
KNJm
junior młodszy
20
Ciesielski
Mariusz
2000-02-12
M
10005865
LUKS ATHLETIC
Wola Krzyszt.
54
Woźniak Tomasz
LDZ
zapasy st. klasyczny
KNJm
junior młodszy
21
Dudziński
Patryk
2000-08-07
M
10005794
OLIMPIJCZYK
Radom
54
Kolanek Zdzisław
MAZ
zapasy st. klasyczny
KNJm
junior młodszy
22
Frański
Ernest
2001-07-16
M
10010489
AKADEMIA ZAPASÓW
Nowy Tomyśl
54
Skrzypczak Jacek
WKP
zapasy st. klasyczny
KNJm
junior młodszy
23
Januszewski
Filip
2000-07-11
M
10005930
MLKS SOKÓŁ
Lubawa
54
Meżykowski Henryk
WM
zapasy st. klasyczny
KNJm
junior młodszy
24
Kaczmarek
Marcel
2002-11-20
M
1600068
JEDYNKA
Kostrzyn Nad Odrą
54
Żołna Artur
LBU
zapasy st. klasyczny
KNJm
junior młodszy
25
Łysoń
Jakub
2000-12-19
M
10007160
AKS
Piotrków Tryb.
54
Sala Karol
LDZ
zapasy st. klasyczny
KNJm
junior młodszy
26
Mirecki
Marcin
2000-10-11
M
10006562
ZDROWY
Targówek
54
Sidorowicz Jacek
MAZ
zapasy st. klasyczny
KNJm
junior młodszy
27
Nitupski
Dawid
2002-10-04
M
10008625
MOSiR
Grajewo
54
Czyżewski Grzegorz
PDL
zapasy st. klasyczny
KNJm
junior młodszy
28
Parszewski
Maciej
2000-03-15
M
10005798
OLIMPIJCZYK
Radom
54
Kolanek Zdzisław
MAZ
zapasy st. klasyczny
KNJm
junior młodszy
29
Rokicki
Jakub
2001-10-10
M
10007670
ZDROWY
Targówek
54
Sidorowicz Jacek
MAZ
zapasy st. klasyczny
KNJm
junior młodszy
30
Sztanderski
Marcin
2001-07-06
M
10007464
ZKS
Radomsko
54
Stępień Piotr
LDZ
zapasy st. klasyczny
KNJm
junior młodszy
31
Adziev
Islam
2000-06-06
M
10005992
OLIMPIJCZYK
Radom
58
Kolanek Zdzisław
MAZ
zapasy st. klasyczny
KNJm
junior młodszy
32
Drewa
Nikodem
2000-10-13
M
10005328
CARTUSIA
Kartuzy
58
Pryczkowski Bartłomiej
POM
zapasy st. klasyczny
KNJm
junior młodszy
Imię
Nazwisko
Trener klubowy
Forma
szkolenia
Proponowana
kadra3)
Płeć
Nazwa klubu
do
Numer licencji
pzs
Lp.
Rok
urodzenia
1.01.2017
Sport
2)
Woj.
33
Gmitrasiuk
Igor
2001-05-21
M
10007157
AKS
Piotrków Tryb.
58
Sala Karol
LDZ
zapasy st. klasyczny
KNJm
junior młodszy
34
Graczykowski
Rafał
2000-10-11
M
10006645
ŚLĄSK
Wrocław
58
Kwit Julian
DSL
zapasy st. klasyczny
KNJm
junior młodszy
35
Kuczmarski
Bartłomiej
2001-01-18
M
10004951
AGROS
Żary
58
Dynowski Ryszard
LBU
zapasy st. klasyczny
KNJm
junior młodszy
36
Milczarz
Dawiad
2000-09-20
M
10004747
GLINICE
Radom
58
Kolanek Zdzisław
MAZ
zapasy st. klasyczny
KNJm
junior młodszy
37
Obuchowicz
Adrian
2001-02-04
M
10007687
JCSW
Jelenia Góra
58
Wieczorkiewicz Mirosław
DSL
zapasy st. klasyczny
KNJm
junior młodszy
38
Olejnik
Kajetan
2002-02-25
M
10008447
AKS
Piotrków Tryb.
58
Sala Karol
LDZ
zapasy st. klasyczny
KNJm
junior młodszy
39
Podolec
Jakub
2002-05-10
M
10009112
KARKONOSZE
Stara Kamienica
58
Łojewski Piotr
DSL
zapasy st. klasyczny
KNJm
junior młodszy
40
Potyrała
Bartosz
2002-09-06
M
10006268
BIELAWIANKA
Bielawa
58
Jacznik Grzegorz
DSL
zapasy st. klasyczny
KNJm
junior młodszy
41
Socha
Karol
2000-10-20
M
10007163
AKS
Piotrków Tryb.
58
Sala Karol
LDZ
zapasy st. klasyczny
KNJm
junior młodszy
42
Stępień
Daniel
2000-05-07
M
10004868
GKS
Bełchatów
58
Olczyk Andrzej
LDZ
zapasy st. klasyczny
KNJm
junior młodszy
43
Witkowski
Adam
2002-04-30
M
10008641
OLIMPIJCZYK
Radom
58
Kolanek Zdzisław
MAZ
zapasy st. klasyczny
KNJm
junior młodszy
44
Didoch
Jakub
2001-08-07
M
10007840
PTC
Pabianice
58
Szyszka Grzegorz
LDZ
zapasy st. klasyczny
KNJm
junior młodszy
45
Głogiewicz
Gracjan
2000-10-03
M
10006385
UNIA
Racibórz
63
Szczeponiok Piotr
SL
zapasy st. klasyczny
KNJm
junior młodszy
46
Kozaczewski
Paweł
2000-07-10
M
10004898
ZTS
Lubsko
63
Sawicki Mirosław
LBU
zapasy st. klasyczny
KNJm
junior młodszy
47
Mielewczyk
Aleksander
2000-08-28
M
10006212
CARTUSIA
Kartuzy
63
Pryczkowski Bartłomiej
POM
zapasy st. klasyczny
KNJm
junior młodszy
48
Nowak
Kamil
2001-10-30
M
10004952
AGROS
Żary
63
Dynowski Ryszard
LBU
zapasy st. klasyczny
KNJm
junior młodszy
49
Pietrzyk
Jakub
2001-06-06
M
10009021
SOBIESKI
Poznań
63
Leonarczyk Piotr
WKP
zapasy st. klasyczny
KNJm
junior młodszy
50
Prasek
Krzysztof
2001-05-24
M
10008343
UNIA
Racibórz
63
Szczeponiok Piotr
SL
zapasy st. klasyczny
KNJm
junior młodszy
51
Steffan
Krzysztof
2001-01-21
M
10007037
GRANICA
Gdańsk
63
Serba Norbert
POM
zapasy st. klasyczny
KNJm
junior młodszy
52
Wałachowski
Sebastian
2001-09-16
M
10004629
ORLĘTA
Łuków
63
Wałachowski Grzegorz
LBL
zapasy st. klasyczny
KNJm
junior młodszy
53
Witkowski
Adam
2002-04-30
M
10008641
OLIMPIJCZYK
Radom
63
Kolanek Zdzisław
MAZ
zapasy st. klasyczny
KNJm
junior młodszy
54
Szymczyk
Sebastian
2001-03-12
M
10007842
PTC
Pabianice
63
Szyszka Grzegorz
LDZ
zapasy st. klasyczny
KNJm
junior młodszy
55
Cieślak
Adrian
2000-09-01
M
10004955
AGROS
Żary
69
Dynowski Ryszard
LBU
zapasy st. klasyczny
KNJm
junior młodszy
56
Dęborowski
Hubert
2000-06-18
M
10010531
WISŁOKA
Dębica
69
Konieczny Ryszard
PKR
zapasy st. klasyczny
KNJm
junior młodszy
57
Filipiak
Marek
2002-11-16
M
10009449
SIŁA
Mysłowice
69
Pałka Marcin
SL
zapasy st. klasyczny
KNJm
junior młodszy
58
Kaluga
Marek
2000-04-04
M
10005977
ORLIK
Wierzbica
69
Rywacki Bogdan
MAZ
zapasy st. klasyczny
KNJm
junior młodszy
59
Kharatyan
Albert
2001-03-17
M
10007668
ZDROWY
Targówek
69
Sidorowicz Jacek
MAZ
zapasy st. klasyczny
KNJm
junior młodszy
60
Kłębowski
Mateusz
2002-03-21
M
10009145
PTC
Pabianice
69
Szyszka Grzegorz
LDZ
zapasy st. klasyczny
KNjm
junior młodszy
61
Kozłowski
Konrad
2001-01-16
M
1600338
OLIMPIJCZYK
Radom
69
Kolanek Zdzisław
MAZ
zapasy st. klasyczny
KNJm
junior młodszy
62
Kuśnierczak
Kamil
2001-04-01
M
10009469
ŁĘKINA
Koczała
69
Powołyszczak Daniel
POM
zapasy st. klasyczny
KNJm
junior młodszy
63
Likus
Patryk
2002-04-11
M
10008505
TYTAN 92
Katowice
69
Przygoda Damian
SL
zapasy st. klasyczny
KNJm
junior młodszy
64
Majdański
Jakub
2000-12-21
M
10005413
AGROS
Żary
69
Dynowski Ryszard
LBU
zapasy st. klasyczny
KNJm
junior młodszy
65
Świerczewski
Filip
2000-12-07
M
10005631
UNIA
Racibórz
69
Szczeponiok Piotr
SL
zapasy st. klasyczny
KNJm
junior młodszy
66
Tochwin
Mariusz
2000-05-17
M
10005632
UNIA
Racibórz
69
Szczeponiok Piotr
SL
zapasy st. klasyczny
KNJm
junior młodszy
67
Tomaszewski
Maciej
2000-11-27
M
10005023
ZAGŁĘBIE
Wałbrzych
69
Obuchowicz Waldemar
DSL
zapasy st. klasyczny
KNJm
junior młodszy
68
Zerka
Piotr
2002-09-28
M
10004193
GKS
Bełchatów
69
Olczyk Andrzej
LDZ
zapasy st. klasyczny
KNJm
junior młodszy
69
Piątek
Oskar
2001-01-18
M
10007390
OLIMPIJCZYK
Radom
69
Kolanek Zdzisław
MAZ
zapasy st. klasyczny
KNJm
junior młodszy
70
Zastrużny
Szymon
2001-05-28
M
10007844
PTC
Pabianice
69
Szyszka Grzegorz
LDZ
zapasy st. klasyczny
KNjm
junior młodszy
71
Brzezicki
Jakub
2001-05-05
M
10007033
GRANICA
Gdańsk
76
Serba Norbert
POM
zapasy st. klasyczny
KNJm
junior młodszy
72
Chruslak
Adrian
2000-02-11
M
10006224
OLIMPIJCZYK
Radom
76
Kolanek Zdzisław
MAZ
zapasy st. klasyczny
KNJm
junior młodszy
73
Gondek
Adrian
2000-01-13
M
10010532
WISŁOKA
Dębica
76
Konieczny Ryszard
PKR
zapasy st. klasyczny
KNJm
junior młodszy
74
Gorczyński
Robert
2002-07-08
M
10009381
GRANICA
Gdańsk
76
Serba Norbert
POM
zapasy st. klasyczny
KNJm
junior młodszy
75
Klimek
Eryk
2002-12-15
M
10008145
AGROS
Żary
76
Dynowski Ryszard
LBU
zapasy st. klasyczny
KNJm
junior młodszy
76
Kozłowski
Mateusz
2000-05-12
M
10007876
TALENT
Białołęka
76
Radtke Radosław
MAZ
zapasy st. klasyczny
KNJm
junior młodszy
77
Lewandowski
Konrad
2000-09-19
M
10005796
OLIMPIJCZYK
Radom
76
Kolanek Zdzisław
MAZ
zapasy st. klasyczny
KNJm
junior młodszy
78
Płatek
Szymon
2000-04-16
M
10006371
GKS
Katowice
76
Kopański Jerzy
SL
zapasy st. klasyczny
KNJm
junior młodszy
79
Politański
Adrian
2002-01-21
M
10008467
ZKS
Radomsko
76
Stępień Piotr
LDZ
zapasy st. klasyczny
KNJm
junior młodszy
80
Serba
Filip
2001-10-17
M
10007036
GRANICA
Gdańsk
76
Serba Norbert
POM
zapasy st. klasyczny
KNJm
junior młodszy
81
Szymonowicz
Szymon
2000-07-07
M
10010609
CEMENT-GRYF
Chełm
76
Jabłoński Dariusz
LBL
zapasy st. klasyczny
KNJm
junior młodszy
82
Antoszewski
Jakub
2000-02-08
M
10005404
AGROS
Zamość
76
Daniłowicz Bogdan
LBL
zapasy st. klasyczny
KNJm
junior młodszy
83
Bartosiewicz
Kamil
2000-09-14
M
10008510
TALENT
Białołęka
85
Radtke Radosław
MAZ
zapasy st. klasyczny
KNJm
junior młodszy
84
Bursa
Grzegorz
2002-01-21
M
10008193
PODLASIE
Białystok
85
Ryżykow Dariusz
PDL
zapasy st. klasyczny
KNJm
junior młodszy
85
Chudzik
Karol
2000-10-15
M
10006216
OLIMPIJCZYK
Radom
85
Kolanek Zdzisław
MAZ
zapasy st. klasyczny
KNJm
junior młodszy
86
Chudzik
Piotr
2000-10-15
M
10006217
OLIMPIJCZYK
Radom
85
Kolanek Zdzisław
MAZ
zapasy st. klasyczny
KNJm
junior młodszy
87
Gardzioła
Adam
2001-08-14
M
1600337
AGROS
Zamość
85
Daniłowicz Bogdan
LBL
zapasy st. klasyczny
KNJm
junior młodszy
88
Zakrzewski
Kamil
2001-02-21
M
10007367
POGOŃ
Ruda Śląska
85
Topolski Piotr
SL
zapasy st. klasyczny
KNJm
junior młodszy
89
Tomczuk
Fabian
2000-01-20
M
10008098
OLIMPIJCZYK
Radom
85
Kolanek Zdzisław
MAZ
zapasy st. klasyczny
KNJm
junior młodszy
90
Bochniak
Wojciech
2001-10-30
M
10008922
LIDER
Zamość
100
Dudek Sławomir
LBL
zapasy st. klasyczny
KNJm
junior młodszy
91
Czarnecki
Maciej
2000-08-18
M
10009404
OLIMP
Kostrzyn
100
Żołna Antoni
LBU
zapasy st. klasyczny
KNJm
junior młodszy
92
Hoffmann
Dawid
2001-01-17
M
10005492
AGROS
Żary
100
Dynowski Ryszard
LBU
zapasy st. klasyczny
KNJm
junior młodszy
93
Krawczyk
Dominik
2002-08-18
M
10010219
BIEŻANOWIANKA
Kraków
100
Witek Marek
MAL
zapasy st. klasyczny
KNJm
junior młodszy
94
Łuczak
Kacper
2000-01-18
M
10005933
SOKÓŁ
Lubawa
100
Meżykowski Henryk
WM
zapasy st. klasyczny
KNJm
junior młodszy
95
Osowski
Mateusz
2002-01-29
M
10004714
GKS
Bełchatów
100
Olczyk Andrzej
LDZ
zapasy st. klasyczny
KNJm
junior młodszy
96
Parsadanaszwili
Michał
2000-08-25
M
10008550
SOBIESKI
Poznań
100
Leonarczyk Piotr
WKP
zapasy st. klasyczny
KNJm
junior młodszy
97
Sudak
Oskar
2001-11-04
M
10010280
AZS-AWF
Warszawa
100
Szreder Seweryn
MAZ
zapasy st. klasyczny
KNJm
junior młodszy
98
Wawrzyńczyk
Tomasz
2001-01-12
M
10006921
UNIA
Racibórz
100
Szczeponiok Piotr
SL
zapasy st. klasyczny
KNJm
junior młodszy
Pouczenie:
* - informacja dotyczące sportów, grup szkoleniowych, których dotyczy wykaz.
1)
Kierownik Wyszkolenia / Dyrektor Sportowy
- w zależności od specyfiki sportu - nie dotyczy gier zespołowych
2)
- nie dotyczy gier zespołowych
3)
- A1, A2, B1, B2, C.
4)
- dotyczy kadry narodowej osób niepełnosprawnych
5)
-kategorie wiekowe:młodzik, junior młodszy (kadet), junior, młodzieżowiec, senior
Osoba uprawniona
(pieczątka i podpis)
Osoba uprawniona
(pieczątka i podpis)