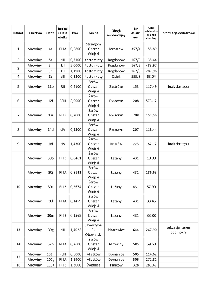
1 Mrowiny 4c RIIIA 0,6800 Strzegom Obszar Wiejski Jaroszów 357/4

Transkrypt

1 Mrowiny 4c RIIIA 0,6800 Strzegom Obszar Wiejski Jaroszów 357/4
Rodzaj
Oddz. i Klasa
użytku
Nr
działki
ew.
Cena
minimalna
za 1 rok
dzierżwy
Pow.
Gmina
Obręb
ewidencyjny
RIIIA
0,6800
Strzegom
Obszar
Wiejski
Jaroszów
357/4
155,89
5c
5h
5h
8c
ŁIII
ŁII
ŁII
ŁIII
0,7100
2,0000
1,1900
0,3300
Bogdanów
Bogdanów
Bogdanów
Osiek
167/5
167/5
167/5
555/8
135,64
483,97
287,96
63,04
Mrowiny
11b
RII
0,4100
Zastróże
153
117,49
6
Mrowiny
12f
PSIII
3,0000
Pyszczyn
208
573,12
7
Mrowiny
12i
RIIIB
0,7000
Pyszczyn
208
151,56
8
Mrowiny
14d
ŁIV
0,9300
Pyszczyn
207
118,44
9
Mrowiny
18f
ŁIV
1,4300
Kruków
223
182,12
Mrowiny
30o
RIIIB
0,0461
Łażany
431
10,00
Mrowiny
30j
RIIIA
0,8141
Łażany
431
186,63
Mrowiny
30k
RIIIB
0,2674
Łażany
431
57,90
Mrowiny
30l
RIIIA
0,1459
Łażany
431
33,45
Mrowiny
30m
RIIIB
0,1565
Łażany
431
33,88
13
Mrowiny
39g
ŁIII
1,4023
Piotrowice
644
267,90
14
Mrowiny
52h
RIIIA
0,2600
Mrowiny
585
59,60
Mrowiny
Mrowiny
Mrowiny
101h
101g
113g
PSIII
RIIIA
RIIIB
0,6000
1,1900
1,3000
Domanice
Domanice
Panków
505
506
328
114,62
272,81
281,47
Pakiet
Leśnictwo
1
Mrowiny
4c
2
4
Mrowiny
Mrowiny
Mrowiny
Mrowiny
5
3
10
15
16
Kostomłoty
Kostomłoty
Kostomłoty
Kostomłoty
Żarów
Obszar
Wiejski
Żarów
Obszar
Wiejski
Żarów
Obszar
Wiejski
Żarów
Obszar
Wiejski
Żarów
Obszar
Wiejski
Żarów
Obszar
Wiejski
Żarów
Obszar
Wiejski
Żarów
Obszar
Wiejski
Żarów
Obszar
Wiejski
Żarów
Obszar
Wiejski
Jaworzyna
Śl.
Ob.wiejski
Żarów
Obszar
Wiejski
Mietków
Mietków
Świdnica
Informacje dodatkowe
brak dostępu
brak dostępu
sukcesja, teren
podmokły
17
18
Mrowiny
Mrowiny
Mrowiny
Mrowiny
113h
113i
114b
114c
RV
RIIIA
RIVB
RIVB
0,1501
0,5644
0,3000
0,6600
Świdnica
Świdnica
Świdnica
Świdnica
Panków
Panków
Wiśniowa
Wiśniowa
328
328
98
98
12,43
129,39
47,76
105,07
Grochotów
62b
RV
0,9500
Strzegom
Obszar
Wiejski
Grochotów
92/3
78,64
Grochotów
92/5
10,00
19
Grochotów 62m
RIVB
0,0236
Strzegom
Obszar
Wiejski
20
Grochotów
62d
RIVB
0,0370
Strzegom
Obszar
Wiejski
Grochotów
92/3
10,00
21
Grochotów
62f
RIVA 0,2000
Strzegom
Obszar
Wiejski
Grochotów
92/4
35,66
22
Grochotów 62cx
PSIII
Strzegom
Obszar
Wiejski
Grochotów
79/5
24,84
23
24
25
Grochotów 83d
Grochotów 161g
Witoszów 185a
RV 0,2992 Świebodzice
RV 0,9800 Świdnica
RIVA 0,4000 Świdnica
730
295
352
24,77
81,13
71,32
26
Witoszów
199c
PSIV
1,1211
Świdnica
Ciernie4
Pogorzała
Modliszów
Bystrzyca
Górna
358
142,78
27
Złoty Las
272i
ŁIV
0,3400
Świdnica
371
43,30
28
29
Złoty Las
Bojanice
215l
120c
ŁIV
ŁIII
0,4800
1,0300
Świdnica
Świdnica
356
95
61,13
196,77
30
Zagórze
316a
PSV
0,1300
1,2500
Walim
Bystrzyca
Górna
Modliszów
Wieruszów
Michałkowa
252
79,60
6510 - niżowe i górskie
świeże łąki
użytkowane
ekstensywnie,
Obszar Natura 2000
39
Zagórze
316b
RV
1,5500
Walim
Michałkowa
252
6510 - niżowe i górskie
świeże łąki
128,32
użytkowane
ekstensywnie,
Obszar Natura 2000
40
41
42
43
Zagórze
Zagórze
Zagórze
Zagórze
Lutomia
Lutomia
Lutomia
316j
316k
316l
323h
334j
334h
334i
RIVA
RIVB
RIVB
RV
PSV
PSIV
PSIV
0,3000
0,2000
0,0700
0,2900
0,4700
0,4678
0,0922
Walim
Walim
Walim
Walim
Walim
Walim
Walim
Michałkowa
Michałkowa
Michałkowa
Michałkowa
Glinno
Glinno
Glinno
252
252
252
236
311
311
311
53,49
31,84
11,14
24,01
29,93
59,58
11,74
44
Obszar Natura 2000
Obszar Natura 2000
Obszar Natura 2000
Obszar Natura 2000
Obszar Natura 2000
Obszar Natura 2000
Obszar Natura 2000
45
46
47
48
49
Piskorzów
Piskorzów
Piskorzów
Piskorzów
Piskorzów
Pieszyce
156h
170o
170p
170p
171n
203a
ŁIV
ŁV
RV
RV
ŁV
RV
0,5000
0,5441
0,1351
0,0450
0,4000
0,1340
Pieszyce
Pieszyce
Pieszyce
Pieszyce
Pieszyce
Pieszyce
Rościszów
Rościszów
Rościszów
Rościszów
Rościszów
Kamionki
717/156
773/170
773/170
773/170
766/175
472/203
63,68
34,65
11,18
10,00
25,47
11,09
Obszar Natura 2000
Obszar Natura 2000
Obszar Natura 2000
Obszar Natura 2000
Obszar Natura 2000
50
Pieszyce
203c
PSIV
1,3600
Pieszyce
Kamionki
6510 - niżowe i górskie
świeże łąki
472/203 173,21
użytkowane
ekstensywnie
51
52
Pieszyce
Pieszyce
203f
203k
RVI
RV
1,0200
0,2260
Pieszyce
Pieszyce
Kamionki
Kamionki
472/203
472/203
64,95
18,71
Pieszyce
217l
ŁIV
0,2800
Pieszyce
Kamionki
495
35,66
Pieszyce
217l
ŁIV
0,2578
Pieszyce
Kamionki
495
32,83
226cy RIVB
226cy RIVB
1,6486
0,9200
Bielawa
Bielawa
1175
1175
262,46
146,46
0,2000
Bielawa
Fabryczna
Fabryczna
Nowa
Bielawa
681
25,47
53
54
55
Bielawa
Bielawa
57
Jodłownik
279o
PSIV
58
Jodłownik
301d
RIVA 1,1500 Dzierżoniów Ostroszowice 853/301 205,05
59
60
61
Ligota
Ligota
Ligota
19k
24o
24n
PSIV 0,3800
RIVA 0,5900
RIIIB 0,5300
Łagiewniki
Łagiewniki
Łagiewniki
62
Ligota
26a
RIIIB
1,4100
Łagiewniki
63
Ligota
36a
RIIIB
3,0400
Łagiewniki
64
Ligota
36b
RIIIA
2,7600
65
Gilów
66i
66
Gilów
66j
Jaźwina
Sieniawka
Sieniawka
Ligota
Wielka
1131/19 48,40
703/2 105,20
703/2 114,75
443
305,28
Ligota
Wielka
434/36
658,20
Łagiewniki
Ligota
Wielka
434/36
632,72
RIVA 0,1309
Niemcza
Obszar
wiejski
Kietlin
65/66
23,34
RIVB
Niemcza
Obszar
wiejski
Kietlin
65/66
23,35
0,1467
6510 - niżowe i górskie
świeże łąki
użytkowane
ekstensywnie,
Obszar Natura 2000
Obszar Natura 2000
Obszar Natura 2000
Obszar Natura 2000
Obszar Natura 2000
67
Gilów
66k
RIVB
0,3073
Niemcza
Obszar
wiejski
Kietlin
65/66
48,92
68
Gilów
66m
RIIIA
0,1486
Niemcza
Obszar
wiejski
Kietlin
88/66
34,07
69
Piława
123d
RIIIA
2,4100 Dzierżoniów
Owiesno
510/123 552,49